кинематический рычажный ускорение
Теория механизмов, машин и роботов - наука, изучающая методы построения (синтеза) и исследования (анализа) механизмов и машин. При синтезе требуется спроектировать механизм по заданным структурным, кинематическим характеристикам. При анализе необходимо определить скорости и ускорения точек, а также найти реакции в различных соединениях.
Теория механизмов, машин и роботов - первая инженерная дисциплина и она является основой для изучения таких дисциплин как детали машин, машины и аппараты легкой промышленности. Для изучения этой науки необходимы знания по математике и теоретической механике.
Курсовое проектирование по теории механизмов и машин имеет следующие цели и задачи:
а) ознакомить студентов с основными методами кинематического и силового анализа, а также синтеза механизмов, используя графические и аналитические методы;
б) научить студентов самостоятельно применять положения курса при исследовании и проектировании конкретных механизмов, что должно способствовать усвоению и закреплению теоретического материала;
в) привить студентам некоторые навыки применения ЭВМ для
анализа и синтеза механизмов, а также при проведении научно-исследовательских
работ.
Данные для первого и второго листа
Схема механизма
Вариант
ОА, мм
e, мм
АВ, мм
AC, мм
ω1, рад/с
φ1
9
20
14
68
26
80
260
Данные для третьего листа
Схема механизма, закон движения
Вариант
S, мм
r, мм
r0, мм
9
100
14
45
Подпись преподавателя_________________
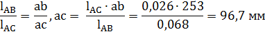
Даны следующие параметры механизма:
lOA= 20 мм, lAB= 68 мм, lAC= 26 мм, е= 14 мм
ω1 = 80 Направление вращения кривошипа - по часовой стрелке.
Выражаем все длины в метрах:
lOA=0,02 м, lAB= 0,068 м, lAC= 0,026 м, е= 0,014 м
Определяем масштабный коэффициент длин, представляющий собой
отношение действительной длины в метрах к длине отрезка на чертеже в
миллиметрах. Изображаем длину кривошипа Остальные длины звеньев, изображенные на чертеже, будут иметь
следующие значения:
Из произвольной точки Определяем скорость точки A:
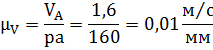
Находим масштабный коэффициент скоростей, для чего полученную
величину делим на длину вектора этой скорости, выбраннуюравной pa=160 мм:
Из произвольной точки Так как скорости точек O и B' равны нулю, то точки o и b' помещаем в полюсе. Уравнения решаются
следующим образом. Из точки a проводим
линию, перпендикулярную шатуну АВ, а из полюса - линию, параллельную стойке Х.
На пересечении получаем точку b, ставим
стрелки, получая векторы скоростей Для нахождения точки C находим
графически, используем отношение:
Откладываем эту величину на продолжении линии ab, полученную точку соединяем с полюсом,
получая вектор скорости Численные значения скоростей получаем путем замера каждого вектора
и умножения полученной величины на Определяем величину угловой скорости Направление скорости Угловая скорость Определяем ускорение точки A:
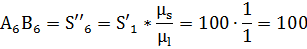
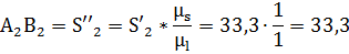
Т.к. Следовательно, Масштабный коэффициент ускорений можно найти путем деления этой
величины на длину πa вектора Ускорение точки A направлено
параллельно кривошипу от точки A к центру О.
Из произвольной точки Ускорения Определяем ускорение Это ускорение направлено параллельно шатуну АВ от точки B к точке А. Находим длину
вектора этого ускорения:
Т.к. длина вектора Из точки a(m) проводим прямую, перпендикулярную шатуну АB. Из полюса Точку c соединяем с полюсом, получая вектор В серединах отрезков πa, bc находим положение точек S1 и S2, соединяя которые с
полюсом, находим векторы ускорений Замеряя длины векторов неизвестных ускорений, находим их
численные значения:
Определяем угловое ускорение Переносим вектор 1.3 Построение двенадцати положений механизма
Для механизмов, работающих периодически, строят 12 положений
механизма, которые соответствуют 12 равноотстоящим положениям входного звена (в
нашем случае OA). За исходное (нулевое) положение механизма принимается начало
рабочего хода выходного звена, т.е. крайнее положение противоположное
направлению силы полезного сопротивления - Определяется нулевое положение построением нескольких пробных
положений, пока выходное звено не окажется в крайнем положении. За нулевое
положение принимается крайнее правое положение ползуна, положение С0А0В0
(рис. 1.4).
