Материал: Расчет футеровки металлургического агрегата

Внимание! Если размещение файла нарушает Ваши авторские права, то обязательно сообщите нам




В отечественной и зарубежной практике футеровки доменных печей успешно применяется футеровка шахты наливными огнеупорными самотвердеющими массами, а также методом послойной укладки огнеупорной алюмосиликатной торкретмассы общей толщиной 300-400мм.

Расчетная часть

Исходные данные:

Агрегат - доменная печь объемом 3300м3 - распар;

Количество слоев футеровки - 2;

Тип применяемых огнеупоров - шамот;

Температура кожуха - 200оС.

. Расчет размеров футеровки

.1 Расчет толщины кладки

 (1)

Где:

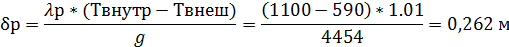
g - тепловой поток на 1м3 поверхности, Вт/м2

 

 

 

g- 4454 Вт/м2 (справочные данные)

.2 Расчет теплопроводности футеровки из шамота

 (2)

.3 Нахождение средней температуры футеровки

 (3)

(973К) - для нижней части распара;

(1023К) - для верхней части распара;

 - для нижней части распара;

 - для верхней части распара;

 

 

Где g - тепловой поток на 1м2 поверхности, ВТ/м2 (4454Вт/м2 -справ. дан.)

 

 

Твнеш., Твнутр. - температуры внешней и внутренней поверхности футеровки, оС

Выразим толщину футеровки

 

;

Для кладки теплоизоляционного слоя применяют кирпичи длинной 230-460мм, примем толщину теплоизоляционного слоя равную 230 мм (по толщине одной длины кирпича).

Тогда толщина рабочего слоя равна:

 

 

мм;

. Расчет температуры на стыке слоев

Для определения температуры на стыке теплоизоляционного и рабочего слоев используем графический метод.

.1 Определим теплопроводность для каждого слоя футеровки

 

 

.2 Построим график зависимости температуры от величины

 

График 1. Зависимость температуры от величины

Исходя из графика находим температуру на стыке слоев равной

.3 Проводим уточняющий расчет толщины рабочего и теплоизоляционного слоев


. Схема футеровки агрегата

футеровка температура доменный печь

Рис. 6 Схема футеровки распара доменной печи

(1 - рабочий слой, 2 - теплоизоляционный слой, 3 - рабочее пространство доменной печи)

Список литературы

1)      Машины и агрегаты металлургических заводов (Целиков А.И., Полухин В.И.)

)        Проектирование и оборудование доменных цехов (Титов В.Н.)

)        Конструкции доменных печей (Дудина В.А.)

)        Металлургия чугуна (Вегман Е. Ф.)