Материал: Расчет лесосечных работ

Внимание! Если размещение файла нарушает Ваши авторские права, то обязательно сообщите нам

Расчет лесосечных работ

Введение

лесосечный технологический бригада механизированный

Современный этап развития лесозаготовительной промышленности характеризуется все большим перевооружением. Однако значительные объемы лесозаготовительных работ выполняются обычными методами, когда вместе с машинными применяются и механизированные приемы. Переход от частичной механизации лесосечных работ к технологии, полностью основанной на применении машин, требует перестройки многих сторон деятельности предприятий, в том числе решения проблем межотраслевого характера. Применение многооперационных машин и перспективных технологий в наибольшей мере отвечает требованиям лесовосстановления. При машинной валке выдерживается высота пня и обеспечивается сохранность срезанного дерева: меньше обламываются сучья, вершины, что ведет к меньшему засорению вырубок, обеспечивается сохранность подроста.

В данной работе мы проектируем разработку технологического процесса ТП-2 (древесина вывозится в виде хлыстов) для заданного участка леса, который на 40% характеризуется крутыми склонами с различными грунтами (влажными и сухими в равном соотношении). В составе насаждения представлены только хвойные породы - лиственница и сосна с преобладанием первой. Лесосечные остатки не перерабатываем, оставляем непосредственно на лесосеке.



1. Проверка территории лесосырьевой базы по крутизне склонов

Рис. 1. Карта лесосырьевой базы

Крутизна склона определяется по заданной схеме по формуле:

,

где  - сечение горизонталей, ; n - количество горизонталей на уклоне; L - длина склона с учетом масштаба, м.

1 квартал:

.

2 квартал:

.

3 квартал:

4 квартал:

.

5 квартал:

6 квартал:

7 квартал:

.

8 квартал:

квартал:

.

.

Полученные данные заносим в таблицу 1.

Таблица 1. Характеристика склонов

Крутизна склонов, ̊

Способ рубки

Соотношение по ЛСБ,%

Объем заговки, тыс. м3

Система ЛЗМ

0 - 20

Сплошные

60

78

ВПМ+ТТ(с коником и манипулятором)+СМ

20 - 30

Выборочные

40

52

БМв+СКУ+БМобр

 

Учитывая крутизну склонов, подбираем оптимальную систему машин и оборудования:

-       для механизированного способа заготовки используем бензиномоторную пилу марки «Хускварна 395» (задействована непосредственно на валке деревьев); самоходную канатную установку «Owren 400»; бензиномоторную пилу «Хускварна Х262ХР» (работающую на обрезке сучьев); челюстной погрузчик перекидного типа ЛТ-65Б. Данный выбор обусловлен тем, что 40% территории имеет крутые склоны, для разработки которых машины не предназначены.

-       для машинного способа заготовки используем валочно-пакетирующую машину марки «Тимберджек 608L» с выравнивающей платформой (модель подойдет для грунтов с низкой несущей способностью, в частности, влажных которые составляют 50% от общей площади лесосечного фонда); трелевочный трактор «Тимберджек 1711Д» с манипулятором и зажимным коником (может изменять свое положение в вертикальной плоскости, что удобно при пакетировании), на колеса которого надеты треки для уменьшения давления на грунт и улучшения сцепления с дорогой; сучкорезную машину отечественного производителя ЛП-33А и челюстной погрузчик перекидного типа ЛТ-65Б для погрузки хлыстов.

 
2. Выбор режима работы предприятия

Принимаем продолжительность рабочей схемы равную восьми часам пять дней в неделю. Число рабочих дней определяем по соотношению:

 

Др = К - (В + П + Н),

где Др - число рабочих дней в году; К - число календарных дней в году; В - число выходных дней в году; Н - число нерабочих дней в году из-за климатических условий, принимаем Н = 23; П - число праздничных дней в году. Продолжительность зимнего периода определяем из задания, З = 144 дня.

Др = 365 - (102 + 13 + 23) = 227 дней

 
3. Определение объема заготовок по сезонам года (лето-зима)

Среднесуточный объем заготовок:

,


где  - годовой объем производства, м3.

Среднесуточный объем заготовок в зимний период принимается на 15…20% больше среднесуточного:


Общий объем заготовок в зимний период:

,

где  - число расчетных дней в зимний период.

Общий объем заготовок в летний период:

,

-       с применением бензопил

,

 

-       с применением машин

,

Объем заготовок в летний период:

-       с применением бензопил

,

-       с применением машин

,

Результаты расчета сводим в таблицу 2.

Таблица 2. Объем заготовок

Сезон года

Всего за сезон, тыс. м3

С применением бензопил, тыс. м3

С применением машинной валки, тыс. м3

Зима

94.608

37.843

56.765

Лето

35.392

14.157

21.235

Итого

130

52

78

 
4. Расчет площади годичной лесосеки

Площадь годичной лесосеки определяется по формуле:

,

где  - годовой объем производства, м3; q0 - средний запас леса, м3/га.

 
5. Разработка технологического процесса лесосечных работ механизированным способом

 

Выбор схемы расположения трелевочных волоков на лесосеке

Трелевочные волоки должны располагаться на лесосеке так, чтобы обеспечить максимальное сокращение расстояния трелевки и наибольшее сохранение подроста.

Выбираем радиальную схему расположения трелевочных волоков в связи с гористостью местности и наличием влажных грунтов. Данная схема при равной площади делянок позволяет значительно сократить расстояние трелевки. Здесь магистральные волоки соединяют отдельные участки делянки с лесопогрузочным пунктом по кратчайшему расстоянию.

