Проектирование трубчатого реактора пиролиза пропановой фракции
термодеструктивный пропановой фракция печь
Введение
Пиролиз нефтяного сырья - термодеструктивный процесс, предназначенный для получения низших олефинов, преимущественно этилена и пропилена, получивший в современной мировой нефтехимии исключительно широкое распространение. Продукты пиролиза являются ценным сырьем нефтехимических отрасли для производства оксида этилена, этилового спирта, полимеров (полиэтилена, полипропилена, акрилогитрила, стирола, пластмасс) и др.
Процесс пиролиза нефтяного сырья проводится в трубчатых печах,
конструкции и технологические режимы которых, в зависимости от типа сырья и
назначения процесса, весьма разнообразны. Поэтому проектирование трубчатых
реакторов пиролиза было и остается важной и актуальной задачей
нефтеперерабатывающей отрасли.
Трубчатая печь - высокотемпературное термотехнологическое устройство с рабочей камерой, огражденной от окружающей атмосферы. Печь предназначена для нагрева углеводородного сырья теплоносителем, а также для нагрева и осуществления химических реакций за счет тепла выделенного при сжигании топлива непосредственно в этом аппарате. Трубчатые печи используются при необходимости нагрева среды (углеводородов) до температур свыше 230 °С. В качестве топлива могут применяться продукты отходов различных процессов, в результате чего не только используется тепло, получаемое при их сжигании, но часто решаются проблемы, связанные с безопасной утилизацией этих отходов.
Трубчатые печи получили широкое распространение в нефтехимической промышленности, где их используют для высокотемпературного нагрева и реакционных превращений жидких и газообразных нефтепродуктов (пиролиз, крекинг). Трубчатая печь относится к аппаратам непрерывного действия с наружным огневым обогревом.
Современная печь представляет собой синхронно работающий печной комплекс, состоящий из печи, средств обеспечения печного процесса, а также систем автоматизированного регулирования и управления печным процессом. Основными элементами трубчатых печей являются: рабочая камера, трубчатый змеевик, огнеупорная футеровка, оборудование для сжигания топлива (горелки), дымоход, дымовая труба.
Печь работает следующим образом. Мазут или газ сжигается с помощью горелок, расположенных на стенах или поду камеры радиации. Газы сгорания из камеры радиации поступают в камеру конвекции, направляются в дымоход и по дымовой трубе уходят в атмосферу. Продукт одним или несколькими потоками поступает в трубы конвективного змеевика, проходит трубы экранов камеры радиации и нагретый до необходимой температуры, выходит из печи. Главной частью трубчатой печи является радиационная секция, которая одновременно является и камерой сгорания.
Продукты сгорания топлива являются главным источником тепла, поглощаемого в радиационной секции трубчатых печей. Тепло, выделившееся при горении, поглощается трубами радиационной секции, создающими так называемую поглощающую поверхность. Поверхность футеровки радиационной секции создает так называемую отражающую поверхность, которая, теоретически, не поглощает тепла, переданного ей газовой средой печи, а только излучением передает его на трубчатый змеевик. Около 70 % всего используемого тепла в печи передается в камере радиации, остальное - в конвективной секции.
Камера конвекции служит для использования физического тепла продуктов сгорания, выходящих из радиационной секции обычно с температурой 700 - 900 °С. В камере конвекции тепло к сырью передается в основном конвекцией и частично излучением трехатомных компонентов дымовых газов.
Величина конвективной секции, как правило, подбирается с таким расчетом, чтобы температура продуктов сгорания, выходящих в боров, была примерно на 150 °С выше, чем температура нагреваемых веществ при входе в печь. По этой причине тепловая нагрузка труб в конвективной секции меньше, чем в радиационной, что обусловлено низким коэффициентом теплоотдачи со стороны дымовых газов.
Нагреваемое углеводородное сырье проходит последовательно сначала по
змеевикам камеры конвекции, а затем направляется в змеевики камеры радиации.
При таком противоточном движении сырья и продуктов сгорания топлива наиболее
полно используется тепло, полученное при его сжигании.
По технологическому назначению различают печи нагревательные и реакционно-нагревательные. В первом случае целью является нагрев сырья до заданной температуры. Такие печи характеризуются высокой производительностью и умеренными температурами нагрева углеводородных сред (300 - 500 °С). Во втором случае кроме нагрева в определенных участках трубного змеевика обеспечиваются условия для протекания направленной реакции. Эта группа печей многих нефтехимических производств одновременно с нагревом и перегревом сырья используется в качестве реакторов. Их рабочие условия отличаются параметрами высокотемпературного процесса деструкции углеводородного сырья и невысокой массовой скоростью потока.
По способу передачи тепла нагреваемому продукту печи подразделяются на
конвективные, радиационные, радиационно-конвективные.
Таблица 1.2.1 - Классификация печей по конструктивному оформлению
Признак классификации
Классы печи
Форма каркаса
Коробчатые
Цилиндрические
Кольцевые
Секционные
Число камер радиации
Однокамерные
Двухкамерные
Многокамерные
Движение дымовых газов
Восходящий поток
Нисходящий поток
Горизонтальный поток
Тип топлива печи
Жидкое
Газообразное
Жидкое и газообразное
Способ сжигания топлива
Факельное
Беспламенное
Расположение трубного
змеевика
Горизонтальное
Вертикальное
Расположение горелок
Боковое
Подовое
Расположение дымовой трубы
Вне печи
Над камерой конвекции
Каждая трубчатая печь характеризуется тремя основными показателями:
производительностью, полезной тепловой нагрузкой, коэффициентом полезного
действия.
