Материал: Ранг матрицы

Внимание! Если размещение файла нарушает Ваши авторские права, то обязательно сообщите нам

Ранг матрицы

Рангом системы строк (столбцов) матрицы A с m строк и n столбцов называется максимальное число линейно независимых строк (столбцов). Несколько строк (столбцов) называются линейно независимыми, если ни одна из них не выражается линейно через другие.

Ранг матрицы — наивысший из порядков миноров этой матрицы, отличных от нуля.

Обычно ранг матрицы A обозначается ( ) или .

Оба обозначения пришли к нам из иностранных языков, потому и употребляться могут оба. Последний вариант свойственен для английского языка, в то время как первый — для немецкого, французского и ряда других языков.

Существует несколько методов нахождения ранга матрицы:

  • Метод элементарных преобразований

Ранг матрицы равен числу ненулевых строк в матрице после приведения её к ступенчатой форме при помощи элементарных преобразований над строками матрицы.

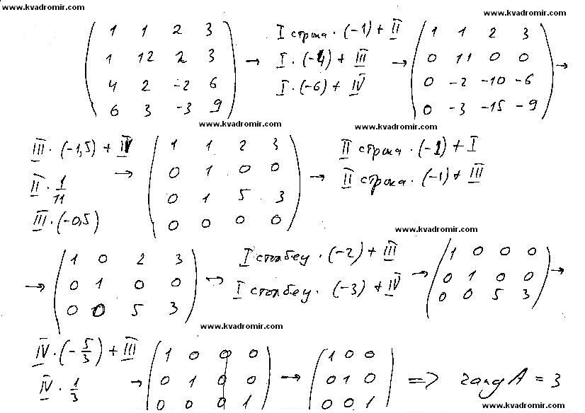
Найти ранг матрицы

Решение

Метод окаймляющих миноров

Пусть в матрице A найден ненулевой минор k-го порядка M.

Рассмотрим все миноры (k + 1)-го порядка, включающие в себя (окаймляющие) минор M; если все они равны нулю, то ранг матрицы равен k. В противном случае среди окаймляющих миноров найдется ненулевой, и вся процедура повторяется.

Пример. Найти ранг матрицы:

Решение. Для нахождения ранга матрицы А отбросим нулевой столбец матрицы А. При этом ранг матрицы не изменяется:

Ранг матрицы равен максимальному числу ее линейно независимых строк или столбцов.

В матрице А1 третий столбец является линейно зависимым от первого, так как получается умножением на 2 элементов первого столбца.

Аналогично четвертый столбец является линейно зависимым от второго. Запишем матрицу только из линейно независимых столбцов:

Получили матрицу размерности 3 × 2. Так как строки и столбцы этой матрицы линейно независимы, то ранг этой матрицы равен меньшему из ее размеров: