Двутавр может быть изготовлен двумя основными способами:
- Горячая или холодная прокатка из стальной заготовки;
- Сварка нескольких элементов в единую конструкцию;
Каждый из этих способов имеет свои достоинства и недостатки, но более распространены двутавры, изготовленные способом проката, этот метод их производства считается экономически более обоснованным в ряде случаев. Этот вид балки значительно отличается от других видов и превосходит их и по степени износостойкости, и по прочности. Кроме того, двутавр более устойчив к температурным изменениям.
В сварных балках пояса состоят из одного листа универсальной стали. Производить пояса больше двух листов в них не желательно, так как, скрепление между собой листов по краям фланговыми швами, увеличивает неритмичность работы листов из-за роста дистанции для путей передачи напряжений от стенки к внешним краям. К тому же увеличивается и число сварных швов. Не избежать и образования щелей между свариваемыми только по кромке листами. Толщину горизонтального пояса сварной балки обычно делают не больше нескольких величин протяженности в поперечнике стенки. Это связано с тем, что в поясных швах могут развиться усадочные растягивающие усилия.
Раскрой листового металла на полосы - штрипс нужной длины и ширины изготавливается на установке термической резки с ЧПУ, которая позволяет распускать лист одновременно несколькими резаками. Скорость резки, в зависимости от толщины металла, доходит до 1 метра в минуту.
Фрезеровка торцов - для улучшения провара шва между полкой и стенкой двутавра производится фрезерная обработка торцов на торцефрезерном станке.
Как только первичная сборка завершена, можно двигаться дальше. Сначала производится накладка поясных швов. Стоит отметить одну особенность: если при сваривании балки вами применяется автоматический способ, то проваривать ребра жёсткости на первом этапе не нужно, это делается непосредственно после наложения поясных швов.
Обычно различают два основных типа стыка у балок, а именно:
- монтажные стыки;
- заводские;
Заводские стыки выполняет сам завод - производитель балки, при условии, если длина проката оказывается немного меньше необходимой длины балки. Готовую балку можно разместить в разных местах по ее длине, при этом в расчет принимаются конструктивные и экономические особенности.
Монтажные же стыки являются соединением отдельных элементов, а их главная задача состоит в том, чтобы изделие добралось от завода до места, в котором будет производиться его монтаж.
Сварка двутавравой балки, осуществляется автоматизированными портальными сварочными установками LHA. Приёмы и последовательность наложения швов могут быть различными. Сварка наклоненным электродом позволяет одновременно сваривать два шва. Выполнение швов "в лодочку" (на стапелях под углом 45°) обеспечивает лучшие условия формирования шва и глубины проплавления стенки, за то поворачивать изделие, приходится после сварки каждого шва. Для этого используют позиционеры-кантователи. Основные швы по своим размерам значительно превосходят сборочные швы, поэтому последние полностью переплавляется.
Сварка балки в стык обычно проводится при использовании специальных накладок, которые имеют форму ромба, при этом используется обычный прямой сварной стык. Заметим, что накладки используются далеко не для всей балки, а только для тех участков, на которые приходится самое большое напряжение при выполнении работ.
При выполнении стыков балки нужно использовать швы одинаковой прочности. Обычно швы делают косыми в нижнем поясе балки, а вот в верхнем он должен быть исключительно прямым.
При выполнении сваривания стыков есть и свой порядок проведения работы, который просто необходимо соблюдать, если вы хотите добиться желаемого результата.
Начинается сварка всегда с элементов, которые имеют
поперечное соединение. Связано данное правило с тем, что поперечные соединения
после их выполнения, дают довольно большую усадку. Также скажем, что элементы
свариваются исключительно по отдельности - соединяются стыки поясов балки,
затем стыки стенки, а ребра жесткости также провариваются отдельно от других
элементов.
Согласно СниП 11-23-81 подкрановые балки относятся к I - ой группе стальных конструкций, т.к. работают в особо тяжелых условиях (согласно ГОСТ 25546), подвергаются непосредственному воздействию динамических, вибрационных и подвижных нагрузок.
Сталь Ст3пс углеродистой стали относится к I - ой группе конструкционных сталей (СниП 11-23-81) и к классу сталей C345/C375 (буква С означает сталь строительная, цифра после буквы - условное обозначение предела текучести проката по ГОСТ 8239-89).