Возьмем масштабный коэффициент равным μl, длины отрезков, изображающих звенья механизма
на чертеже, будут равны:
Сначала строим неподвижную точку O и прямую - X, отстающую по вертикали
на величину e'.
Затем траекторию движения точки A, т.е. окружность радиуса Известны следующие параметры механизма:
lOA=0,02 м, lAB= 0,068 м, lAC= 0,026 м,
Р= 2F1, q = 10 Требуется определить реакции в кинематических парах и
уравновешивающую силу.
Изображаем механизм в заданном положении (рис. 2.1) с
обозначением масштабного коэффициента 1. Силы тяжести Следовательно,
Силы тяжести прикладываются в центрах масс и направлены
вертикально вниз.
. Силы инерции звеньев Эти силы прикладываются в центрах масс и направлены они в стороны,
обратные ускорениям центров масс (план перенесен с первого листа).
. Сила полезного сопротивления:
она положена в точке B ползуна
3 и направлена горизонтально.
. Моменты сил инерции M,
которые можно найти по формуле Моменты инерции звеньев определяем по формуле Следовательно,
Моменты сил инерции М направлены в стороны, обратные угловым
ускорениям.
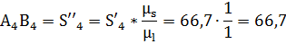
4. Уравновешивающая сила Все силы и моменты указываем на механизме, причем длины векторов
берем произвольно. Уравнение моментов будет иметь вид:
Откуда,
Так как сила оказалась положительной, то вектор Используя графическое условие равновесия группы Вычисляем длины векторов сил:
Силы в многоугольнике идут в любом порядке, но желательно, чтобы
сначала шли все силы одного звена, а затем силы, действующие на другое звено.
Начало первой силы (в данном случае это сила Вектор Чтобы получить реакцию в шарнире B, нужно рассмотреть равновесие одного звена, второго. Для этого
начало силы Изображаем отдельно кривошип 1 со всеми силами (рис. 2.4) причем
реакцию Рассматриваем равновесие кривошипа, запишем уравнение
моментов относительно точки O:
Откуда,
Используя графическое условие равновесия кривошипа Соединяя начало первой силы Вектор Известны следующие параметры механизма: безмасштабный график
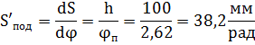
перемещений толкателя (рис. 3.1), ход (максимальное перемещение) толкателя S= 100 мм, угловая скорость кулачка Изображаем график перемещений толкателя таким образом, чтобы
горизонтальная ось N, обозначающая номера положений механизма
имела длину L=230,4 мм, а максимальная ордината была
равной S'max=100 мм.
Находим ординаты на графике перемещений:
Исходя из графика скорости толкателя, можно сказать, что
применяется линейный закон движения.
Фазовые углы поворота кулачка:
где Рабочий угол кулачка (рабочая фаза) φр - центральный угол кулачка, равный сумме углов подъема верхнего
выстоя и опускания:
Предположим, что угол нижнего выстоя Отсюда ход выходного звена:
Аналог скорости выходного звена соответственно равен для фазы
подъема:
Скорость движения толкателя на обеих фазах постоянна.
Аналоги ускорений S'' на обеих фазах равны нулю, кроме положений a, b, c и d, где функция S'=S'(φ) имеет разрывы. В этих положениях теоретически ускорения выходного
звена являются равными бесконечности, что вызывает в зоне контакта звеньев
кулачкового механизма появление сил инерции, также равных бесконечности. Это
влечет за собой появление в механизме так называемых жестких ударов, при
которых силы, действующие на звенья механизма, теоретически достигают
бесконечности.
Практически ускорения в указанных положениях не равны
бесконечности, потому что обычно действительным профилем кулачка является
профиль, построенный как эквидистантная кривая к теоретическому профилю, что
вызывает изменение в этих положениях не только теоретического ускорения, но и
скорости. Кроме того, даже если толкатель заканчивается острием, то вследствие
упругости звеньев кулачкового механизма ускорения a не могут получаться
равными бесконечности благодаря амортизирующему эффекту упругих звеньев. Не
смотря на это, все же в указанных положениях мы можем получить размыкание
элементов высшей пары и соударение толкателя и кулачка.
Законы с жесткими ударами имеют ограниченное применение и
используются в неответственных механизмах, работающих при низких скоростях
движения и невысокой долговечности. Жесткие удары допускаются только в очень
тихоходных механизмах, приводимых в движение вручную.