Производительность печи выражается количеством сырья, нагреваемого в
трубных змеевиках в единицу времени.
Полезная тепловая нагрузка - это количество тепла, переданного в печи
сырью (МВт, Гкал/ч). Она зависит от тепловой мощности и размеров печи.
Перспективными являются печи с тепловой нагрузкой 40 - 100 МВт и более.
Коэффициент полезного действия печи характеризует экономичность ее
эксплуатации и выражается отношением количества полезно используемого тепла к
общему количеству тепла, которое выделяется при полном сгорании топлива.
Значение коэффициента полезного действия зависит от полноты сгорания топлива, а
также от потерь тепла через футеровку печи и с уходящими в дымовую трубу
газами. Трубчатые печи, эксплуатируемые в настоящее время на
нефтеперерабатывающих заводах, имеют КПД в пределах 0,65 - 0,87.
Эксплуатационные свойства каждой печи наряду с перечисленными
показателями характеризуются: теплонапряженностью поверхности нагрева, тепловым
напряжением топочного объема, гидравлическим режимом в трубном змеевике при
установившейся работе.
От комплекса этих показателей зависят эффективность работы трубчатых
печей и срок их службы.
Назначением процессов пиролиза, получивших в современной мировой
нефтехимии исключительно широкое распространение, является производство низших
олефинов, преимущественно этилена, являющихся ценным сырьем для синтеза
важнейших нефтехимических продуктов.
Процесс пиролиза в зависимости от целевого назначения может быть
направлен на максимальный выход этилена пропилена или бутиленов. Наряду с
газом, в процессе образуется некоторое количество жидкого продукта, содержащего
значительные количества моноциклических и полициклических ароматических
углеводородов.
Сырьем в процессах пиролиза служат газообразные и жидкие углеводороды:
газы, легкие бензиновые фракции, газоконденсаты, рафинаты каталитического
риформинга и реже керосино-газойлевые фракции.
От сырья и технологического режима пиролиза зависят выходы продуктов.
Наибольший выход этилена получается при пиролизе этана. По мере утяжеления
сырья выход этилена снижается и увеличивается выход жидких продуктов - смолы
пиролиза.
Из технологических параметров на выход низших олефинов наибольшее влияние
оказывают температура, время контакта и парциальное давление углеводородов в
реакционной зоне. Причем для каждого индивидуального олефина имеется свой
оптимальный режим пиролиза, обеспечивающий максимум его выхода.
Увеличению выхода олефинов способствует также снижение парциального
давления сырья в реакционной зоне путем разбавления его водяным паром или
водородом.
Пиролиз углеводородного сырья с максимальным выходом целевого олефина
следует проводить при технически возможных высоких температурах и оптимальном
времени контакта.
На современных установках применяют мощные пиролизные печи
высокотемпературного нагрева (до 870 - 920 °С) с временем пребывания сырья в
реакционных змеевиках в пределах 0,01 - 0,1 с.
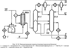
Следующий по значимости аппарат пиролиза - закалочный аппарат,
предназначенный для осуществления быстрого охлаждения продуктов процесса. На
современных пиролизных установках применяют закалочно-испарительные аппараты
(ЗИА), представляющие собой газотрубные котлы-утилизаторы. В результате высокой
линейной скорости продуктов пиролиза, движущихся по трубам, предотвращается
оседание твердых частиц на их стенках, увеличивается коэффициент теплопередачи
и достигается быстрое охлаждение до 400 °С. За счет этого тепла из водяного конденсата,
поступающего в ЗИА, генерируется пар высокого давления (11 - 13 МПа), который
отделяется в паросборнике, перегревается до 450 °С в одной из секций пиролизной
печи и затем используется для привода турбокомпрессоров [1].
Рисунок 1.4.1 - Принципиальная схема установки пиролиза: I - сырье; II - конденсат; III -
газы пиролиза; IV - бензиновая
фракция (н.к. - 150 °С); V -
легкая смола; VI - тяжелая смола; VII - водяной пар
Для составления материального баланса трубчатого реактора пиролиза были
использованы данные о компонентном составе и мольном содержании компонентов
сырья (табл. 2.1.1) и пирогаза (табл. 2.1.3). Производительность печи по сырью
составляет 10000 кг/ч.