Рис. 2. Радиальная схема расположения трелевочных волоков с одним погрузочным пунктом: 1 - лесовозный ус; 2 - магистральный волок; 3 - пасечный волок; 4 - зона безопасности; 5 - лесопогрузочный пункт; 6 - пасека

 

Выбор схемы разработки пасек

Принимаем метод разработки лесосек узкими пасеками и трелевку за вершины, так как необходимо сохранить подрост.

Средняя высота деревьев:

Нд = lхл + (2…3) = 27 + 3 = 30 м

Ширина пасеки, включая волок определяем по формуле:

 

Bп = 2Ндsinα = 2·30·30̊ = 30 м

 


 

Определение среднего расстояния трелевки


Рис. 3. Размеры делянки при механизированном способе разработки

Среднее расстояние трелевки является основным фактором, определяющим производительность трелевочных тракторов. На его величину существенное влияние оказывают размеры делянки, схема размещения трелевочных волоков и погрузочных пунктов на делянке. С достаточной для практических целей точностью среднее расстояние трелевки можно определить по формуле:

,

где k1, k2 - коэффициенты, зависящие от схемы разработки волоков;  - коэффициент удлинения волоков

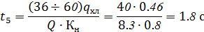
Расчет часовой производительности самоходной канатной установки

Для освоения лесосеки на крутых склонах применяем самоходную канатную установку, так как применение трелевочных тракторов неэффективно и невозможно.

Часовая производительность СКУ определяется по формуле:

,

где  - общий объем леса, заготавливаемый на расчетном участке лесосеки, м3;  - время работы на расчетном участке, с.


 - время на монтаж установки, с;  - время на демонтаж установки, с;  - время на переезды между лентами на расчетном участке, с;  - время затрачиваемое на трелевку всех деревьев на расчетном участке, с.

,

где  - время фиксации мачты в рабочем положении, с;  - расстояние, на котором устанавливается растяжка, м;  - средняя скорость перехода работника при установке растяжек, м/с;  - время, затрачиваемое на зацепку одной растяжки за дерево, с;  и  - количество растяжек для фиксации мачты канатной установки и рабочего блока на опорном дереве;  - коэффициент увеличения пути, проходимого работником за счет обхода естественных препятствий;  - протяженность трассы канатной установки или расстояние от канатной установки до опорного дерева, можно принимать равным ширине лесосеки;  - скорость холостого перехода работника по лесосеке, м/с;  - дополнительная длина каната при нормальной запасовке, м;  - скорость сматывания каната лебедкой канатной установки, м/с;  - время на монтаж каретки, с; А - длина лесосеки;  - ширина пасечной ленты, м. э


,

где  - время на демонтаж каретки, с;  - средняя скорость движения в обоих направлениях (порожним ходом до опорного дерева и к лесовозному усу с монтажным оборудованием) рабочего, занятого на демонтаже канатной установки, м/с;  - время, затрачиваемое на отцепку опорного блока, с;  - время фиксации мачты канатной установки в транспортное положение, с;  - время, затрачиваемое на отцепку одной растяжки, с.


,

где  - коэффициент, учитывающий дополнительное время, затрачиваемое на остановку, дополнительные переезды и разворот канатной установки перед ее установкой на разрабатываемой ленте, с.


,

где  - подлежащий вырубке запас древесины на лесосеке, м3;  - расчетный объем пачки, трелюемой канатной установкой, м3;  - коэффициент использования расчетного объема пачки; - длительность натяжения грузового каната, с;  время опускания каретки для зацепки пачки деревьев, с; средняя скорость движения каретки в обоих направлениях (грузовом и порожнем), м/с; расстояние, на которое должен отойти чокеровщик после зацепки пачки по технике безопасности, м; скорость отхода работника на безопасное расстояние, м/с; средний объем хлыста древесины, заготавливаемой на лесосеке, м3;  и средние показатели времени чокеровки и отцепки, с.

Определяем время работы на расчетном участке:

Находим часовую производительность СКУ:

Сменная производительность:

 =

 

Выбор организационной формы бригады, определение потребного количества рабочих и основного оборудования

На лесосечных работах применяется бригадная форма организации труда. В настоящее время на лесозаготовках получили распространение укрупненные комплексные бригады. Укрупненной комплексной бригадой считается бригада, работающая на базе двух и более трелевочных тракторов.

При односменном режиме работы резервный трактор за бригадой не закрепляется, в этом случае выделяется один резервный трактор на четыре бригады работающих. При двухсменной работе резервный трактор передается бригаде и тракторист резервного трактора является членом бригады.

Задание УКБ устанавливается, исходя из сменной нормы выработки на трактор, количества тракторов в бригаде и сменности работы.

В соответствии с принятой технологией и выбранной структурой суточное задание бригады рассчитывается по формуле:

,

где сменная производительность СКУ, м3;  - количество работающих СКУ в бригаде; коэффициент сменности; коэффициент, учитывающий достигнутый уровень перевыполнения норм выработки на данном предприятии, .


Так как , используем УКБ.

.дн.

Расчеты по определению потребного количества (по ЕНИРу) рабочих по операциям производятся по формуле:

,

где , ,  нормы выработки на валке, трелевке и обрезке сучьев.

Результаты сводим в таблицу 3.

