Материал: Прохождение сигнала сложной формы через линейную цепь

Внимание! Если размещение файла нарушает Ваши авторские права, то обязательно сообщите нам

в)

г)

д)

е)

ж)

з)


С учетом четной симметрии автокорреляционной функции общее её выражение примет, следующий вид:


График приведен на рисунке 16.

Рисунок 16. Корреляционная функция исходного непериодического сигнала

Из графика видно, что корреляционная функция, как и исходный сигнал, является непериодической.

Аналитическое и графическое представление корреляционной функции исходного периодического сигнала

Расчет автокорреляционной функции периодического сигнала производится по формуле

(6.2)



График приведен на рисунке 17.

Рисунок 17. Корреляционная функция исходного периодического сигнала

Аналогично предыдущему случаю, корреляционная функция является периодической.

Влияние параметров цепи на АЧХ и ФЧХ

Рассмотрим влияние параметров линейной цепи на её амплитудно- и фазочастотные характеристики.


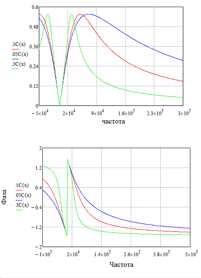
Рисунок 18. АЧХ и ФЧХ при изменении индуктивности

При уменьшении сопротивления, АЧХ в районе резонанса становится более пологой, что уменьшает добротность фильтра и увеличивает его полосу подавления; ФЧХ также зависит от параметров цепи - чем шире полоса подавления, тем более плавный спад фазы на частотах в полосе подавления(рисунок 18).

Рисунок 19. АЧХ и ФЧХ при изменении емкости

При изменении емкости (рисунок 19), минимум АЧХ и положение скачка на ℼ в ФЧХ смещаются по оси частот из-за изменения центральной частоты подавления полосно-заграждающего или режекторного фильтра; кроме того, изменяется ширина полоса заграждения из-за изменения добротности колебательного контура, входящего в данный фильтр.

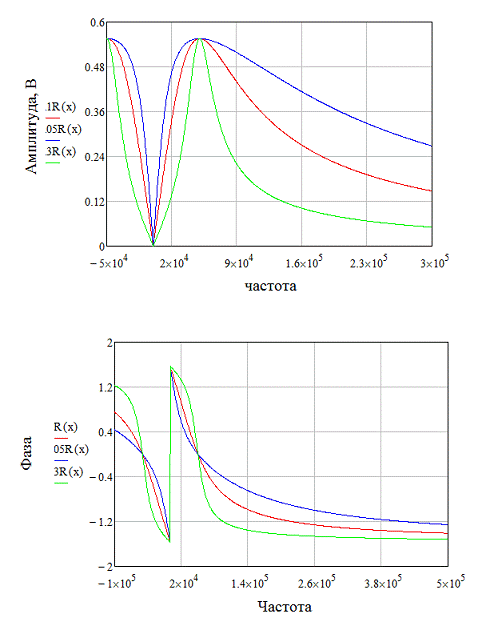
Аналогичные изменения происходят при изменении сопротивления (рисунок 20).

Рисунок 20. АЧХ и ФЧХ при изменении сопротивления


Заключение

При выполнении курсовой работы был описан исходный сигнал с помощью функции Хевисайда, определены спектральная плотность, амплитудный и фазовый спектры сигнала. При вычислении спектральной плотности были применены свойства преобразования Фурье. Автокорреляционная функция сигнала имеела вид сглаженной кривой и максимум при τ=0. Также была проанализирована заданная линейная RC-цепь, определена комплексная передаточная функция, из которой затем вычисляется амплитудно-частотная и фазо-частотная характеристики. Виды АЧХ и ФЧХ были смоделированы в программной системе компьютерной алгебры из класса систем автоматизированного проектированияMathCAD, в дальнейшем подтвердившийся при моделировании в программе Multisim 11. Далее была определена импульсная характеристика цепи, которая при применении в интеграле Дюамеля выдает выходной сигнал при любом заданном входном сигнале. Этот процесс был смоделирован в программе OrCAD 9.2, что показано в пункте 5 курсовой работы. В результате были приобретены знания фундаментальных закономерностей, связанных с описанием заданных сигналов, получения их характеристик, обработкой и преобразованием в радиотехнических цепях, описания заданной цепи, получения важных характеристик цепи. Закреплены ранее полученные знания и навыки выполнения поставленных задач.

Список литературы

Гоноровский И. С. Радиотехнические цепи и сигналы: Учебник для вузов. - 4-е изд., перераб. и доп. - М: Радио и связь, 1986. - 512 с.: ил.

Л. Б. Кочин, В. К. Соколов. Радиотехнические цепи и сигналы. Методические указания по выполнению курсовой работы. СПб, 2002.

. Е.Ф. Березкин Основы теории информации и кодирования. Лабораторный практикум. Учебно-методическое пособиеМИФИ, 2-е издание. Москва 2009.

. [Электронный ресурс] /Основы радиоэлектроники и связи; ред. Андреевская Т.М..- Режим доступа http://jstonline.narod.ru/rsw/, свободный. (Дата обращения: 02.11.2016 г.)

. В.Г. Патюков, Е.В. Патюков, В.Б. Кашкин Радиотехнические цепи и сигналы, конспект лекций- Красноярск 2007: СФУ. -200 с.