Расчет эксплуатационных и экономических показателей работы подразделений ОАО РЖД
Введение
Планирование - это разработка и корректировка плана, включающие предвидение,
обоснование, конкретизацию и описание деятельности хозяйственного объекта на
ближайшую и отдаленную перспективу.
Планированием на предприятии
поэтапно охватывается работа людей и движение ресурсов (материальных и
финансовых), нацеленных на получение заданного Конечного результата.
Утвержденный руководителем план предприятия имеет силу приказа для указанных в
нем лиц и структурных единиц.
· В нем предельно
четко и подробно указываются:
· цель деятельности
предприятия и его структуры на плановый период, количественно выраженная
системой установленных показателей (с указанием конкретных видов выпускаемой
продукции и характера работ);
· средства достижения
цели (финансовые, материальные и трудовые);
· правила и сроки
увязки целей и средств по этапам на весь период действия плана;
· этапы и сроки
выполнения работ;
· исполнители плана
по срокам и видам работ;
· методы, этапы и
средства контроля выполнения плана.
Практически вся система
хозяйственного управления и регулирования производства строится на методах
планирования. Завершение одного этапа работы служит началом следующего этапа.
Связать все этапы производственного процесса другим методом без помощи
планирования невозможно. Планирование занимает центральное место в механизме
хозяйственного управления как способ достижения цели на основе
сбалансированности и последовательности выполнения всех производственных
операций. Это необходимое условие своевременной подготовки сырья, материалов,
комплектующих изделий, инструментов, оборудования для изготовления конечной
продукции и создания запасов.
Многообразие отраслевой и
территориальной специфики предприятий, а также значительные различия в
организации производства и управления на малых и крупных предприятиях не
укладываются в какую-то одну схему планирования. Поэтому структура планов и
сроки, на которые они разрабатываются, различны. Определение продолжительности
текущих и долгосрочных планов также связано с отраслевой спецификой.
1. Расчет
показателей грузовых перевозок на отделении дороги
Объем отправления (погрузка) в
тоннах (РОТПР=РПОГР)
|
Отправление грузов, тыс. т
|
|
|
А
|
3100
|
|
АБ
|
200
|
|
Б
|
2410
|
|
БВ
|
600
|
|
В
|
1630
|
Размеры прибытия (выгрузка) в тоннах
(РПРИБ=РВЫГР)
|
Прибытие грузов, тыс. т.
|
|
|
А
|
2410
|
|
АБ
|
200
|
|
Б
|
1790
|
|
БВ
|
400
|
|
В
|
1320
|
Размеры приема (РПРИЕМ) и сдачи
грузов (РСДАЧА) по стыковым пунктам отделения территориального филиала
устанавливают по данным межрайонного обмена
Размеры приема грузов по стыковым
пунктам приведены
|
Прием грузов, тыс. т.
|
|
|
А
|
24300
|
|
В
|
27200
|
Размеры сдачи грузов определяются в
курсовой работе по данным о корреспонденции грузопотоков на основе построения
схем грузопотоков.
Объем перевозок по видам сообщений:
прямое (ввоз вывоз транзит) и местное определяется в курсовой работе на
основании построенных схем грузопотоков.
Ввоз - прибытие грузов под выгрузку
на станции дороги (отделения) с других дорог (РВВОЗ); вывоз - отправление
грузов на другие дороги (РВЫВОЗ); транзит - перевозка грузов, поступивших с
других дорог и следующих на 6 другие дороги через данную дорогу (РТР); местное
- перевозка грузов между станциями внутри дороги (РМЕСТН).