Таблица 3. Ведомость расчета потребного количества рабочих и основного оборудования

Операция

Суточное задание бригады, м3

Норма выработки, м3/чел.-дн

Число рабочих

Марка механизма

Потребное количество работающих механизмов




По норме

Фактически принято



Валка

338.7

5.08

6

Хускварна 395

6

Трелевка

338.7

94.08

7.2

6

Owren 400

3

Обрезка

338.7

7.49

8

Хускварна 275

8

Итого

-

-

19.77

20

-

20


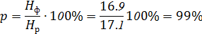
Определяем расчетную Нр и фактическую Нф нормы комплексных выработок:


где nр, nф - число работающих в бригаде по норме и фактически принятое.

Процент выполнения норм выработки:


 

Определение количества бригад и мастерских участков, работающих на базе самоходных канатных установок

Потребное количество бригад для выполнения годового задания в летний и зимний сезоны находится из выражения:

,

где  объем древесины, возможный к освоению бригадами на базе СКУ в летний  и зимний сезоны, м3; число рабочих дней в летний и зимний  сезоны.

Зная количество СКУ, закрепленных за комплексной бригадой, и число УКБ, определяем количество мастерских участков:

, принимаем

 

где  количество трелевочных механизмов, закрепленных за комплексной бригадой; количество трелевочных механизмов, рекомендованных для закрепления за одним мастерским участком (при трелевке канатными установками = 2…3).1.5.7. Определение потребного количества челюстных погрузчиков

ЛТ 65-Б, их сменной производительности. Выбор автопоезда

Выбираем автопоезд КрАЗ 6437 с грузоподъемностью 14 тонн; роспуск ГКБ-9362 с грузоподъемностью 16 тонн. Общая грузоподъемность Гр = 30 тонн.

Рейсовая нагрузка подвижного состава

: ,

где  плотность лиственницы, так как она преобладает в заданном породном составе (9Л1С).

В состав работ при погрузке леса на подвижной состав лесовозных дорог челюстными погрузчиками входят: получение задания; подготовка погрузчика и подвижного состава к погрузке; захват пачки и ее подъем; передвижение погрузчика с пачкой к подвижному составу; опускание пачки и ее укладка; передвижение погрузчика к штабелю и перевод порожнего захвата в исходное положение; обрезка вершин и сучьев у деревьев (хлыстов), выступающих за габарит; крепление пакета после погрузки; ежесменное техническое обслуживание погрузчика; сдача и приемка работы.

Сменная производительность челюстного погрузчика определяется по формуле:

,

где  продолжительность смены, ; подготовительно-заключительное время, ; коэффициент использования расчетной нагрузки на рейс подвижного состава, ; время, затрачиваемое на погрузку подвижного состава, с;  коэффициент использования рабочего времени смены,

.,

где  время погрузки одной пачки, ; количество циклов погрузки одного автопоезда;  время подготовки подвижного состава к погрузке, ; время оправки и крепления одного пакета после погрузки, .

,

где грузоподъемность челюстного погрузчика, т (принимаем из справочника ); коэффициент использования грузоподъемности лесопогрузчика,

Подставляем в , отсюда:

Зная объем годового производства мастерского участка  (с применением б/п зимой и летом) и производительность погрузчика, находим потребное количество машин на МУ:

,

Тогда количество основных рабочих на мастерском участке:

 человек,

где  количество рабочих, занятых на погрузке с учетом режима работы предприятия на вывозке древесины, (Ксм).

По произведенным расчетам составляем ведомость списочного количества основного оборудования на мастерских участках, использующих механизированный способ заготовки древесины (табл. 4).


Таблица 4. Ведомость списочного количества основного оборудования

Оборудование по операциям

Объем производства, тыс. м3

Норма выработки на машино-смену, м3

Число рабочих дней в году

Сменность работы

Коэффициент резервирования

Списочное количество основного оборудования

1. Валка Хускварна 395

52

133.4

227

1

1

6

2. Трелевка Owner 400


94.04




6

3. Обрезка сучьев Хускварна 275


45.2




8

4. Погрузка  ЛТ-65Б


271.2




1


Составление технологической карты разработки лесосек механизированным способом

Технологическая карта является основным документом мастера леса, на основании которого производится разработка лесосеки. Она должна содержать: таксационную характеристику лесосеки; схему ее освоения с указанием способа разработки пасек и изображением пасек, волоков, погрузочных пунктов, зон безопасности, усов лесовозных дорог; технологические указания по разработке лесосеки.

Выбираем схему с пасеками в виде секторов (веерную чересполосную) с помощью СКУ.

Описание схемы: в центральной части сектора прорубается волок для монтажа тягово-несущего каната и дальнейшего спуска древесины. Затем звено вальщиков приступает к валке леса в первом секторе, двигаясь снизу вверх. Валка производится с нагорной части вершиной к подножию склона под углом 30̊ к трассе несущего каната. Спилив 10-15 деревьев, соблюдая зону безопасности, в сектор заходят мотористы, которые обрезают сучья с поваленных деревьев. Закончив валку в первом секторе, группа вальщиков и мотористов переходят в следующий сектор. Далее, в разработанном секторе начинается монтаж канатной установки, подготовка у подножия склона посередине сектора площадки складирования стрелеванного леса и места под установку самоходной лебедки СКУ. Трелевка леса канатной установкой начинается с подачи грузовой каретки комплекта чокеров на место формирования пачки. В первую очередь трелюются деревья, находящиеся ближе к площадке складирования. После освоения всего сектора СКУ демонтируется и перемещается на другую технологическую стоянку, расположенную посередине следующего сектора до полной разработки делянки.