Плотность каждого компонента смеси при нормальных условиях рассчитывается
по формуле:
где Таблица 2.1.1 - Данные о составе сырья
Компонент сырья
Мол. масса Плотность Мольная доля Н2
2
0,089
0,008
СН4
16
0,714
0,062
С2Н4
28
1,250
0,05
С2Н6
30
1,339
0,17
С3Н6
42
1,875
0,114
С3Н8
44
1,964
0,587
С4H10
58
2,589
0,009
Cумма
-
-
1
Массовая доля определяется как:
Массовое и мольное содержание компонентов сырья рассчитывается следующим
образом:
Таблица 2.1.2 - Расчет молекулярной массы и плотности сырья
Таблица 2.1.3 - Данные о составе продуктов пиролиза
Компонент пирогаза
Молекулярная масса Плотность Мольная доля Н2
2
0,089
0,138
СН4
16
0,714
0,331
С2Н2
26
1,161
0,003
С2Н4
28
1,250
0,263
С2Н6
30
1,339
0,107
С3Н6
42
1,875
0,109
С3Н8
44
1,964
0,021
С4Н10
58
2,589
0,003
С5Н12
72
3,214
0,025
Сумма
-
-
1
Таблица 2.1.4 - Расчет молекулярной массы и плотности пирогаза
Компонент пирогаза
Массовая доля Количество
Продуктов пиролиза,
кмоль/кмоль сырья
Н2
0,276
0,0116
0,0123
116
58,23
0,2250
СН4
5,296
0,2235
0,2364
2235
139,66
0,5397
С2Н2
0,078
0,0033
0,0035
33
1,27
0,0049
С2Н4
7,364
0,3107
0,3288
3107
110,97
0,4289
С2Н6
3,21
0,1354
0,1433
1354
45,15
0,1745
С3Н6
4,578
0,1932
0,2044
1932
45,99
0,1777
С3Н8
0,924
0,0390
0,0413
390
8,86
0,0342
С4Н10
0,174
0,0073
0,0078
73
1,27
0,0049
С5Н12
1,8
0,0759
0,0804
759
10,55
0,0408
Сумма
23,7
1
1,0580
10000
421,94
1,6306
Таким образом, молекулярная масса пирогаза Пиролиз сырья осуществляется с добавкой водяного пара (20 масс. % или
2000 кг/ч). В табл. 2.1.5 приведен состав парогазовой смеси на входе в змеевик
печи и на выходе ее из змеевика.
Таблица 2.1.5 - Состав парогазовой смеси
На входе в печь
Компонент
Количество
Доли
кг/ч
кмоль/ч
Массовая
Мольная
Н2
4
2,07
0,0003
0,0056
СН4
257
16,04
0,0214
0,0434
С2Н4
362
12,94
0,0302
0,0350
С2Н6
1320
43,99
0,1100
0,1189
С3Н6
1239
29,50
0,1032
0,0798
С3Н8
6683
151,89
0,5569
0,4107
С4H10
135
2,33
0,0113
0,0063
Н2О
2000
111,11
0,1667
0,3004
Сумма
12000
369,87
1,0000
1,0000
Таблица
На выходе из печи
Компонент
Количество
Доли
кг/ч
кмоль/ч
Массовая
Мольная
Н2
116
58,23
0,0097
0,1092
СН4
2235
139,66
0,1862
0,2620
С2Н2
33
1,27
0,0027
0,0024
С2Н4
3107
110,97
0,2589
0,2082
С2Н6
1354
45,15
0,1129
0,0847
С3Н6
1932
45,99
0,1610
0,0863
С3Н8
390
8,86
0,0325
0,0166
С4Н10
73
1,27
0,0061
0,0024
С5Н12
759
10,55
0,0633
0,0198
Н2О
2000
111,11
0,1667 Сумма
12000
533,05
1
1
Молекулярная масса парогазовой смеси на входе в змеевик печи:
Молекулярная масса парогазовой смеси на выходе из змеевика печи:
Тепловой баланс для трубчатого реактора пиролиза пропановой фракции
составляется на основании данных, рассчитанных в главе «Аппаратурный расчет».
Уравнение теплового баланса для трубчатой печи выглядит так:
Qприх=Qрасх
Расчет баланса ведется на 1ч.
где
Qнр - низшая теплота сгорания топлива кДж/кг.
где qпол, qух, qпот - соответственно полезное тепло печи; тепло,
увлекаемое уходящими дымовыми газами; тепло, теряемое в окружающую среду,
кВт/ч.
qпол = Qнр - qух - qпот
qпот=13335·0,07
= 933,5 кВт/ч.
qух = 2304
кВт/ч.
qпол =
10097кВт/ч.
Тепловой баланс:
Qприх = 13335 кВт/ч.
Qрасх = 13334,7 кВт/ч.
В качестве топлива для печи пиролиза используется смесь газов, состав
которой представлен в табл. 3.1.1.1. Плотность топлива 0,73 кг/м3.
Таблица 3.1.1.1 - Состав топливного газа
Низшая теплота сгорания топлива определяется по формуле:
где СН4, С2Н6 и т. д. - содержание
соответствующих компонентов в топливе, об. %.
Далее определяется элементарный состав топлива в массовых процентах.
Содержание углерода в каждом компоненте находим по соотношению:
где Массовое содержание углерода в топливе:
Массовое содержание водорода в топливе:
где Таблица 3.1.1.2 - Содержание углерода и водорода в топливном газе
Компонент
Содержание углерода С, %
Содержание водорода Н, %
СН4
71,90
23,97
С2Н6
0,44
0,11
С3Н8
0,44
0,10
н-С4Н10
0,29
0,06
СО2
0,22
-
Сумма
73,29
24,24
Содержание кислорода в топливе:
где Р - число атомов кислорода в молекуле СО2.