Общий объем перевозок в тоннах может
быть определен по формулам:
РПЕР= РВВОЗ + РВЫВОЗ + РМЕСТН + РТР
(1.1)
РПЕР = РОТПР + РПРИЕМ (1.2)
РПЕР = РПРИБ + РСДАЧА (1.3)
РПРИЕМ = РВВОЗ + РТР (1.4)
РСДАЧА = РВЫВОЗ + РТР (1.5)
Грузооборот в тонно-километрах нетто
ΣРL определяется по
каждому участку умножением грузопотока на длину участка, а в целом по отделению
территориального филиала (дороги) - суммированием грузооборота по всем
участкам:
ΣРI
* LI, ткм (1.6)
где ΣРI - грузопоток на участке; Li - длина участка
|
Длина участка, км
|
|
|
АБ
|
184
|
|
БВ
|
170
|
грузооборот
подвижной стоимостной перевозка
Средняя дальность перевозок
рассчитывается делением грузооборота на объем перевозок:
ср =
, км (1.7)
Грузонапряженность рассчитывается
делением грузооборота на эксплуатационную длину дороги (отделения):
ГСР =
, км (1.8)
.1 Расчет
показателей плана грузовых перевозок
Таблица 1.1. - Расчет отправления,
прибытия и приема грузов
|
Станции
|
Всего
|
|
А
|
АБ
|
Б
|
БВ
|
В
|
|
|
Погрузка, т. тонн (отправление)
|
3100
|
200
|
2410
|
600
|
1630
|
7940
|
|
Выгрузка, т. тонн (прибытие)
|
2410
|
200
|
1790
|
400
|
1320
|
6120
|
|
Прием, т. тонн
|
24300
|
-
|
-
|
-
|
27200
|
51500
|
|
Сдача, т. тонн
|
26800
|
-
|
-
|
-
|
26520
|
53320
|
Размеры сдачи и схемы грузопотоков
определяются в соответствии с корреспонденцией грузопотоков по варианту:
. Грузы под выгрузку на станцию «В»
поступают со станции «А» на участок - «БВ» - со станции «В»
. Грузы под выгрузку на станции «А»
и «Б», участок «АБ» завозятся на отделение дороги по станции «А»
. Грузы собственной погрузки
вывозятся с отделения дороги по станции «В»
Прием по станции «В» (27200 т.т.)
складывается из ввоза (400 тыс. т.) и транзита 26800 (тыс. т),
Сдача по станции «В» (26520 тыс. т.)
складывается из вывоза (6620 тыс. т.) и транзита (19900 тыс. т.),
Сдача по станции «А» равна транзиту
(26800 тыс. т.).
Объем перевозок по видам сообщения
составит:
(пер) = 1720 (местн) + 4400 (ввоз) +
6620 (вывоз) + 46700 (тр) (1.1)
(пер) = 7940 (отпр) + 51500 (прием)
(1.2)
(пер) = 6120 (приб) + 53320 (сдача)
(1.3)
Грузопоток на участке «АБ»:
в направлении АБ (четное) составит
(1780+1980+1990+1790+1320/2)/2 + 19900 = 24000 тыс. т.
в направлении БА (нечетное) равен
транзиту = 26800 тыс. т.
Грузопоток на участке «БВ»:
в направлении БВ (четное) составит
(4390+4990+1320/2)/2+19900=24920 тыс. т.;
в направлении ВБ (нечетное) составит
26800+400/2=27000 тыс. т.
Густота перевозок и грузооборот по
отделению дороги рассчитываются в таблице 1.2.
Таблица 1.2. - Расчет грузооборота
|
Наименование участка
|
Длина участка, км
|
Грузопоток
|
Густота перевозок, тыс. т.
|
Грузооборот, млн. т. км
|
|
|
Четное
|
Нечетное
|
|
|
|
АБ
|
184
|
24000
|
26800
|
50800
|
9347,2
|
|
БВ
|
170
|
24920
|
27000
|
51920
|
8826,4
|
|
Всего
|
|
|
|
|
18173,6
|
Средняя дальность перевозок на
отделении составит:
Lср =
=305,75 км
Гср =
= 51338тыс. ткм/км
2. Расчет
эксплуатационных показателей работы подвижного состава в грузовом движении
|
Показатели
|
|
|
Годовой грузооборот L, млн.
|
18173,6
|
|
Динамическая нагрузка, т: на груженный вагон Pдг
|
48,0
|
|
Статическая нагрузка, т. Рст
|
50
|
|
Отношение порожнего пробега вагонов: к груженому, α
|
0,54
|
|
Масса тары вагона, Рm, т
|
23,2
|
|
Масса груженого поезда, т
|
4450
|
|
Состав порожнего поезда mnop вагон
|
68
|
|
Среднесуточный пробег грузового вагона Sв, км
|
241
|
|
Среднесуточный пробег локомотива Sл, км
|
670
|
|
Отношение вспомогательного линейного пробега локомотивов к
пробегу во главе поезда βлин
|
0,18
|
|
Отношение условного пробега к пробегу во главе поездов, βусл.
|
0,10
|
|
Участковая скорость Vу =Vуод, км/ч
|
32,7
|
1. Пробег подвижного состава
рассчитывается по формулам.