Даны следующие параметры механизма: график перемещений
толкателя (рис. 3.1), минимальный радиус кулачка r0=45 мм, радиус ролика r=14 мм, ход толкателя S=100 мм, направления
вращения кулачка - по часовой стрелке.
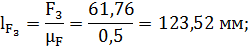
Выбираем масштабный коэффициент кулачкового механизма:
Находим размеры на чертеже:
Из произвольной точки O (рис.
3.2) проводим окружность радиуса R'=r'0+r'=45+14=59
мм, отмечаем угол нижнего выстоя Точки В ходе работы над курсовой работой были выполнены
кинетический и силовой анализ, а так же синтез механизмов с использованием
графического и аналитического методов. При исследовании и проектировании
конкретных механизмов использовались положения курса и различные дополнительные
литературные источники, что способствовало закреплению теоретического
материала. При проведении научно-исследовательских работ активно использовалась
ЭВМ, выполнении чертежей графического раздела работы было использован САПР
«КОМПАС-3DV-13 Home».
1. Прикладная
механика. Раздел «Теория механизмов и машин»: методические указания к курсовой
работе для студентов специальности
-50
01 02 «Конструирование и технология швейных изделий», 1-50 02 01
«Конструирование и технология изделий из кожи» дневной и заочной форм
обучения/УО «ВГТУ»; сост. асс. С.Ю. Краснер, доцент А.Г. Сёмин, профессор А.В.
Локтионов. - Витебск, 2010. - 93 с.
. Теория
механизмов и машин: методические указания к курсовому проекту по теории
механизмов и машин для студентов специальности 1-36 08 01 «Машины и аппараты
легкой, текстильной промышленности и бытового обслуживания населения» дневной и
заочной форм обучения /УО «ВГТУ»; сост. А.Г. Семин, А.В. Локтионов. - Витебск,
2008. - 108 с.
3. Артоболевский,
И.И. Теория механизмов и машин: учебник для вузов/ И.И. Артоболевский. - 4-е
изд., перераб. и доп. - Москва: Наука, 1988. - 640 с.
. Теория
механизмов и машин: Учеб. для втузов/К.В. Фролов, С.А. Попов, А.К. Мусатов, и
др.; Под ред. К.В. Фролова. - М.: Высш. шк., 1987. -476 с.: ил.
. Проектирование
и анализ кулачковых механизмов: методические указания / сост.: Ю.В. Воробьев,
Л.Х. Никитина, П.А. Галкин. - Тамбов: Изд-во Тамб. гос. техн. ун-та, 2006. - 32
с. - 250 экз.
. Шутов
Д.А. Компьютерная графика в системе КОМПАС-3DLT 5.11: Учебное пособие. -
Иваново: ИГХТУ, 2006. - 64 с.
. Кудрявцев
Е.М. КОМПАС3D. Моделирование, проектирование и расчет механических систем М.:
ДМК Пресс, 2008. 400 с., ил. (Серия «Проектирование»).

1.
Кинематический анализ рычажного механизма
.1
Описание построений плана положений
, Р= 2F1, q = 10
, m2=m3
на чертеже отрезком
, равным 50 мм (рис. 1.1). Тогда масштабный коэффициент будет
иметь величину:
под углом φ1=260̊ откладываем отрезок l'OA=50,
получая точку
. Далее проводим горизонтальную прямую Х,
отстающую по вертикали на величину e'. Из
точки A раствором циркуля равным l'AB, на оси
делаем засечку, получаем точку B. На продолжении линии АВ откладываем расстояние l'AC и
отмечаем точку A. Указываем положение центров масс S1, S2, S3, которые находятся в серединах отрезков ![]()
и в точке В.
1.2
Графо-аналитическое определение скоростей и ускорений
Построение
плана скоростей
(полюса скоростей) проводим вектор
(рис. 1.2) длиной 160 мм, который перпендикулярен кривошипу
и направлен в сторону его вращения.
Скорость точки
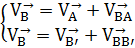
находим графически, используя векторные
уравнения:
Точка
B' принадлежит стойке Х.
и
.
.
:
:
находим так. Мысленно перенесем вектор
в точку B механизма и посмотрим, куда повернется шатун AB, вращаясь вокруг точки А. В данном случае
- по часовой стрелке.
ползуна равна нулю.