Содержание азота в топливе:
Теоретическое количество воздуха , необходимого для сжигания 1 кг газа
определяется по формуле:
Коэффициент избытка воздуха принимается α = 1,06. Тогда действительное количество
воздуха для сжигания 1 кг топлива:
Плотность воздуха при нормальных условиях ρв = 1,293 кг/м3, тогда
Количество продуктов сгорания , образующихся при сжигании 1 кг топлива
определяется следующим образом:
Объемное количество продуктов сгорания на 1 кг топлива при нормальных
условиях:
Таблица 3.1.1.3 - Количество продуктов сгорания топлива
Компонент
Молекулярная масса Теплоемкость, кДж/(кг·К)
Количество продуктов
сгорания
CO2
44
0,92
2,69
1,37
H2O
18
1,90
2,18
2,71
O2
32
0,94
0,23
0,16
N2
28
1,04
13,86
11,09
Сумма
-
-
18,97
15,34
Плотность продуктов сгорания при 273 К и 0,1·106 Па:
Энтальпия продуктов сгорания на 1 кг топлива при различных температурах
определяется по уравнению:
где Т - температура продуктов сгорания, К; Таблица 3.1.1.4 - Результаты расчета энтальпии продуктов сгорания топлива
Т, К
273
300
500
700
1100
1500
1900
0
573
4814
9056
17539
26023
34506
По данным табл. 3.1.1.4 строится график энтальпия - температура.
Рисунок 3.1.1.1 - График зависимости энтальпии продуктов сгорания от
температуры
Конечная температура реакции (температура пирогаза на выходе из змеевика
печи) рассчитывается по формуле:
где Конечная температура процесса связана с оптимальным временем контакта ( При пиролизе пропилена, пропана и бутана без выделения углерода конечная
температура реакции связана с оптимальным временем контакта следующим образом:
Пиролизу подвергается смесь углеводородов, поэтому общее время пребывания
газовой смеси в зоне реакции для всех углеводородов будет одинаковым. Сырье
обогащено пропаном, поэтому примем величину общего времени пребывания в
змеевике 0,7 с [3]. Кратность превышения общего времени над оптимальным
временем контакта примем 2,1 [2], тогда:
Используя величину Таблица 3.1.2.1 - Содержание основных компонентов сырья в расчете только
на их смесь
Компонент
Количество Массовая доля С2Н6
1320
0,1407
С3Н6
1239
0,1321
С3Н8
6683
0,7127
С4Н10
135
0,0144
Сумма
9377
1
Таким образом, с помощью формулы 3.1.2.1 рассчитывается конечная
температура пирогаза на выходе из змеевика печи (Т = 1062 К).
Полезное тепло печи:
где Температура сырья перед реакционным змеевиком должна быть ниже той, при
которой начинается реакция пиролиза. Некаталитическое превращение пропилена в
этилен начинается при 883 К [3]; пропана в этилен - при 923 К [2]. Температура
сырья на входе в реакционный змеевик (Тн) принимается равной 873 К.
По заданию, температура парогазовой смеси на входе в печь Т1 = 308
К. Количество тепла, затрачиваемого на нагревание сырья и водяного пара от Т1
до Тн определяется как:
где Таблица 3.1.3.1 - Энтальпии парогазовой смеси при до пиролиза
Компонент
Т1 = 308 К
Тн = 873 К
Н2
502
0,0003
0,17
8750
0,0003
3,02
СН4
80,4
0,0214
1,72
1897
0,0214
40,58
С2Н4
57,4
0,0302
1,73
1452
0,0302
43,83
С2Н6
64,5
0,1100
7,09
1690
0,1100
185,85
С3Н6
57
0,1032
5,88
1451
0,1032
149,81
С3Н8
62,8
0,5569
34,98
1658
0,5569
923,40
С4Н10
62
0,0113
0,70
1647
0,0113
18,54
Н2О
65,8
0,1667
10,97
1206
0,1667
201,00
Сумма
-
1
63,24
-
1
1566,03
Из результатов расчета энтальпий следует, что По формуле 3.1.3.2 Таблица 3.1.3.2 - Энтальпия пирогаза
Компонент
Т = 1062 К
Н2
0,010
11650
113,06
СН4
0,186
2743
510,79
С2Н2
0,003
1764
4,84
С2Н4
0,259
2080
538,58
С2Н6
0,113
2453
276,87
С3Н6
0,161
2092
336,75
С3Н8
0,032
2400
77,97
С4Н10
0,006
2370
14,50
С5Н12
0,063
2353
148,92
Н2О
0,167
1640
273,33
Сумма
1
-
2295,62
Расход тепла на реакцию и нагревание в реакционном змеевике (количество
радиантного тепла) определяется как:
где Расход тепла на реакцию пиролиза:
где Тепловой эффект реакции:
где Теплоты образования сырья и пирогаза при конечной температуре реакции
приведены в табл. 3.1.3.3.