Пробег груженых вагонов:
Sгр =
, ваг-км
где
- принимается по расчету; Pд.г. - средняя динамическая нагрузка на вагон (т/ваг), определяется
исходя из структуры грузопотока.
= Pст ∙
отпр
+Pд.г. ∙
пр, т/ваг
где Рст - статистическая нагрузка на
вагон, т/ваг; Рд.г. - динамическая нагрузка на вагон, т/в,
отпр - удельный вес отправления в общем объеме перевозок определяется по
данным плана перевозок.
Рассчитываем среднюю динамическую
нагрузку на вагон (т/ваг)
отпр =
= 0,13
где - удельный вес грузов,
поступивших на отделение дороги (ввоз+транзит).
пр = 0,87
Тогда при Рст = 50 т/ваг,
Рд.г = 48,0 т/ваг,
= 50 ∙
0,13 + 48 ∙ 0,87 = 48,26 т/ваг.
Таким образом, динамическая нагрузка
на рассматриваемом отделении дороги лишь на
= 13,5% зависит от степени использования грузоподъемности вагонов
на погрузке (коллектива отделения дороги).
Пробег груженых вагонов:
∑nSгр =
= 376576685 ваг-км
Пробег порожних вагонов:
∑nSпор = ∑nSгр ∙ α, ваг-к
где α
- отношение порожнего пробега вагонов к груженому пробегу
∑nSпор = 376576685 ∙ 0,54
= 203351512 ваг-км
Общий пробег вагонов:
∑nSобщ = ∑nSгр ∙ (1+α)
∑nSобщ = 376576685 ∙
(1+0,54) = 579928095 ваг-км
Тонно-километры брутто вагонов
рабочего парка:
∑PLбр = ∑PL + Рт ∙ ∑nSобщ
где Рт - масса тары вагона, т/ваг,
∑PLбр = 18173,6 млн + 23,2 ∙ 579928095 = 31627930000 т-ваг
2. Пробег груженых и порожних
поездов:
∑NLгр =
, п/км
∑NLпор =
, п/км
где
- средняя масса груженого поезда, т/бр.; mпор - средний состав
порожнего поезда, ваг.
∑NLгр =
=
6047905,6 п-км
∑NLпор =
=
2990463,4 п-км
Общий пробег поездов:
∑NLобщ = ∑NLгр + ∑NLпор, п-км
∑NLобщ = 6047905,6 + 2990463,4 = 9038369,0 п-км
Линейный и общий пробег локомотивов:
∑MSлин = ∑NLобщ ∙ (1+βлин), лок-км
где βлин - отношение вспомогательного линейного пробега (работа по
системе многих единиц, двойная тяга, подталкивание, резервный пробег) к пробегу
во главе поездов
∑MSлин = 9038369∙ (1+0,18) = 10665275,0 лок-км
∑MSобщ = ∑NLобщ ∙ (1+βобщ), лок-км
βобщ = βлин + βусл - отношение
вспомогательного общего пробега (линейного и условного) к пробегу во главе
поездов. К условному пробегу относится маневровая работа поездных локомотивов и
простои локомотивов на станциях
βобщ = 0,18 + 0,10 = 0,28
∑MSобщ = 9038369 ∙ (1+0,28) = 11569112, лок-км
3. Качественные показатели
использования подвижного состава рассчитываются по формулам:
Средняя масса поезда и средний
состав поезда:
=
, т
=
= 3499,3, т
mср =
, ваг
mср =
= 64 ваг
Оборот вагона:
Оваг =
, сут
Где LГР - груженый рейс вагона, SВАГ
- среднесуточный пробег вагона = 241, км/сут
Lгр =
Работа отделения дороги - сумма
погруженных, транзитных и вагонов поступающих под выгрузку с соседних отделений
дороги:
Uраб = Uпогр + Uпр.тр +Uпр.выгр
Количество погруженных вагонов -
делением погрузки в тоннах на статическую нагрузку вагона:
Uпогр =
Uпогр =
= 158800 ваг
Работа отделения дороги - сумма
погруженных, транзитных и вагонов поступающих под выгрузку с соседних отделений
дороги:
Прием транзитных вагонов - делением
транзитного грузопотока на динамическую нагрузку груженого вагона:
Uпр.тр =
Uпр.тр =
= 972917 ваг
Прием вагонов под выгрузку -
делением размеров ввоза на динамическую нагрузку груженого вагона:
Uпр.выгр =
Uпр.выгр =
= 91667 ваг
Uраб = 158800 +972917 + 91667
=1223384 ваг
Lгр =
= 310.37 км
Оваг =
= 2 сут
Оваг =
, сут
Оваг =
= 2, сут
Где nраб - рабочий парк
вагонов.