Углеродистая спокойная сталь обыкновенного качества марки Ст3сп
(Ст3сп5) выпускается по ГОСТ 380 "СТАЛЬ углеродистая обыкновенного
качества. Марки"
<#"865261.files/image002.gif">
В настоящее время сварку длинных поясных швов выполняют преимущественно автоматами под флюсом. Балку собирают из трех ее основных элементов (поясов и стенки), сваривают поясные швы автоматом, а затем устанавливают поперечные ребра жесткости и приваривают их полуавтоматом или вручную. Сборку сварных балок выполняют при помощи хомутов и прихваток или в специальном кондукторе. Большое распространение в настоящее время имеет так же автоматизированное оборудование для производства сварных двутавровых балок.
Применение флюса коренным образом улучшает протекание процесса сварки балки. Наличие пузыря из жидкого флюса, находящегося под давлением нерасплавленного флюса, устраняет разбрызгивание и разбрасывание жидкого металла и тем самым обеспечивает прекрасное формирование сварочного шва даже при силах тока до 3000-4000 а.
Если при открытой дугой сварке качественными электродами потери металла на угар и разбрызгивание достигают 20-30%, то при сварке под флюсом эти потери не превышают 1-2%. При сварке под флюсом расплавленный металл остывает под слоем флюса, что замедляет процесс остывания и тем самым улучшает условия для выхода газов из расплавленного металла.
Среди всех видов балок, наибольшее распространение получили балки двухтаврового сечения. В основе этих балок лежит двухтавровый профиль, имеющий поясные швы. Профиль двухтавровых балок состоит из трёх элементов, соединяемых друг с другом посредством сварки. Сварка балки двутавровой происходит под действием флюса. Изготовление профиля для балок, происходит с помощью автоматов для сварки. Для увеличения надёжности балки, соединяемые элементы балки подвергаются сварке с двух сторон. Чтобы гарантировать максимальную прочность сварки балок, при создании сварного шва, балки применяются выходные и заходные планки. Так же следят за перпендикулярностью расположения элементов балки и за качеством их прилегания.
Наиболее широкое применение имеет двутавровый профиль с поясными швами, выполняемыми обычно сварочными автоматами под флюсом. Двутавр собирают из трёх листовых элементов. При их заготовке, помимо правки, резки и зачистки кромок, часто предусматривают сборочную и сварочную операции для получения листового элемента требуемой длины и ширины. В этом случае к стыковым соединениям предъявляется требование полного и надежного проплавления с хорошим формированием усиления шва.
Автоматический стан для производства двутавровых балок осуществляет полный цикл производства сварной двутавровой балки. Процесс производства представляет из себя:
· сборку двутавровой балки путем прокатки через систему валков;
· сварку стыков балок под слоем флюса в вертикальном положении;
· правку грибовидности полок сварной двутавровой балки.
Автоматический стан для производства сварных двутавровых
балок оснащен современной системой рециркуляции флюса позволяющей уменьшить его
расход. Процесс сборки и сварки балок происходит в автоматическом режиме. Во
время производства можно регулировать скорость движения балки при помощи программного
логического контроллера, тем самым контролировать качество сварного шва.
Технические параметры автоматической установки для сварки двутавровых балок
|
Модель |
SXBH20 |
LMH-4000 |
|
Высота стенки балки |
200-2000мм |
200-1500мм |
|
Ширина поясного листа |
200-800мм |
200-800мм |
|
Модель сварочной машины |
Автоматический аппарат для дуговой сварки под флюсом MZ-1-1000 (2 комплекта) Автомат для дуговой сварки под флюсом |
Автоматический аппарат для дуговой сварки под флюсом MZ-1-1000 (2 комплекта) |
|
Режим сварки |
Сварка угловых швов |
Сварка угловых швов |
|
Скорость сварки |
0.15-1.0м/мин |
0.15-1.0м/мин |
|
Скорость обратного хода |
3м/мин |
3м/мин |
|
Ширина колеи |
2000мм |
|
|
Мощность всей установки |
10кВт |
|
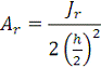
Нужно сразу сказать, что для каждого элемента балки должен
производиться свой расчёт. Рассчитать все в общем для всех компонентов просто
невозможно. При этом, такой показатель, как изгибающийся момент, будет одинаков
для всей конструкции, который пропорционален к инертности. Эта особенность
вызывает необходимость проводить расчёт стенки балки вот по такой формуле:
![]()
- в данной формуле является полным расчётным моментом,
применяемым для стыка балки,
![]()
- является инерцией для конкретно стенки балки, а последний
показатель - инерция для балки в целом.