Таблица 3.1.3.3 - Теплоты образования сырья и пирогаза
Компонент
Cырье
Пирогаз
Н2
-
0,008
-
0,225
-
СН4
-90280
0,062
-5597
0,540
-48727
С2Н2
223000
-
-
0,005
1091
С2Н4
38080
0,05
1904
0,429
16331
С2Н6
-106500
0,17
-18105
0,174
-18582
С3Н6
-428 -49
0,178
-76
С3Н8
-130000
0,587
-76310
0,034
-4452
С4Н10
-156600
0,009
-1409
0,005
-766
С5Н12
-181300
-
-
0,041
-7391
Сумма
-
1
-99567
1,631
-62572
Таким образом, Н1 = -99567 кДж/кмоль; Н2 = -62572
кДж/кмоль. Теплота реакции Расход тепла на реакцию пиролиза:
Количество тепла, затрачиваемое на нагревание парогазовой смеси от 873 К
до1062 К:
По формуле 3.1.3.3 Потери тепла печью в окружающую среду ( Температура уходящих из печи дымовых газов КПД печи:
Расход топливного газа:
Энтальпия уходящих дымовых газов из радиантной камеры:
По рис. 3.1.1.1 энтальпии уходящих их радиантной камеры газов
соответствует Тп = 1589 К.
Поверхность нагрева экранных труб змеевика определяется по формуле:
где Считая, что Внешний диаметр труб принимается Для проектируемой печи принято два параллельных потока сырья (m = 2). Рабочая длина труб в одном
потоке Рабочая длина одной трубы ( При полной длине трубы По существующим нормам принимаем шаг размещения экранных труб
S =
0,25м.
Расстояние между вертикальными рядами радиантных труб:
Расстояние от излучающих стен до трубного экрана принимается ат
= 1 м. В каждом вертикальном ряду экрана разместим по 13 труб.
где Ширина радиантной камеры печи:
Объем камеры радиации:
Теплонапряжение топочного объема печи:
Для обеспечения равномерного обогрева каждой трубы экрана по окружности и
по длине для проектируемой печи газовые горелки принимаются
теплопроизводительностью qг = 69,78 кВт.
Количество горелок:
Средняя температура дымовых газов в конвекционной камере при температуре
над перевальной стенкой Тп = 1589 К и температуре дымовых газов на
выходе из печи Тух = 673 К соответствует значению Средняя температура между дымовыми газами и нагреваемым продуктом Расстояние между осями труб принято S1 = 0,2 м, числом труб в одном горизонтальном ряду z = 5, диаметр труб d = 0,08. Ширина камеры конвекции:
Высота конвективной секции принимается конструктивно из чертежа.
Живое сечение камеры конвекции:
Секундный расход дымовых газов рассчитываем по формуле:
Массовую скорость движения дымовых газов:
Коэффициент теплоотдачи конвекцией от дымовых газов к трубам (для
шахматного расположения трубных пучков):
Значение коэффициента E = 24
определется по [7] в зависимости от средней температуры дымовых газов Коэффициент теплоотдачи излучения трехатомных газов:
Коэффициент теплоотдачи:
Необходимая поверхность конвекционных труб:
Число труб в конвекционной камере:
Примем число труб равным 82.
Время пребывания смеси в реакционном змеевике:
где Массовая скорость парогазовой смеси в реакционном змеевике:
Перепад давления в змеевике принят Плотность парогазовой смеси в начале реакционного змеевика:
при нормальных условиях:
где при Тн = 873 К и Рн = 500 кПа:
Плотность парогазовой смеси в конце реакционного змеевика:
при нормальных условиях:
где при Т = 1062 К и Рк = 150 кПа:
Средняя плотность смеси в реакционном змеевике:
Линейная скорость парогазовой смеси:
в начале реакционного змеевика:
в конце реакционного змеевика:
Средняя скорость Потери напора в реакционном змеевике:
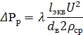
где Для определения величины где Для расчета Средняя молекулярная масса смеси углеводородных газов определяется по
формуле:
Средняя молекулярная масса углеводородных газов соответствует М этана.
Кинематическая вязкость газов при 968 К из литературных данных [4] принимается
как вязкость этана ( Кинематическая вязкость водяного пара при 968 К [4] составляет Мольная доля водяного пара в парогазовой смеси Кинематическая вязкость парогазовой смеси в реакционном змеевике:
Критерий Рейнольдса по формуле 4.1.1.12 По значению критерия Рейнольдса определяется коэффициент гидравлического
сопротивления Эквивалентная длина труб одного потока радиантного змеевика
рассчитывается по формуле:
где По формуле 4.1.1.11 Сопротивления при движении дымовых газов в печи:
где ΔРр - величина разряжения в камере
радиации, кПа; ΔРк - потери напора в камере конвекции,
кПа; ΔРб - потери напора в борове, кПа; ΔРтр - потери напора в дымовой трубе, кПа.
ΔРр = 19,62 Па.
Потеря напора в камере конвекции:
где: Eu - критерий Эйлера, ρг - плотность дымовых газов при средней температуре газов
в конвекционной камере; ω - линейная скорость дымовых газов в наиболее узком
сечении пучка; b - коэффициент, зависящий от угла атаки (угол между осью трубы
и направлением потока газов, в нашем случае равен 90°), - принимается равным
единице; z = 5 - число рядов труб в пучке в
направлении потока газов; Re - критерий Рейнольдса.
Наименьшая площадь поперечного сечения для прохода дымовых газов в
конвективной секции:
где:
nкон -
число труб в конвективной секции, S - межосевой расстояние между
трубами, dн -
наружный диаметр конвективных труб, lтр - рабочая длинна труб. fг = 28,238 м2.
Линейная
скорость дымовых газов в самом узком сечении пучка:
Средняя температура в камере конвекции 1131 К, тогда ω
= 0,0818 м/с
Динамическая вязкость дымовых газов μг = 3,425·10-5 Па·с.