Рабочий парк вагонов определяется
двумя способами:
nраб =
, ваг
nраб =
, ваг
nраб =
= 6593 ваг
nраб =
= 6593 ваг
Производительность вагонов и
локомотивов:
Wваг =
, ткм/ваг
Wваг =
= 7552,38 ткм/ваг
Wлок =
ткм. бр/лок
Wлок =
= 2027108 ткм. бр/лок
Рабочий парк локомотивов
определяется двумя способами:
Мраб =
, лок
Мраб =
= 43 лок
Мраб =
, лок
Мраб =
=43 лок
где Sв, Sл - среднесуточный пробег
вагонов и локомотивов, км/сут
3. Расчет
стоимостных показателей работы отделения дороги
1. Себестоимость перевозок методом
единичных расходных ставок определяющаяся, в целом, по ОАО РЖД в соответствии с
Методикой расчета единичных и укрупненных расходных ставок, разработанной
ВНИИЖтом.
Перечень зависящих расходов и
величина расходных ставок
|
Наименование измерителя
|
Условн. обозначение
|
Перечень расходов, относимых на измеритель
|
Величина расходных ставок в рублях по вариантам
|
|
Вагоно - километры
|
nS
|
Коммерческий осмотр транзитных поездов, техническое обслуживание
и текущий ремонт вагонов
|
0,61
|
|
Вагоно-часы
|
nt
|
Деповской ремонт, амортизация вагонов, отчисления на капитальный
ремонт
|
15,35
|
|
Локомотиво - километры: теплотяга
|
MS
|
Смазочные материалы, техническое обслуживание и текущий ремонт,
отчисления на капитальный ремонт
|
38,56
|
|
Локомотиво - часы: теплотяга
|
Mt
|
Амортизация локомотивов
|
947,11
|
|
Бригадо-часы локомотивных бригад: теплотяга
|
Mh
|
Заработная плата локомотивных бригад
|
895,24
|
|
Тонно-км брутто
|
Pl бр
|
Текущее содержание и амортизация верхнего строения пути
|
0,0131
|
|
Локомотиво-час маневровой работы
|
Mt ман
|
Маневровая работа на станциях, содержание и ремонт маневровых
локомотивов
|
1519,76
|
|
Расход энергоресурсов топлива
|
В(А)
|
Расходы на топливо (электроэнергию) для тяги поездов
|
15,07
|
|
Отправленный грузовой вагон
|
n
|
Подготовка вагонов под погрузку, ремонт порожних вагонов
|
89,76
|
Расчет калькуляционных измерителей
для заданных условий перевозок
|
Наименование измерителя
|
Расходная ставка, руб.
|
Расчет измерителей1
|
Расходы на 1000 т - км, руб.