Также нужно помнить о том, что прочность стыка для стенки почти
всегда считается по формуле изгиба, которая действует для швов, выполненных
встык.
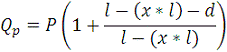
Требуется разработать конструкцию сварной
балки пролетом l = 18 м. свободно опертыми концами.
Допускаемое направление в подкрановых балках устанавливаем с учетом
коэффициентов условием работы m = 0,9 и
перегрузки n = 1,2; для стали Ст3пс. ![]()
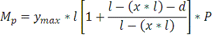
Балка нагружена равномерной нагрузкой от собственного веса q = 3 кН/м и двумя сосредоточенными грузами P = 55 кН, которые могут перемещаться по балке, расстояние
между осями тележки d= 2,5м., наибольший прогиб ![]()
Конструирование балки следует начать с определения расчетных
усилий M
и Q. Сначала необходимо
построить линии влияния моментов, чтобы знать их максимально возможные значения
в разных сечениях балки. Максимальные ординаты Y и X составляет:
x
0,1
0,2
0,3
0,4
0,5
0,09
0,16
0,21
0,24
0,25
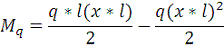
Момент от сосредоточенных сил оси y вычисляется по формуле:
X
0
0,1
0,2
0,3
0,4
0,5
Q
1
0,9
0,8
0,7
0,6
0,5
Требуемая высота балки из условий жесткости:
Чтобы определить требуемую высоту балки из условия ее
наименьшего сечения нужно задаться толщиной вертикального листа:
Требуемая высота из условия наименьшей массы определяется по
формуле:
Требуемый момент инерции поперечного сечения сварной балки
двутаврового профиля:
Момент инерции подобранного вертикального листа 626х12
размером равен:
Требуемый момент инерции горизонтальных листов балки
(поясов):
Таким образом, требуемое сечение одного пояса балки:
Металлическая балка - это высокопрочное прокатное изделие,
изготавливающееся из металла большой плотности. По форме различается балка с
коробчатым или с двутавровым сечением, однако, в силу простой конструкции и
технологии изготовления, балка двутавровая в строительстве получила большее
распространение.
Наиболее востребованной в настоящее время является балка
двутавровая, сечение которой имеет форму буквы "Т". Также подобные
изделия называют "двутавр", это объясняется тем, что данное изделие
имеет две грани. Наибольшая распространенность двутавровых балок, без
использования которых не обходится строительство ни одного промышленного
сооружения, связана с тем, что идеальное сочетание свойств металла и формы
этого металлопроката позволяет добиться наибольшей надежности опор и несущих
элементов, в возведении которых используются балки.
Основной функцией балки является прием на себя и передача
нагрузок, таких как ветер, сейсмологические условия и т.д.
Курсовом проекте изучили конструктивные особенности стальной
балки и рассчитали, и проектировали размеров конструкции балки пролетом 18
метров из стали Ст3пс. В результате расчета размеры двутавровой балки
соответствует требованиям по ГОСТ. Из этого выходит поставленная задача решена
и цель курсовой работы выполнена.
1. ГОСТ
2.302 - 68, ГОСТ 8713 - 79, ГОСТ 14771 - 76, ГОСТ 19903 - 74
2. Сварочное
производство - Колганов Л. А - ростов н/Д "феникс", 2002 г
. Г.Г.
Чернышов "Сварочное дело. Сварка и резка металлов" 2002г.
. Соколов
В. Е "Справочник по сварке" 2008 г.
. Рыбаков
В.М. "Сварка" 2010 г.
6. Интернет
ссылки
7. <http://spb-stal.ru/katalog/chrnyj_metalloprokat/balka/balka_stal_5/>
. <http://metallicheckiy-portal.ru/marki_metallov/stk/09G2S>
9. http://www.metstroy.net/balka_09g2c.
php <http://www.metstroy.net/balka_09g2c.php>
10. <http://svarkabalki.ru/>
. http://bibliotekar.ru/spravochnik-17/64.
htm <http://bibliotekar.ru/spravochnik-17/64.htm>
. <http://svarka74.ru/>

,
,
,
Заключение
Использованные
литературы