Материал: ПЗ-9 – копія

Внимание! Если размещение файла нарушает Ваши авторские права, то обязательно сообщите нам

Практичне заняття №9. Розрахунок нормативної частки оптимальної чисельності працівників організації.

Варіант

Показники

Ов, од.

В, од

Тнор ,

нормо-год.;

Квн

Фп,

год

Р, од

Нв,

од/год

Р , од

Но, од.

24

56800

200

33

105

40

53 960

5

56800

10

Ф, год

Тно, год

О

З

Коб

І

8

15

12

2

0,96

0,1

Загальна потреба підприємства в кадрах(Ч):

Ч = Ов / В = 15740/250=62,96

де Ов - обсягу виробництва (наданих послуг, продаж)

В - запланований виробіток на одного працюючого

 

Для визначення чисельності основних робітників за трудомісткістю розрахунок виконується за формулою:

 

де Чпл — планова чисельність основних робітників, осіб;

Тнор — плановий обсяг робіт, нормо-год.;

Квн — плановий відсоток виконання норм часу.

Фпл — реальний фонд робочого часу одного середньооблікового робітника, год.

Чисельність окремих груп основних робітників, зайнятих на одних і тих самих роботах, можна визначити за нормами виробітку:

=

 

де Р — плановий обсяг робіт у натуральних одиницях виміру;

Нв — планова норма виробітку в тих самих одиницях за 1 годину.

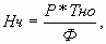
Нормативи чисельності визначаються через норми обслуговування або норми часу обслуговування.

або  =

де Р — обсяг робіт;

Но — норма обслуговування, виражена в таких самих одиницях, що й обсяг роботи;

Ф — фонд робочого часу (за зміну, місяць);

Тно — норма часу обслуговування для відповідного періоду.

Чисельність допоміжних робітників, для яких не можна установити обсяг робіт, норму обслуговування, розраховується за робочими місцями. Сюди можна віднести: комірників, комплектувальників та ін. Розрахунок можна зробити за формулою:

=

де О — кількість робочих місць;

З — число змін;

Коб — коефіцієнт приведення явочної чисельності до облікової.

Нормативи чисельності спеціалістів доцільно застосовувати на підприємствах галузей матеріального виробництва. Вони передбачають установлення залежності між кількісними і якісними показниками діяльності кадрів спеціалістів і основними техніко-економічними показниками діяльності підприємства, такими як номенклатура або асортимент продукції, продуктивність праці, вартість основних виробничих фондів та ін.

=31,48х0=0

де Нч—норматив чисельності спеціалістів з вищою або середньою спеціальною освітою;

Чс — чисельність спеціалістів. в умовах завдання приймемо, що Чс=0,5*62,96=31,48;

І — значення вибраного техніко-економічного показника діяльності підприємства.

Нормативний коефіцієнт насиченості в кожному плановому періоді розраховується відношенням нормативної чисельності спеціалістів до середньооблікової чисельності працівників. Загальна потреба визначається множенням нормативного коефіцієнта насиченості спеціалістами (Нч) на планову чисельність працівників у даному році (Чпл):

Чс = Нч*Чпл.=0х12,22=0

В умовах завдання Чпл=Чп