Построение
плана ускорений
, то
на чертеже, выбранную нами πa = 100 мм:
(полюса ускорений) (рис. 1.3) проводим вектор
длиной 256 мм. Ускорение точки B находим графо-аналитически, решая систему векторных
уравнений:
и
, равны нулю, поэтому точки o и b' помещаем в полюсе.
:
меньше 3 мм,
вместо него ставим точку, около которой указываем обозначение ускорения.
направляем луч, параллельный стойке X. На пересечении ставим стрелки, получая векторы
и
.На продолжении прямой ba(m) от точки a откладываем
отрезок ac, получаемый из соотношения:
.
и
. Вектор ускорения
совпадает с вектором
.
;
;
;
;
;
;
:
в точку B механизма и
находим, что это ускорение направлено против часовой стрелки. Угловое ускорение
ɛ3 ползуна равно нулю.
(или моменту полезного
сопротивления - Mnc).
с центром в точке О.
Затем траекторию кривошипа (траектория точки А) разбиваем на 12 равных частей,
соответствующих равным интервалам времени. Соединяя точку O с различными положениями
получаем соответствующие положения кривошипа Aо, А1, А2,
…A11. Строим положение звена B: из центра в точке A проводим дугу радиусом
до пересечения с осью Х.
Эта точка пересечения и дает положение точки B для сборки механизма.
Методом засечек осуществляем разметку положений ползуна B0, B1, B2, …B11. Для звена 2 строим его
продолжение C0, C1, C2, …C11.
2.
Силовой анализ рычажного механизма
.1
Расчет сил тяжести, сил и моментов инерции звеньев
, m2=m3,
.
. На механизм действуют
следующие силы:
, определяемые через массы звеньев, которые условно можно найти по
формуле
, где q - масса длины единицы звена, l - длина звена:
;
;
, определяются по формуле
:
;
;
.
, где
- моменты инерции звеньев относительно
центральных осей:
:
.
прикладываемая в точке A
кривошипа и направлена перпендикулярно ему. Пусть в нашем случае она направлена
влево.
направлен верно.
составляем силовой
многоугольник (рис. 2.3) в масштабе
.
) обозначаем точкой. Соединяем конец последней силы (у нас это
) с началом первой, получая вектор
, который направлен в начало силы
. Замеряем длину этого вектора в
миллиметрах и умножаем на
, получая величину силы
:
перечеркиваем и направляем его так, как
он идет в многоугольнике.
нужно соединить с концом силы
. Получаем вектор
, который идет в начало силы
. Замеряем длину этого вектора и умножаем
на
, получая значение силы
:
направляем произвольно, а сила
направлена в сторону, обратную силе
, т.е.
. Из точки O проводим
перпендикуляры ко всем силам, замеряем их в миллиметрах и умножаем на
, получая длины плеч:
2.3
Определение уравновешивающей силы
, строим силовой
многоугольник для первого звена в масштабе
(рис. 2.5).
Вычисляем длины векторов сил:
и конец последней
получаем вектор
, который направлен в
начало силы
. Находим величину этой силы:
![]()
в точке O перечеркиваем и
направляем так, как он идет в многоугольнике.
3.
Синтез центрального кулачкового механизма с поступательно движущимся толкателем
3.1
Построение графиков перемещенияи ускорения по графику скорости
.
- фаза холостого хода,
- рабочий угол,
- фаза ближнего (нижнего) выстоя,
- фаза удаления (подъема) толкателя,
- фаза дальнего (верхнего) выстоя,
- фаза приближения (опускания) толкателя.
тогда рабочий угол
, опираясь на безмасштабный график
скорости можно определить соотношение:
![]()
![]()
3.2
Расчет параметров кулачка
, оставшуюся часть окружности делим на 12 частей, причем нумерацию
точек
ведем в направлении, обратном направлению
вращения кулачка. В нашем случае - против часовой стрелки. На продолжении луча
ОА1 откладываем расстояние:
соединяем плавной кривой, которая
представляет собой центровой (теоретический) профиль кулачка. На теоретическом
профиле выбираем 12 точек, из которых проводим окружности радиусом r'=14 мм. С внутренней стороны ко всем окружностям проводим
общую кривую касательную линию, которая служит рабочим (действительным)
профилем кулачка. Действительный профиль кулачка и ролик с толкателем в одном
из положений обводим толстыми линиями, а остальные построения - тонкими.
Вывод
Литература