Материал: Расчет главной балки

Внимание! Если размещение файла нарушает Ваши авторские права, то обязательно сообщите нам

 - условие выполняется.

Проверяем прочность на срез сварных швов, прикрепляющих опорные ребра, к стенки.

Назначим толщину швов  = 6 мм. В этом случае считаем расчетную длину одного шва


Напряжение срезу швов по металлу швов


Находим новую площадь


Проверка напряжений по металлу границы сплавления

 - условие выполняется.


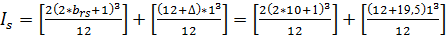
Проверяем устойчивость опорного участка балки

=2*10*2,2+19,5*12+12*1+2*1 = 77,5 см2

 =

 = 1546 см4

 = 101,25 < 230 МПа - условие устойчивости опорной части балки выполняется.

Определяем площадь смятия торца опорного ребра


Принимаем ребро равное 240*10 мм

Находим наименьшее значение катета сварного шва по границе сплавления при ограничении длины шва, величиной

0,61 см

Принимаем толщину сварных швов, прикрепляющих ребро к стенки балки .

Проверяем напряжение среза по металлу границы сплавления

 = 1,05*165=173,25 МПа

= 62,5 см < = 95 cм

 = 82 < 173,25 МПа - условие выполняется.

Назначаем болты конструктивно d=20 мм.

Проверяем опорный участок балки на устойчивость

А==180*10

 = 164,4 < 230 МПа - условие выполняется.

 = 48,5 см2

 = 1154,04 см4

 = 4,93

λ =  =  = 19,3

3.7 Расчет крепления опорного столика

Определяем длину опорного столика с боку колонны.

Принимаем катет швов с двух сторон , тогда с учетом , учитывающего возможность передачи неравномерного опорного давления. Длина опорного столика равна:

 =  0,32 м = 32 см

Принимаем длину опорного столика с учетом непровара по концам принимаем


Заключение

Различают балки прокатные (из двутавров или швеллеров) и составные - сварные или клепанные (из листов и уголков). Балочная клетка представляет собой систему пересекающихся несущих балок, предназначенных для опирания настила перекрытий. В зависимости от схемы расположения балок балочные клетки разделяют на три типа: упрощенные, нормальные и усложненные.


Список литературы

Мандриков А.П. Примеры расчета металлических конструкций. - Москва Стройиздат 2012 - 431с.

ГОСТ 8568-77 «Листы стальные с ромбическим

и чечевичным рифлением».

ГОСТ 26020-83 «Двутавры стальные горячекатаные с параллельными гранями полок».

СНиП II-23-81 «Стальные конструкции».