Плотность дымовых газов:
Критерий
Рейнольдса:
Потеря
напора в камере конвекции ΔPк = 0,0238 Па
Потеря
напора в дымовой трубе:
где
ΔРтр' - потеря напора при входе газов в
трубу и выходе из нее, ΔРтр'' - потеря напора на трение при
движении газов в трубе.
Предварительно
рассчитаем диаметр дымовой трубы
где uтр
- массовая скорость газов на входе в дымовую трубу.
uтр = ωтр·ρвх
где ωтр - линейная скорость газов на входе в дымовую трубу, которая принята ωтр = 5 м/с; ρвх - плотность газа при их температуре
входа в дымовую трубу.
ρвх
= ρ0·273/Тух = 0,789г/м3
Тогда uтр = 3,945 кг/м2·с
Диаметр трубы по формуле 4.1.2.10 D = 0,7 м
Потеря напора при входе газов в трубу и выходе из нее:
где ξвх = 1,5 коэффициент местного сопротивления при повороте на 90°, в момент входа
в трубу, ξвых = 1 коэффициент местного сопротивления при выходе из трубы, ρср - плотность дымовых газов при
средней температуре их в трубе.
Тср = (Твх + Твых)/2 = 603,5 К
ρср = 0,853 кг/м3
Массовая скорость газов при их средней температуре в трубе:
Потеря
напора на трение при движении газов в трубе:
где
λ
= 0,035 - коэффициент гидравлического
сопротивления, Н - высота дымовой трубы.
Высота
трубы принимается Н = 3,75 м, тогда ΔРтр'' = 13,71 Па; ΔРтр = 35,139 Па.
Потери
напора в борове:
ΔРб' - потеря напора при входе и выходе из борова, а также
при проходе наполовину закрытого шибера, ΔРб'' - потеря напора на прямолинейном участке борова.
Предварительно
рассчитаем размеры борова. Площадь поперечного сечения борова:
Линейная
скорость газов в борове:
uб = ωб·ρТух
ρТух
= ρ0·273/Тух = 0,832 г/м3
Линейная скорость газа в борове ωб = 5 м/с, тогда uб = 4,161 кг/м2·с.
Площадь поперечного сечения борова: Sб = 1,13 м2Были
заданы: ширина борова h =
1,2 м; высота борова hб = 1,74 м.
Потеря напора при входе и выходе из борова и при проходе наполовину
закрытого шибера:
где
ξшиб = 4 -
коэффициент местного сопротивления при прохождении наполовину закрытого шибера,
ξповорот =
1,2 - коэффициент местного сопротивления при повороте борова на 90° (2
поворота), ξвхода1 =
0,47 - коэффициент местного сопротивления при входе газов в боров (вход в
отверстие с острыми кромками), ξвхода2 = 0,0675 (движение по постепенно сужающемуся каналу.
ΔРб' = 72,185 Па
Потеря
напора на прямолинейном участке:
где
ν
= 4,928·10-5 м2/с;
dэ - эквивалентный диаметр борова = 0,609 м, тогда λ = 0,129.
Потеря
напора на прямолинейном участке ΔРб'' = 5,297 Па. Потери напора в борове ΔРб = 77,482 Па.
Общая
потеря напора дымовых газов ΔРобщ
= 132,265 Па
Проверим
высоту дымовой трубы:
Результат
вычислений можно считать окончательным.
Трубчатый змеевик изготовлен из бесшовных цельнонатянутых труб,
соединенных приварными U-образными
трубками. Установлены центробежнолитые трубы из жаропрочной стали марки Х18Н8Т
наружным диаметром 0,14 м. Соединены трубы полукалачами из стали 25Л.
Гарнитура печей изготовляется из серого чугуна Сч. 20. Ее элементы
предназначаются: предохранительные окна - для ослабления силы взрыва при
аварии, а также для того, чтобы обслуживающий персонал мог попасть в топочную
камеру на случай ревизии и ремонта; смотровые окна - для наблюдения за работой
горелок и за состоянием трубчатого змеевика и футеровки; шибер - для
регулирования тяги в печи.
Дымовая труба изготавливается из серого чугуна Сч. 20. Она необходима для
удаления топочных газов естественной тягой.
Каркас является несущим узлом, на который опирается вся масса печи -
масса футеровки, трубчатых змеевиков, гарнитур, горелок, сырья, самого каркаса.
Огнеупорная футеровка предназначена для защиты каркаса от воздействия
высоких температур продуктов сгорания топлива и эффективного использования
тепла в камерах печи. Футеровка и тепловая изоляция снижают потери тепла в
окружающую среду. Использован футеровочный материал класса В-1580 °С. Толщина
футеровки была рассчитана следующим образом:
где Футеровка выполнена из шамотного легковесного кирпича. Толщина
футеровочной стенки 0,175 м.
Экономичность работы трубчатых печей во многом зависит от правильной
организации управления тепловым режимом. Поддержание заданных рабочих
параметров эксплуатации печи с помощью системы автоматического контроля и
регулирования позволяет получать целевые продукты с максимальными выходами,
повышать их качество, рационально расходовать топливо, пар, сжатый воздух,
электроэнергию, сохранять материальную часть печи, увеличивать межремонтные
пробеги установок.
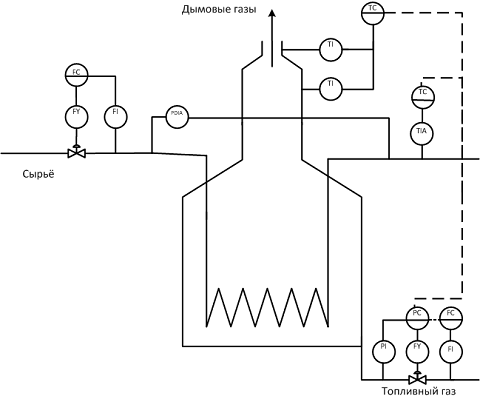
Схемами контроля и регулирования режима работы трубчатых печей
предусматривается поддержание определенных параметров в заданных пределах в
соответствии с требованиями технологического процесса и безопасной эксплуатации
производства. При разработке таких схем обычно учитывают необходимость:
поддержания постоянства заданного расхода сырья, пропускаемого через
змеевик, для чего на сырьевом трубопроводе размещают регулятор расхода
(одноконтурная схема с использованием приборов АУС);
контроля и регулирования температуры нагреваемого сырья на выходе из
печи;
поддержания постоянства заданного давления топлива перед комбинированными
форсунками, для поддержания постоянного давления, контролируемого манометрами,
исполнительные механизмы регуляторов устанавливают на линии сброса избытка
топлива из напорной линии к форсункам в приемную линию к насосам;
контроля температуры топочных газов в топке, над перевалом, на выходе из
камеры конвекции и далее по газовому тракту; для этого применяют термопары
группы ХА с выводами на самопишущий прибор ЭПП-09;
периодического контроля тяги и отбора проб для анализа продуктов сгорания
топлива; производят с помощью переносных приборов теплотехнического контроля.
В трубчатой печи обычно осуществляется непрерывный производственный
процесс, требующий подачи постоянного количества тепла при постоянном
количестве продукта. В большинство случаев количество и теплосодержание
продукта, выходящего из печи, влияет на ход всего последующего
производственного процесса, поэтому эти величины необходимо поддерживать в
постоянных значениях.
Схема автоматизации и КИП трубчатого реактора пиролиза представлены в
приложении А.
Заключение
Результатом курсового проектирования является технологический,
гидравлический, механический расчет трубчатого реактора пиролиза пропановой
фракции, а также графическое представление реакторной печи на формате А1.
Основными показателями печи являются: КПД печи
η = 0,76; расход
топливного газа В = 978,8 кг/ч; перепад давления по всей длине змеевика ΔРр = 361 кПа.
1. Ахметов
С. А. Технология переработки нефти, газа и твердых горючих ископаемых. - СПб.:
Недра, 2009. - 832 с.
. Клименко
А. П. Получение этилена из нефти и газа. - М.: Гостоптехиздат, 1962. - 236 с.
. Масальский
К. Е. Пиролизные установки. - М.: Химия, 1968. - 143 с.
. Дубровкин
Н. Ф. Справочник по углеводородным топливам и их продуктам сгораня. - М.:
Госэнергоиздат, 1962. - 228 с.
. Флореа
О. Расчеты по процессам и аппаратам химической технологии. - М.: Химия, 1971. -
448 с.
. Бахшиян
Ц. А. Трубчатые печи с излучающими стенами топки. - М.: ГОСИНТИ, 1960. - 192 с.
. Сарданашвили
А. Г. Примеры и задачи по технологии переработки нефти и газа. - М.: Химия,
1980. - 256 с.
. Кузнецов
А. А. Расчеты процессов и аппаратов нефтеперерабатывающей промышленности. - Л.:
Химия, 1874. - 344 с.
Таблица А.1
Обоз. сигнала
Наименование прибора
Название модели
Характеристики прибора
FY (сырье)
Расходомер (вихревой)
Rosemount 8800D
Избыточное давление
измеряемой среды до 0,689 МПа; диапазон расхода 433 - 13956 м3/ч
FY (топливо)
Расходомер (вихревой)
Rosemount 8800D
Диапазон расхода 195 -
2253 м3/ч
PI (топливо)
Датчик абсолютного давления
(емкостной)
Метран-100 (1040)
Предел измеряемых давлений
250 кПа
PDI (топливо)
Датчик разности давлений
(емкостной)
Метран-100 (1450)
Предел измеряемых величин
630 кПа
TIA (продукт)
Термопреобразователь сопротивления
ТХА9816
Хромель-алюминиевый;
Диапазон измерений от -40 до 900 °С
TI (дымовые газы)
Термопреобразователь
сопротивления
Метран-206 (100П)
Платиновый; Диапазон
измерений от -50 до 500 °С
TI (перевал)
Термопреобразователь
сопротивления
ТПР.2. 821.005
Платино-родиевый; Диапазон
измерений от 600 до 1600 °С
1.
1.3
Показатели работы печей
1.4 Основы
технологии процесса пиролиза
2.
Технология процесса
.1
Материальный баланс
- молекулярная масса компонента.
, кг/кмоль
, кг/м3
, кг/кмоль
, кг/м3
, кг/кмоль
, кг/м3
, кг/ч
, кмоль/ч
= 38,646 кг/кмоль; плотность
пирогаза
= 1,73 кг/м3.
