Материал: Расчет резистивных цепей постоянного тока

Внимание! Если размещение файла нарушает Ваши авторские права, то обязательно сообщите нам

Расчет резистивных цепей постоянного тока

ФЕДЕРАЛЬНОЕ ГОСУДАРСТВЕННОЕ ОБРАЗОВАТЕЛЬНОЕ БЮДЖЕТНОЕ УЧРЕЖДЕНИЕ ВЫСШЕГО ПРОФЕССИОНАЛЬНОГО ОБРАЗОВАНИЯ

МОСКОВСКИЙ ТЕХНИЧЕСКИЙ УНИВЕРСИТЕТ СВЯЗИ И ИНФОРМАТИКИ

Кафедра теории электрических цепей







Курсовая работа

Расчёт резистивных цепей постоянного тока

Содержание

Введение

1. Расчет резистивной цепи постоянного тока

1.1 Метод уравнений Кирхгофа

1.2 Метод контурных токов

1.3 Метод узловых потенциалов

1.4 Метод двух узлов

1.5 Метод наложения

1.6 Расчет тока в R1 методом эквивалентного генератора ЭДС

1.7 Расчет тока в R2 методом эквивалентного генератора тока

1.8 Расчет баланса мощностей

Заключение

Список использованных источников

Введение

Резистор - элемент электрической цепи, в котором происходит необратимое преобразование электромагнитной энергии в тепловую или в другие виды энергии. Основным свойством резистора является его электрическое сопротивление, которым определяется скорость такого преобразования, как произведение сопротивления на квадрат тока. Электрическое сопротивление есть физическая величина, характеризующая противодействие электрической цепи движущимся в ней носителям тока; оно равно отношению постоянного напряжения на участке пассивной цепи к постоянному току в нем при условии отсутствия на этом участке ЭДС. Вообще говоря, сопротивление зависит от тока, но чаще всего этот термин употребляется в применении к цепям, в которых сопротивление не зависит от тока. Электрическое сопротивление измеряется в Омах.

Как пример рассмотрим резистор МЛТ-0,125 0,125Вт 18 кОм±5%. Такие резисторы имеют постоянные металлопленочные лакированные теплостойкие. Металлодиэлектрические с металлоэлектрическим проводящим слоем неизолированные, для навесного монтажа. Предназначены для работы в электрических цепях постоянного, переменного и импульсного токов. Номинальная мощность 0,125 Вт. Номинальное сопротивление 18 кОм. Диаметр выводов 0.6 мм.

1. Расчет резистивных цепей постоянного тока

.1 Метод уравнений Кирхгофа

резистор ток генератор электрический

Для использования данного метода необходимо произвольно задать направление токов во всех ветвях цепи, что продемонстрировано на рисунке 4:

Рис. 1

Выбираем положительные направления токов в ветвях (рис.4)

Рассчитываем количество уравнений по первому закону Кирхгофа:

ЗК1 = Ny - 1 = 2 - 1 = 1

Рассчитываем количество уравнений по второму закону Кирхгофа:

ЗК2 = Nb - (Ny - 1) = 2

Произвольно выбираем положительный обход контура для участков цепи. Исходя из этого, составим систему уравнений для первого и второго закона Кирхгофа и решим систему:


С помощью программы Mathcad Express получили значения токов:

I1 = 1,6349A2 = 0,7414A3 = 0,8935A

.2 Метод контурных токов

Для использования метода контурных токов необходимо произвольно задать положительные направления токов во всех ветвях цепи, а также положительные направления контурных токов, что продемонстрировано на рисунке 2:

Рис. 2

Рассчитываем необходимое количество независимых обходов контура:

Для каждого контура записываем уравнение:


Где I11=1,6349A

I22=0,8935A

Подставляя значения и решая систему уравнений, получим следующие значения токов:

I1= I11=1,6349A2=I11-I22=0,7414A3=I22=0,8935A

.3 Метод узловых потенциалов

Для использования данного метода необходимо принять равным нулю потенциал одного из узлов цепи (в нашем случае узел номер 2), что продемонстрировано на рисунке 3:

Рис. 3

Определяется количество уравнений в системе уравнений:


Для дальнейших расчётов необходимо произвести следующие замены:

- сумма проводимостей ветвей, присоединенных к узлу 1 и не содержащих источников токов.

- алгебраическая сумма произведений ЭДС ветвей, примыкающих к узлу 1, на их проводимость.