 
6. Разработка технологического процесса лесосечных работ машинным способом

 

Выбор машин по операциям и увязка их в систему

Выбор машин для выполнения лесосечных работ производится на основании таксационной характеристики, рельефа и почвенно-грунтовых условий лесосырьевой базы. Исходя из вышеперечисленных условий, целесообразно использовать следующую систему машин

Таблица 5. Ведомость машин

Операция

Наименование

Валка

ВПМ Тимберджек 608L

Трелевка

Трелевочный трактор  Тимберджек 1711 D

Обрезка сучьев

Сучкорезная машина ЛП-33А

Погрузка

Челюстной погрузчик ЛТ-65Б


Краткие технические характеристики приведены в приложении 3.

Определение сменной производительности ВПМ «Тимберджек 608L»

В состав работ на валке и пакетировании деревьев входят: получение задания; срезание деревьев и укладка их в пакеты; переезды машины с одной технологической стоянки на другую; развороты при переезде с ленты на ленту; переезды на лесосеке от делянки к делянке; ежесменное техническое обслуживание машины; сдача и приемка работы.

Сменная производительность валочно-пакетирующей машины определяется по формуле:

,

где объем пакета, формируемого машиной с одной технологической стоянки, м3; подготовительно-заключительные работы,  с;  коэффициент использования рабочего времени смены, ; время цикла (затрачиваемое на формирование пакета деревьев объемом ),с.

Объем пакета вычисляем по формуле:

,

где средний запас леса на 1 га, м3; коэффициент, учитывающий условия работы машины,  (так как ВПМ осваивает ленты, расположенные по обе стороны от нее); R и r - соответственно максимальный и минимальный вылеты манипулятора ВПМ, м (R = 7.1 м, r = 3.8 м - принимаем из технической характеристики).

Время цикла формирования пакета:

,


где время валки и пакетирования одного дерева (принимается 27.4 с, зависит от среднего объема хлыста); время переезда машины с одной технологической стоянки на другую, с.

,

где  коэффициент, учитывающий возможность увеличения пути перехода и затрат времени на установку машины, ; скорость движения ВПМ при переезде с одной технологической стоянки на другую, 1.2 м/с.

Подставляя полученные результаты, получаем:

Определение размеров делянки с одним погрузочным пунктом

Объем штабеля древесины, который может быть уложен на погрузочном пункте с учетом режима отгрузки древесины, определяем по формуле:

,

где длина хлыста, м;  высота штабеля, м;  ширина штабеля, м;  коэффициент полнодревесности, ; коэффициент, показывающий степень пополняемости штабеля (m=2 так как участок работает с параллельной отгрузкой).

Площадь, с которой ВПМ может набрать объем, равный объему штабеля, определяем по формуле:

,

где  запас леса на 1 га, м3/га.

Для достижения максимальной эффективности работы ВПМ в течение смены и сокращения пути ее перемещения по лесосеке в начале и конце смены, необходимо подобрать длину ленты li, с которой ВПМ сможет заготовить весь объем древесины сменной производительности.

Общая длина ленты:

,

где ширина ленты ().

 

,

где i - число, кратное двум.

Для эффективного использования трелевочного трактора, необходимо разрабатывать такую ленту, с которой данная машина сможет стрелевать целое количество пачек. Длина ленты, с которой трелевочный трактор сможет заготовить древесину объемом, равным рейсовой нагрузке:

,

Количество пачек определяем по формуле:

,

 пачек

 пачек

 пачек

 пачек

Так как объем пакета, формируемого ВПМ с одной технологической стоянки , выбираем . Это позволит трактору стрелевать объем, практически равный его рейсовой нагрузке:

,

.

Ширина делянки соответственно равна . Так как площадь делянки равна , то длину можно найти из следующего соотношения:

 м


Рис. 4. Размеры делянки при машинном методе разработки

Среднее расстояние трелевки:

,

где k1, k2 - коэффициенты, зависящие от схемы разработки волоков (так как схема с одним погрузочным пунктом k1 = k2 = 0.5);  - коэффициент развития трелевочных волоков при обходе препятствий.

 м

Определение сменной производительности трелевочного  трактора «Тимберджек 1711 D»

В состав работ при трелевке леса бесчокерными трелевочными тракторами манипуляторного типа входят: подготовка машины к работе; получение задания; переезд машины к месту набора пачки и маневровые работы на пасеке; сбор всех поваленных и подлежащих трелевке деревьев с укладкой их на коник машины; транспортировка собранной пачки на лесопогрузочный пункт; сброс пачки, выравнивание комлей, окучивание; ежесменное техническое обслуживание трактора и технологического оборудования; сдача и приемка работы.

Сменная производительность трелевочного трактора:

,

где  коэффициент использования рабочего времени смены, принимается равным  летом и  зимой; время цикла (затрачиваемое на трелевку одной пачки), с.

,

где время, затрачиваемое на формирование пачки в рачете на одно дерево, с (зависит от среднего объема хлыста);  время на переезд с одной технологической стоянки на другую в расчете на одно дерево при работе в комплексе с ВПМ; время движения трелевочной машины в грузовом направлении; время движения без груза; время, затрачиваемое на отцепку пачки и выравниваемое комлей на лесопогрузочном пункте в расчете на одно дерево.

,

где R и r - соответственно максимальный и минимальный вылеты манипулятора ВПМ, в комплексе с которой работает трелевочный трактор, м; скорость движения трелевочной машины при переезде с одной технологической стоянки на другую, м/с; объем пакета, формируемого ВПМ с одной технологической стоянки, м3.

,

где Vр - рабочая скорость, м/с (Vр = 1.4 м/с); Q - рейсовая нагрузка трактора, м3.