|
|
Вагоно-км
|
ℓns = 0.61
|
nS0 =1000/ ∙ (1+α) nS0 =1000/48,26∙(1+0,54)=31,91
|
19,47
|
|
Вагоно-часы
|
ℓnt =15.35
|
nt = nS0/Sв ∙
24 nt = 31,91/241 ∙ 24 = 3,18
|
48,81
|
|
Локомотиво-км
|
ℓMS=38.56
|
MS
= NL (1+βобщ) NL = 1000+Pm ∙ nS0/ NL = 1000+23,2 ∙
31,91/3570,13= 0,49 MS = 0,49 (1+0,28)= 0,63
|
24,18
|
|
Локомотиво - часы
|
ℓMt=947.11
|
Mt
= NL (1+βЛИН)/SЛ ∙ 24 Mt = (0,49 (1+0,18)/670)∙24 = 0,02
|
19,68
|
|
Бригадо-часы
|
ℓMh=895.24
|
Mh
= NL (1+ βЛИН)/VУЧ ∙ KБР Mh = 0,49 (1+0,18)/32,7 ∙
1,4= 0,013
|
11,64
|
|
Тонно-км брутто
|
ℓPLбр=0.0131
|
PLбр =
1000+Pm∙nS0+Pл∙NL∙(1+
βЛИН) PLбр = 1000+23,2∙31,91+258∙0,49∙ (1+0,18)=1889,49
|
24,75
|
|
Расход электроэнергии и (топлива)
|
ℓв=15.07
|
B = bm ∙ ∙ NL/104 B = 47,1 ∙ 3570,13∙0,49/ 104=8,24
|
124,16
|
|
Локомотиво - час маневровой работы
|
ℓMtm=1519.76
|
Mtман = KM∙ nS0/1000 Mtман =
0.6∙31,91/1000= 0.02
|
30,4
|
|
Количество грузовых отправок
|
ℓo=209.160
|
O
= 1000∙ отпр/Lср∙P0 O = 1000∙ 0,13/308,28∙40 = 0,01
|
2,09
|
|
Отправленные вагоны
|
ℓn=89.76
|
0,76
|
|
Итого зависящих расходов
|
Эзав = 305,94
|
|
Условно-постоянные (независящие) расходы Эзав ∙1,8
|
Энз= 550,69
|
|
Всего расходов на 1000 ткм
|
Э = эзав+Энз= 856,63
|
Себестоимость 10 ткм рассчитывается:
Сп =
=
= 8,57
руб./10 ткм
Расходы по грузовым перевозкам
определяют:
Э =
=
=
15574775,2 тыс. руб.
2. Себестоимость единиц работы
подвижного состава используется для оценки эффективности мероприятий по
совершенствованию перевозочного процесса.
Расчет себестоимости единиц работы
подвижного состава.
. Расчет себестоимости
локомотиво-часа простоя:
|
Наименование измерителя
|
Расходная ставка, руб.
|
Расчет измерителей
|
Расходы, руб.
|
|
Локомотиво-км
|
38,56
|
1
|
38,56
|
|
Локомотиво-часы
|
947,11
|
1
|
947,11
|
|
Бригадо-часы
|
895,24
|
1
|
895,24
|
|
Расход топлива (электроэнергии)
|
15,07
|
36
|
542,52
|
|
ИТОГО
|
|
|
2423,43
|
. Расчет себестоимости поездо-км
|
Наименование измерителя
|
Расходная ставка, руб
|
Расчет измерителей
|
Расходы, руб
|
|
Вагоно-километры
|
0,61
|
nS = mср = 64
|
39,04
|
|
Вагоно-часы
|
15,35
|
nt = mср/Vуч nt = 39,04/32,7 = 1,19
|
18,33
|
|
Локомотиво-км
|
38,56
|
MS = 1+βУСЛ MS = 1+0,10 =1,10
|
42,42
|
|
Локомотиво-часы
|
947,11
|
Mt = 1/VУЧ + βУСЛ Mt =
1/32,7 + 0.10 = 0,13
|
116,39
|
|
Бригадо-часы
|
895,24
|
Mh =1/VУЧ ∙
Kбр Mh =1/32,7 ∙ 1.4 =0,04
|
35,81
|
|
Тонно-км брутто
|
0,0131
|
Pℓбр=
+Pл Pℓбр=3570,13+258=3828,13
|
50,15
|
|
Расход топлива (электроэнергии
|
15,07
|
B = ∙bm/104 B = 3570,13 ∙ 273/104 =97,47
|
1468,88
|
|
ИТОГО
|
|
|
1771,02
|
Зависящие расходы по пробегу поездов
рассчитываются:
ЭП-КМ = NL ∙ CП-КМ
ЭП-КМ = 0,49 ∙
1771,02=867,8 руб.