Поскольку для данной цепи , система уравнений вырождается в единственное уравнение:


При подстановке значений параметров в уравнение получается следующее выражение:


Для нахождения токов необходимо найти значение потенциала, разрешив равенство относительно :

Для нахождения токов остаётся подставить значение потенциала в их формулы по обобщённому закону Ома:


1.4 Метод двух узлов


Рис. 4

Для нахождения токов цепи сначала вычисляется напряжение между её узлами по следующей формуле:


Расчёты дают следующее значение напряжения:


Токи ветвей вычисляются по следующей формуле:


При подстановке в эту формулу найденного  токи принимают следующие значения:


1.5 Метод наложения

Произвольно выбираем направление всех токов в ветвях и пронумеруем все независимые источники целыми числами. Исходная схема представлена на рисунке 5:

Рис. 5

Положить равным нулю все источники ЭДС и тока кроме первого. При этом независимые источники, ЭДС которых равна нулю, заменяем короткозамкнутыми отрезками. Исходная схема представлена на рисунке 6:

Рис. 6

Таким образом получаем:


Пусть источник ЭДС E1 отключён. Метод вычисления частичных токов остаётся прежним, что продемонстрировано на рисунке 7:

Рис. 7

Таким образом получаем:


Токи во всех ветвях рассчитаны с помощью программы Mathcad Express:

I1 = I'1 + I''1 = 1,6349 A2 = I'2 + I''2 = 0,7414 A3 = I'3 + I''3 = 0,8935 A

1.6 Метод эквивалентного генератора ЭДС

Произвольно выбираем положительное направление искомого тока I в ветви на исходной схеме. Выбираем положительные направления тока  (рис. 8):

Рис. 8

Составим схему 2 (для расчета Еэк), при этом исключим ветвь, по которой течек электрический ток. Данная схема представлена на рисунке 9:

Рис. 9

По закону Ома для замкнутого контура найдем ток и определим Eэк:

I= эк=Uxx=E1-R2I2x=15-7*(-0,4166)=17,9162 B

 

Составим схему для вычисления Rэк. Для этого используем схему, в которой источники ЭДС заменяют короткозамкнутыми отрезками. Источники тока отключают. Данная схема представлена на рисунке 10:

Рис. 10

Найдем Rэк:

Ом

Составляем схему, изображающую одноконтурную цепь с ветвью, исключенной при составлении схемы 2. Результат изображен на рисунке 11.

По закону Ома находим исходный ток I:


Рис. 11

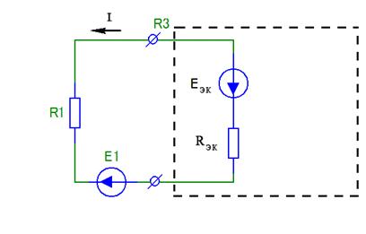
.7 Метод эквивалентного генератора тока

Произвольно задаем направление искомого тока в ветви содержащей R2. Исходная схема для этого метода представлена на рисунке 12:

Рис. 12

Составим схему, на которой заменим ветвь с искомым током на короткозамкнутый отрезок. При этом направление тока короткого замыкания Iкз выбираем совпадающим с искомым током (рис. 13).

Рис. 13

Составим схему для вычисления эквивалентного сопротивления R. Для этого все источники ЭДС заменяем короткозамкнутыми отрезками. Схема представлена на рисунке 14:

Рис. 14

На этом шаге данного метода, составим схему с подключенной ветвью ab. При этом направление Jэк будет противоположным направлению Iкз. Схема представлена на рисунке 15.

.

Рис.15

.8      Баланс мощностей

Исходная электрическая цепь представлена на рисунке 16:

Рис. 16

Запишем формулу для нахождения мощности отдаваемой источником:


Запишем формулу для нахождения мощности потребляемой нагрузкой:

Относительная погрешность:


Баланс сошёлся с точностью .

Заключение

В проделанной работе, целью являлось ознакомление с различными методами расчета цепи. Были изучены такие методы, как: метод уравнений Кирхгофа, метод контурных токов, метод наложения и т.д. В процессе выполнения работы, были рассчитаны токи в электрических цепях, и в каждом методе значения токов совпали.

Был рассчитан баланс мощностей, он сошелся с точностью 0,0025%.

Список использованных источников

1       Фриск В.В. Основы теории цепей. Учебное пособие. - М.: ИП РадиоСофт, 2002. - 288с.

2       Фриск В.В. Основы теории цепей. Расчёты и моделирование с помощью пакета компьютерной математики MathCad. - М.: СОЛОН-Пресс, 2006. - 188с.

         Шебес М.Р., Каблукова М.В. Задачник по ТЛЭЦ. - М.: Высшая школа, 1990.-544 с.

4       ГОСТ 7.32-2001. Отчет о научно-исследовательской работе.