,

где Vх - рабочая скорость, м/с (Vх = 1.9 м/с)


Подставляем полученные результаты:

 летом

 зимой, подбираем эту производительность, так как зимой заготавливается больше древесины.

Определение сменной производительности самоходной  сучкорезной машины ЛП 33-А

В состав работ по очистке деревьев от сучьев самоходными сучкорезными машинами входят: подготовка машины к работе; получение задания; отделение деревьев от штабеля и подача их в режущую головку; обрезка сучьев; сброс хлыстов в штабель; уборка сучьев от рабочих органов; переезд машины вдоль штабеля на рабочей площадке; ежесменное техническое обслуживание машины; сдача и приемка работ.

Сменная производительность сучкорезной машины:

,

подготовительно-заключительные работы,  с.

,

где t1 - время на подвод стрелы к дереву (t1 =7 сек), с; t2- время на захват дерева, с; t3 - время протаскивания дерева через сучкорезную головку, с; t4- время на одно открытие захвата, с; t5- время обратного хода каретки, с; t6 - время на переезд машины вдоль штабеля в расчете на одно дерево (t6 =4 с), с.

,

,

где ,  время, необходимое на одно закрытие и открытие захвата соответственно ();  количество захватов, приходящихся на одно дерево.

,

где  рабочий ход каретки, м;  рабочий ход механизма протаскивания при очистке от сучьев одного дерева, м.


,

где  скорость рабочего хода протаскивания дерева через сучкорезную головку ()

,

где  скорость холостого хода протаскивания дерева через сучкорезную головку ()

Подставляем полученные результаты:

Определение списочного количества машин по операциям  и операторов для выполнения основных лесосечных работ

Потребность в машинах рассчитывается по самому загруженному сезону года (зима):

,

где  объем заготовок в зимний сезон для машинного способа, м3; сменная производительность соответствующей машины, м3.

 машина

 машины

 машины

На основании проведенных расчетов потребного количества машин и выбранного режима их работы необходимо определить количество операторов этих машин. Списочное число машин определяем по формуле:

,

где коэффициент резервирования ЛЗМ.

Так как , отсюда . Результаты сводим в таблицу 6.


Таблица 6. Ведомость списочного числа машин и операторов

Наименование машин и оборудования

Режим работы

Число машин в работе

Число операторов

Коэффициент резервирования

Списочное число машин

Челюстной погрузчик ЛТ 65-Б

1

2

2

1

2

ВПМ Тимберджек 608L

1

1

1

1

1

Трелевочный трактор Тимбеджек 1711Д

1

2

2

1

2

Сучкорезная машина ЛП 33-А

1

2

2

1

2

Итого

-

7

7

-

7

 

Обоснование состава комплексной бригады

Состав комплексной бригады определяется из расчета обеспечения полной загрузки наиболее производительной машины в бригаде и согласованности технически возможных производительностей других машин.

Суточное задание бригаде устанавливается по формуле:

,

где Псм - сменная производительность "ведущей" машины, м3;  - расчетное количество ведущих машин; Кп - коэффициент перевыполнения плана.

 м3

Расчетная и фактическая нормы выработки на одного рабочего определяются по формулам (32), (33):



На основании проведенных расчетов устанавливаем окончательный состав комплексной бригады и сводим результаты в таблицу 7.

Таблица 7. Ведомость расчета потребного количества рабочих и основного оборудования

Операция

Суточное задание бригады, м3

Норма выработки, м3/чел.-дн

Число рабочих

Марка механизма

Потребное количество рабочих механизмов




По норме

Фактически



Валка

360.4

327.6

1

1

Тимберджек 608L

1

Трелевка


197

2

2

Тимберджек 1711Д

2

Обрезка


177.2

2

2

ЛП 33-А

2

Погрузка


271.2

2

2

ЛТ 65-Б

2

Итого


243.1

7

7

-

7


Определение количества бригад и мастерских участков, работающих по машинной технологии

Расчет количества бригад представлен в 1.5.6, при этом следует оперировать объемом древесины, возможным к освоению машинным способом Qм в выбранный сезон заготовки. Количество мастерских участков выбирается в зависимости от количества бригад.



где  объем древесины, возможный к освоению бригадами на базе ВПМ в зимний сезон, м3; число рабочих дней в зимний сезон.

Принимаем .

Составление технологической карты разработки лесосеки  машинным способом

Технологическая карта является основным документом мастера леса, на основании которого производится разработка лесосеки.

Выбираем схему разработки делянки ВПМ при работе на крутых склонах.

Описание схемы: Данная технология предусматривает работу ВМП только при ее движении от подножья к вершине склона. Разработка делянки начинается с разрубки первой ленты, расположенной на границе делянки с правой стороны. Перемещаясь вверх по склону, ВПМ спиливает все деревья, находящиеся в зоне действия манипулятора, и укладывает их в пачки справа перед собой на вырубку под углом 30-40̊ к направлению движения. После разрубки очередной ленты ВПМ спускается по объездному волоку, проложенному по менее крутым участкам лесного массива, к подножию склона и приступает к разрубке следующей ленты на делянке. Для сбора и трелевки пачек деревьев трелевочный трактор заезжает по объездному волоку к верхней границе делянки и, перемещаясь вниз по склону, собирает пакет из нескольких пачек, сформированных ВПМ. Пакет деревьев трелюется комлями вперед по колее, проложенной валочно-пакетирующей машиной.

Заполненная технологическая карта приведена в листе 3.

 


7. Составление ведомости состава всех мастерских участков предприятия, потребности ГСМ и вспомогательных материалов

Составляется сводная ведомость списочного числа рабочих, занятых на основных работах, и лесозаготовительного оборудования по всем мастерским участкам предприятия (табл. 8).

Таблица 8. Ведомость состава списочного числа машин и оборудования мастерских участков

№ мастерского участка

Число и состав бригад на мастерском участке

Оборудование на мастерских участках

Состав бригад

Численность бригад

Сменное задание на бригаду, м3

Сменное задание на мастерский участок, м3

Суточное задание на мастерский участок, м3



Тип и марка машин и оборудования

Списочное число машин и оборудования


1-сменный режим работы

2-сменный режим работы




Механизированный способ

1

УКБ-3

Бензопила Хускварна 395

6

Вальщик

6

-

338.7

338.7

338.7


 

СКУ Owner 400

3

Трелевщик

6

-






Бензопила Хускварна 275

8

Обрезчик

8

-






Погрузчик ЛТ 65-Б

1

Погрузчик

1

-




Машинный способ

2


ВПМ Тимберджек 608 L

1

Вальщик

1

-

360.4

360.4

360.4



Трелевочный трактор Тимберджек 1711 D

2

Трелевщик

2

-






Сучкорезная машина ЛП-33А

2

Обрезчик

2

-






Погрузчик ЛТ-65Б

2

Погрузчик

2

-





После заполнения сводной ведомости составляем карту обустройства одного из мастерских участков, которую помещаем в приложении 4 к пояснительной записке. Перечень оборудования для оснащения мастерского участка сводим в таблицу и помещаем в приложение к пояснительной записке.

Потребность вспомогательных материалов и инструментов для всех мастерских участков сводим в таблицу 9 по существующим нормам.

Таблица 9. Ведомость расхода материалов и инструментов

Материал

Годовой объем производства, тыс. м3

Единица измерения

Расход материалов




По норме на 1000 м3

Годовой

Пильные цепи: - валка - обрезка сучьев - на ВПМ (ПЦУ-30)



52

шт

1.8

93.6 » 94


52

шт

0.14

7.28 » 8


78

шт

1.5

117

Стальные канаты для сучкорезных машин

78

шт

44.5

3471

Канатные установки

52

шт

16.5

858

Круг абразивный для заточки пильных цепей ПП-150×4×32

130

шт

2.8

360


Расчет годовой потребности ГСМ выполняется на основании норм расхода ГСМ на машино-смену и производятся для машин, работающих на лесосеке, включая подборщики сучьев и рубильные установки. Вспомогательное оборудование на мастерском участке в данную ведомость не включается.

Результаты расчета сводятся в таблицу 10.

Таблица 10. Ведомость расхода ГСМ

Марка оборудования

Количество мото-часов

Расход ГСМ



Дизельное топливо

Бензин

Дизельное масло

Гидромасло

Автол

Прочие масла

Механизированный способ

Хускварна 395

10896

-

-

-

Хускварна 275

14528

-

-

-

Owner 400

5448

-

ЛТ 65-Б

1816

Машинный способ

Тимберджек 608L

1816

-

Тимберджек 1711Д

3632

-

ЛП 33-А

3632

ЛТ 65-Б

3632

Итого


252060

30510

10532

12512

3232

7656


Количество мото-часов считали по формуле:

 

8. Расчет трудозатрат и численности рабочих на подготовительных работах

Подготовительные работы производятся до начала разработки лесосеки и служат для обеспечения эффективного и безопасного проведения основных производственных процессов. От качества выполнения подготовительных работ зависит рост производительности труда на основном производстве.

Объем работ по приемке лесосечного фонда и подготовке лесосек к механизированной заготовке определяется площадью годичной лесосеки:

,

При машинной заготовке подготовка лесосек к разработке не производится.

Для определения объема работ на разметку границ пасек и волоков затесками lгр используем:

,

где lд, bд - соответственно длина и ширина бригадной делянки, км; bп - ширина пасеки, км; nд - число делянок, отведенных в рубку во всей годичной лесосеки для механизированной заготовки.

 делянок

 км

При машинной валке производится разметка границ делянок, общая протяженность которых находится по формуле:

,

 

lд, bд - соответственно длина и ширина делянки закрепленной за одной машиной, км; mд - количество делянок, разрабатываемых в год.

 делянок

 км

Необходимый объем работ на подготовку магистральных волоков определяется по формуле:

,

 км

 км

Количество погрузочных пунктов на годичной лесосеке, а соответственно и объем работ по их устройству определяется путем перемножения числа делянок на количество пунктов на одной делянке. Следовательно, на всей годичной лесосеки размещается 6 погрузочный пункт при механизированной заготовке и 113 пунктов при машинной заготовке.

Объем работ на строительство лесовозных усов для механизированного и машинного способа определяется по формуле:

,

 

nус - количество усов на одной лесосеке; bл - ширина лесосеки, км; Ку - коэффициент учитывающий удлинение усов за счет прокладки усов по неэксплуатационным участкам леса;  - объем производства при механизированном и машинном способах производства, м3.

 км

 км

Трудозатраты на перечисленные работы подсчитывается как частное от деления объема работ на норму выработки для соответствующих работ. Результаты заносим в таблицу 11.

Таблица 11. Ведомость трудозатрат на подготовительные работы

Наименование работ

Единицы измерения

Годовой объем, тыс.м3

Нормы выработки на чел.-дн.

Трудозатраты в год, чел.-дн.



Мех.

Маш.


Мех.