Расчет себестоимости поездо-часа:
|
Наименование измерителя
|
Расходная ставка, руб.
|
Расчет измерителей
|
Расходы, руб.
|
|
Вагоно-часы
|
15,35
|
64
|
982,4
|
|
Локомотиво-км
|
38,56
|
1
|
38,56
|
|
Локомотиво-часы
|
947,11
|
1
|
947,11
|
|
Бригадо-часы
|
895,24
|
1
|
895,24
|
|
Расход топлива (электроэнергии
|
15,07
|
36
|
542,52
|
|
ИТОГО
|
|
|
3405,83
|
Расчет себестоимости локомотиво-км
резервного пробега
|
Наименование измерителяРасходная ставка, руб.Расчет
измерителейРасходы, руб.
|
|
|
|
|
Локомотиво-км
|
38,56
|
1
|
38,56
|
|
Локомотиво-часы
|
947,11
|
1
|
947,11
|
|
Бригадо-часы
|
895,24
|
1
|
895,24
|
|
Расход топлива (электроэнергии)
|
15,07
|
36
|
542,52
|
|
Тонно-км брутто
|
0,0131
|
258
|
3,38
|
|
ИТОГО
|
|
|
2436,17
|
4. Расчет влияния
качественных показателей использования подвижного состава на изменение
грузооборота
Взаимосвязь объема эксплуатационного
грузооборота в тонно-километрах с факторами, определяющими его величину, можно
представить на схеме.
|
Наименование показателей
|
Величина показателя
|
Процент выполнения
|
|
расчет (план)
|
факт
|
|
|
Погрузка, тонн
|
7940000
|
7940000*0,86=6828400
|
6828400/7940000=86
|
|
Статическая нагрузка, т/ваг
|
50
|
50*0,98=49
|
49/50=98
|
|
Погружено вагонов, ваг
|
158800
|
6828400/49=139355
|
139355/158800=87,76
|
|
Принято под выгрузку вагонов
|
91667
|
91667*0,88=80666,96
|
80666,96/91667=88
|
|
Принято транзитных вагонов
|
972917
|
972917*0,92=895083,64
|
895083,64/972917=92
|
|
Принято груженых вагонов с соседнего отделения
|
1064584
|
80666,96+895083,64= 975750,6
|
975750,6/1064584=91,65
|
|
Работа отделения, ваг
|
1223384
|
139355+975750,6= =1115105,6
|
1115105,6/1223384=91,15
|
|
Груженый рейс вагона, км
|
310,37
|
310,37*1,08=335,2
|
335,2/310,37=108
|
|
Пробег груженых вагонов, ваг - км
|
379702031
|
1115105,6*335,2= 373783397,12
|
373783397,12/379702031= 98,44
|
|
Динамическая нагрузка, т\ваг
|
48,26
|
49*0,13+48*0,87=48,13
|
48,13/48,26=99,73
|
|
Грузооборот, т-км
|
18173,6 млн
|
373783397,12*48,13= =17990194903,39
|
17990194903,39/18173600000= 98,99
|
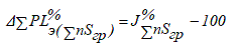
Влияние факторов на изменение
эксплуатационных тонно-километров
|
Факторы и субфакторы
|
Формула анализа
|
Расчет по формуле
|
Отклонение
|
|
|
|
в %
|
(+,-)
|
|
Вагоно-км груженых вагонов
|
|
98,44-100
|
1,56
|
-
|
|
Динамическая нагрузка на груженый вагон,
|
|
98,99-98,44
|
0,55
|
-
|
|
Работа дороги, вагонов,
|
|
91,15-100
|
8,85
|
-
|
|
Рейс груженого вагона, км,
|
|
98,44-91,15
|
7,29
|
+
|
|
Количество вагонов, принятых гружеными с соседних отделений
|
|
(91,65-100)* (1064584/ 1223384)
|
7,26
|
-
|
|
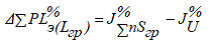
Прием транзитных вагонов Uпр тр
|
∆∑PLэ%(Uпр тр)=(J % Uпр тр-100)∙ϕтр ϕтр=
|
972917/1223384*(92-100)
|
6,36
|
-
|
|
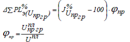
Принято под выгрузку вагонов Uпр выгр
|
∆∑PLэ%(Uпр выгр)=(J % Uпр выгр-100)∙ϕвыгр ϕвыгр=
|
91667/1223384*(88-100)
|
0,9
|
-
|
|
Количество погруженных вагонов
|
|
(87,76-100)* (1-0,87)
|
1,59
|
-
|
|
Объем погрузки, т,
|
|
(86-100)*0,13
|
1,82
|
-
|
|
Средняя статистическая нагрузка на вагон
|
|
(87,76-86)* 0,13
|
0,23
|
+
|
|
Эксплуатационные тонно-км,
|
|
98,99-100
|
1,01
|
-
|
Грузооборот уменьшился на 14,09%.