Маш.

Отвод лесосек

км/ чел.-дн.

14.1

59.7

1.1

19.74

83.58

Ленточный пересчет деревьев

га

236

355

4

59

88.75

Очистка и подготовка лесосек

га

236

-

1.7

138.8

-

Обустройство погрузочных пунктов

10

113

1

10

113

Корчевка пней и подготовка

шт

10

113

3.94

0.72

8

Разметка границ волоков

км

84

40

1.85

45

21.6

Устройство магистральных волоков

км

4.8

17.2

2.5

1.92

6.88

Подготовка волоков для трел. с помощью бульдозера

-

4.8 84

17.2 -

60-М 80-П

0.08 1.05

0.29 -

Обустройство мастерского участка при мех. способе заготовки

тыс.м3

52

-

4.85

10.7

-

Обустройство мастерского участка при маш. способе заготовки

тыс.м3

-

78

5

-

15.6

Итого





647.01

1657.7




Отвод лесосек считали по формуле:

,

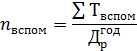
Списочное число рабочих для проведения подготовительных работ nподг определяется делением суммы трудозатрат на число рабочих дней в году.

,

 человек

 человек

 
. Расчет трудозатрат и численности рабочих на вспомогательных работах

Вспомогательные работы выполняются в ходе проведения основных работ и служат для поддержания высокой технической готовности лесозаготовительного оборудования, бесперебойной доставки ГСМ и запасных частей, а также для обеспечения нормальных жизненных условий для рабочих в условиях лесосеки.

Объем вспомогательных работ определяется объемом заготовок. Расчет трудозатрат выполняется по форме таблицы 12.

Таблица 12. Ведомость трудозатрат на вспомогательные работы

Наименование работ

Единицы измерения

Годовой объем, тыс.м3

Нормы выработки на чел.-дн.

Трудозатраты в год, чел.-дн.



Мех.

Маш.


Мех.

Маш.

Подвоз топлива и смазочных материалов

тыс.м3

52

78

2

104

156

Правка и точка инструмента

тыс.м3



2.5

130

195

Приемка леса

тыс.м3



7

364

546

Содержание магистрального трелевочного волока в исправном состоянии

тыс.м3



0.5

26

39

Техническое обслуживание и текущий ремонт оборудования:

тыс.м3

52

-


- б/п Х395




0.063

3.3

-

- б/п Х275




0.063

3.3

-

- СКУ Owren 400




0.365

19.0

-

- погрузчик ЛТ 65-Б




0.477

24.8

-

Техническое обслуживание и текущий ремонт оборудования:

тыс.м3

-

78


- трел.трактор Т1711Д




0.365

-

28.5

-ВПМ Т608L




0.580

-

45.2

- Сучкорез.машинаЛП 33-А




0.477

-

37.2

- погрузчик ЛТ 65-Б




0.477

-

37.2

Итого





674.4

1084.1


Нормы трудозатрат приведены в нормативах. Списочное число рабочих для проведения вспомогательных работ определяется делением суммы трудозатрат на число рабочих дней в году. Формула аналогична (82):


 человека

 человека

 


10. Очистка лесосек от порубочных остатков и мероприятия по их утилизации

Очистка лесосек от порубочных остатков является завершающей операцией лесосечных работ, которая выполняется после окончания основных работ. Производится тракторными подборщиками различного типа сразу после разработки лесосеки, на которой при рубках подрост не сохраняется. Работы выполняются в одну смену. Норма выработки для подборщика ЛТ-168: Псм = 4.1 га в смену при запасе леса на 1 га свыше 120 м3. Расчет ведем для механизированного способа заготовки летом.

Сменная производительность машин:

м3 - подборщик ЛТ-168

 м3 - рубильная машина УРП-1

Площадь, подлежащая расчистке:

,

где коэффициент, учитывающий процент площади лесосек, вырубаемых без сохранения подростов (по заданию);  считаем по формуле (1.73) для выбранного сезона.

 га

Подставляем,  га.

Число подборщиков сучьев:

 подборщик

Объем лесосечных остатков зависит в основном от способа заготовки древесины и запаса леса на гектаре. При разработке лесосек механизированным способом объем лесосечных остатков на одном гектаре можно определить по эмпирической формуле:

 м3/га

При машинном способе эта цифра увеличивается на 5…10% (в зависимости от сезона заготовки). Тогда объем лесосечных остатков на всей площади:

 м3,

 не учитываем, так как расчеты ведем для механизированного способа заготовки.

Для переработки лесосечных остатков непосредственно на лесосеке служат самоходные рубильные установки. Их количество определяем по формуле:

 рубильная машина

Расчеты потребного количества оборудования для сбора и утилизации лесосечных остатков сводим в таблицу 13.

Таблица 13. Ведомость потребного количества оборудования и рабочих для выполнения работ по утилизации лесосечных отходов

Марка машины

Отработано машино-смен в году

Объем работ, тыс. м3

Сменная производительность, м3

Потребное количество машин

Потребное число операторов Поп

УРП-1

83

14.157

120

1

1

ЛТ-168

83

14.157

90

1

1




Учитывая, что трелевка ведется в хлыстах, обрезку сучьев производят непосредственно на делянке. В связи с тем, что работы проводятся на крутых склонах, все порубочные остатки должны оставаться на этих склонах согласно правилам рубок на Дальнем Востоке. Вследствие данных факторов, подборщик сучьев и рубильную машину применять нецелесообразно.