В результате уменьшения приема
груженых вагонов на 8,35% уменьшение грузооборота составило - 7,26%.
Сокращение транзитного вагонопотока
на 8% привело к сокращению грузооборота на 6,37%.
Увеличение груженого рейса вагонов
на 8% привело к увеличению грузооборота на 7,29%.
Остальные показатели не оказали
существенного влияния на изменение грузооборота в отчетном периоде.
Сокращение погрузки в тоннах на 14%
привело к сокращению грузооборота всего на 1,82%.
Таким образом, отрицательное влияние
на величину объема перевозок на отделении оказали влияние внешние факторы.
5. Расчет влияния
на себестоимость перевозок и расходы грузооборота и качественных показателей
использования подвижного состава
.1 Оценка влияния
изменения грузооборота на финансовые показатели
Расчет влияния объема перевозок на
себестоимость производится по формуле:
∆Cn =
- Сn
∆Cn(%)=
∙ 100
где Сn - начальная величина
себестоимости перевозок на отделении дороги;
- себестоимость после изменения объема перевозок.
= cзав +
, руб./10 ткм
= 3,06
+
= 8,63 руб./10 ткм
где Сзав - себестоимость в части
зависящих расходов, руб./10 ткм; Снз - себестоимость в части независящих
расходов, руб./10 ткм; ∆PL - изменение объема перевозок, %.
∆Cn =8,63 -
∆Cn(%)=
∙ 100 = 0,7%
Себестоимость в части зависящих и
независящих расходов определяется по данным таблицы 3.2, делением расходов на
объем перевозок.
Изменение эксплуатационных расходов
(экономия или перерасход) рассчитываются по формуле:
∆Э = ±∆С ∙ ∑PL (
)
∆Э = 0,06 ∙ 18173,6 млн
ткм (
) = 1079402798 руб.
где ∑PL - грузооборот.
.2 Оценка влияния
изменения качественных показателей на финансовые показатели
Для расчета влияния качественных
показателей использования подвижного состава на себестоимость перевозок
используются формулы зависимости себестоимости, которые определяются методом
расходных ставок.
С такими показателями как
динамическая нагрузка на вагон, масса поезда брутто, участковая скорость
себестоимость связана обратной зависимостью:
С = ан.с.+
С показателями: процент порожнего
пробега вагонов, и вспомогательного пробега локомотивов себестоимость связана
прямой зависимостью:
С = ан.с.+ в ∙
где а - величина себестоимости,
независящей от качественного показателя;
и в ∙
-
величина себестоимости, зависящей от качественного показателя; Kп - численное
значение качественного показателя.
∆Cn =
- Сn
руб./10 ткм
где
- величина себестоимости перевозок, соответствующая новому
значению качественного показателя.
Расчет по формуле прямой
зависимости, так как измененным качественным показателем является
вспомогательный пробег локомотивов:
∆Cn = ±
, %
∆Cn = ±
= 0,006%
∆Cn = 0,006%
8,57/100 =0,0005
при обратной зависимости:
∆Cn = ±
, %
где m - доля расходов, зависящая от
качественного показателя, ∆Kп - изменение качественного показателя в
процентах
Экономический эффект от улучшения
качественного показателя (или потери в результате его ухудшения) рассчитать по
формуле:
∆Э = ∆Сn ∙ ∑PL (
)
∆Э = 0,0005 ∙
18173600000∙(
) =
8665023 руб.
Список используемой
литературы
1. Экономика железнодорожного транспорта: Учеб. Для вузов ж.-д.
трансп./ И.В. Белов, Н.П. Терешина и др., Под ред. Н.П. Терешиной, Б.М.
Лапидуса. - М.: УМК МПС России, 2001. - 600 с. Под ред. Н.П. Терешиной. М.
Транспорт, 1997 - 321 с.
. Себестоимость железнодорожных перевозок. Под ред. Г.Г. Смеховой
М. Маршрут, 2003 -495 с.
. А.Ф. Иваненко. Анализ хозяйственной деятельности на
железнодорожном транспорте: Учебник для вузов ж.-д. трансп. М.: Маршрут, 2004.
- 568 с.