 
11. Определение списочного числа рабочих для выполнения лесосечных работ

На основании расчетов, произведенных в пп. 1.5 - 1.6, 1.8 - 1.10 составляем сводную ведомость списочного числа рабочих для выполнения всех видов работ на лесосеке (табл. 14).

Таблица 14. Сводная ведомость списочного числа рабочих для выполнения лесосечных работ

Вид работ

Списочное число работ

Основные работы

28

Подготовительные работы

10

Вспомогательные работы

8

Сбор и утилизация лесосечных остатков

-

Итого

43

Численность административного персонала принимается в соответствии с нормами. Число мастеров и приемщиков должно соответствовать количеству мастерских участков на предприятии. Составляем штатную ведомость (табл. 15).

Таблица 15. Штат административно-технического персонала

Должность

Численность

Начальник службы лесозаготовок

1

Технорук

1

Мастер лесозаготовок

2

Старший механик

1

Маркировщик

1

Счетовод

1

Кладовщик

2

Десятник

1

Итого

10

 
. Определение комплексной выработки на одного рабочего

Комплексная выработка на одного рабочего в смену на основных работах:

 м3,

где nор - количество рабочих, занятых на основных работах (из табл. 1.l4).

Комплексная выработка на одного рабочего с учетом подготовительных и вспомогательных работ:

 м3

Уровень механизации труда:

,

где количество рабочих, выполняющих лесосечные работы с использованием машин и других механизмов.

 


Заключение


В ходе выполнения проекта мы разработали технологический процесс лесосечных работ двумя способами: механизированным и машинным, соответственно используя различные системы машин и оборудования.

Заготовка древесины ведется двумя способами: механизированным и машинным в соотношении 40%/60%.

Перед началом рубок на всей площади лесосырьевой базы проводятся подготовительные работы. Они включают в себя отвод лесосек, ленточный пересчет деревьев, очистку и подготовку лесосек, обустройство погрузочных пунктов, корчевку пней, разметка границ волоков, устройство магистральных волоков, подготовка волоков для трелевки с помощью бульдозера, монтаж канатной установки, обустройство мастерского участка при механизированном и машинном способе заготовки. Количество рабочих на этих работах - 10 человек.

После подготовки лесосек к рубкам приступают непосредственно к основным работам, на которых задействовано 28 человек.

При механизированном способе заготовки разработка делянки осуществляется пасеками в виде секторов. Валку производят бензомоторной пилой «Хускварна 395ХР», двигаясь с нагорной части вершиной к подножию склона под углом 30̊ к трассе несущего каната. После того как вальщик удалится на расстояние более 50 м, на пасеку заходят мотористы, которые производят обрезку сучьев бензомоторной пилой «Хускварна Х262ХР». Далее, хлысты трелюют на погрузочный пункт с помощью самоходной канатной установки «Owren 400». Завершающей стадией является погрузка древесины на подвижной состав с помощью челюстного погрузчика «ЛТ-65Б».

При машинном способе лесосека разрабатывается валочно-пакетирующей машиной «Тимберджек 608L» с выравниваемой верхней конструкцией, которая производит валку и пакетирование деревьев. Машина работает, двигаясь от подножия к вершине склона. Ленты, разрабатываемые ВПМ, расположены перпендикулярно лесовозному усу. Затем сучкорезная машина «ЛП-33А» очищает деревья от сучьев и вершин, и трелевочный трактор «Тимберджек 1711D» трелюет деревья на погрузочный пункт. Погрузка хлыстов также осуществляется челюстным погрузчиком «ЛТ-65Б».

В ходе разработки лесосырьевой базы на лесосеке проводятся вспомогательные работы, которые необходимы для бесперебойной работы предприятия и исключения простоев техники из-за поломок и нехватки ГСМ. К данному виду работ относится: подвоз топлива и смазочных материалов, правка и точка инструмента, приемка леса, техническое обслуживание и текущий ремонт оборудования. Количество рабочих на этих работах - 8 человек.

По окончанию основных работ необходимо очистить лесосеки от порубочных остатков. Учитывая, что трелевка ведется в хлыстах, обрезку сучьев производят непосредственно на делянке. Так как работы ведутся на крутых склонах, то сбор, переработку/утилизацию остатков не производим.


Список используемых источников


1. Технология лесосечных работ: методические указания к выполнению курсового проекта /Сост. П.Б. Рябухин. - Хабаровск: Изд-во Хабар. гос. техн. ун-та, 2003. - 39 с.

. Технологические процессы лесопромышленного производства: Учеб. пососбие /Под ред. Г.С. Шмелева. - Хабаровск: Изд-во Хабар. гос. техн. ун-та, 2003. - 251 с.

. Основы проектирования технологического процесса лесосечных работ: Методические указания к выполнению курсовых проектов /Сост. А.П. Ковалев, Г.С. Шмелев, П.Б. Рябухин. - Хабаровск: Изд-во Хабар. гос. техн. ун-та, 2010. - 82 с.

. Машины и оборудование лесопромышленного производства: лабораторный практикум. Ч. 1. Машины и механизмы для валки леса/ Сост. Г.С. Шмелев, А.П. Ковалев, Д.Г. Шмелев. - Хабаровск: Изд-во Тихоокеан. гос. ун-та, 2007. - 210 с.

. Лесозаготовительные машины компании «Тимберджек»: учеб. пособие/ Сост. Г.С. Шмелев, А.П. Ковалев, П.Б. Рябухин, Д.Г. Шмелев; под ред. Г.С. Шмелева. - Хабаровск: Изд-во Тихоокеанского гос. ун-та, 2005. - 184 с.