32,4 кг/кмоль.
22,5 кг/кмоль.
2.2
Тепловой баланс
3.
Аппаратурный расчет
.1
Технологический расчет
.1.1
Расчет процесса горения топливного газа
(3.1.1.1);
35804 кДж/м3.
49046 кДж/кг.
- число атомов углерода в данном компоненте топлива.
- число атомов водорода в данном компоненте топлива.
0,59 %
1,88 %
16,96 кг/кг
17,98 кг/кг
13,91 м3/кг
, кг/кмоль
, кг/кг
, м3/кг
1,24 кг/м3
(3.1.1.16);
,
и т. д. - средние массовые
теплоемкости продуктов сгорания, кДж/(кг·К).
, кДж/кг
3.1.2
Расчет конечной температуры реакции пиролиза
,
,
- конечная температура реакции пиролиза индивидуальных
углеводородов С2Н6, С3Н6, С3Н8,
С4Н10, К;
,
,
,
- содержание С2Н6, С3Н6,
С3Н8, С4Н10 в сырье в расчете на их
смесь.
, с) формулами Шмидта [2]. При
пиролизе этана без выделения углерода существует зависимость:
0,33 с
в формулах Шмидта, получим Т2 = 1116 К; Т3
= 1053 К.
, кг/ч
3.1.3
Тепловая нагрузка печи, КПД печи и расход топлива
- расход тепла на нагревание смеси газов в реакционном
змеевике, кВт;
- расход тепла на реакцию, кВт.
- количество сырья, кг/ч;
- количество водяного пара кг/ч;
- энтальпии парогазовой смеси при
соответствующих температурах. Энтальпия парогазовой смеси определяется по
правилу аддитивности.
, кДж/кг
, масс. доля
, кДж/кг
, кДж/кг
, масс. доля
, кДж/кг
= 1566,03 кДж/кг и
= 63,24 кДж/кг.
= 18,03·106 кДж/ч = 5008 кВт.
, масс. доля
, кДж/кг
, кДж/кг
- расход тепла на реакцию пиролиза, кВт;
- расход тепла на нагревание
парогазовой смеси от 873 К до 1062 К, кВт.
- тепловой эффект реакции, кДж/кмоль сырья;
- часовое количество молей сырья.
- теплоты образования пирогаза и сырья соответственно,
кДж/кмоль.
, кДж/кмоль
, кДж/кмоль
, кмоль/кмоль
, кДж/кмоль
= 36994 кДж/кмоль.
2658 кВт
2431 кВт
= 5089 кВт, тогда полезное тепло печи
10097 кВт.
) принимаются равными 7 % от низшей
теплоты сгорания топлива (5 % в камере радиации, 2 % в камере конвекции).
= 673 К, тогда по графику энтальпия
- температура определяется энтальпия дымовых газов
= 8475, кДж/кг.
0,76
978,7 кг/ч
3.1.4
Расчет радиантной камеры
27876 кДж/кг
- средняя теплонапряженность поверхности нагрева экранных
труб, кВт/м2.
= 37, 2 [3],
= 133 м2.
м; толщина стенок 0,008 м [3]. Общая
рабочая длина труб:
311 м
156 м.
) была принята 6 м. Число труб в
одном потоке змеевика:
26
6,5 м общая длина труб в одном потоке:
169 м
0,215 м
- число труб в одном вертикальном ряду;
0,25 м - расстояние от нижней и
верхней труб вертикального ряда соответственно до пола и потолка печи.
3,625 м
2,215 м
48,18 м3
275,7 кВт/м3
14
3.1.5
Расчет конвективной камеры
= 1131 К.
= 661,3 К.
2,215
12,45 м2
= 5,17 кг/с
0,425 кг/(м2·с)
12, 361 Вт/(м2·К)
= 1131 К.
24,58 Вт/(м2·К)
47,3 кДж/(м2·К)
96, 59 м2
81,78
4.
Гидравлический расчет
.1 Потери
напора в радиантном змеевике печи
(4.1.1.1);
- средняя линейная скорость газа в змеевике, м/с.
138 кг/(м2·с)
350 кПа [2]. Давление на выходе из
реактора Рк = 150 кПа, тогда давление в начале змеевика:
= 500 кПа
= 1,45 кг/м3
- средняя молекулярная масса парогазовой смеси на входе в
змеевик (32,4 кг/кмоль).
2,24 кг/м3
= 1 кг/м3
- средняя молекулярная масса парогазовой смеси на выходе из
реакционного змеевика (25,5 кг/кмоль).
0,39 кг/м3
= 1,32 кг/м3
= 61,7 м/с
= 349,9 м/с
= 205,8 м/с, тогда
= 0,73 с. Полученная величина
времени пребывания смеси в реакционном змеевике близка к принятому значению
0,7, поэтому пересчет не проводится.
- коэффициент гидравлического сопротивления;
- эквивалентная длина труб одного
потока радиантного змеевика, м.
рассчитывается значение критерия Рейнольдса:
- кинетическая вязкость парогазовой смеси в реакционном
змеевике, м2/с.
необходимо определить среднюю температуру парогазовой смеси
в реакционном змеевике:
968 К
31,2
= 71·10-6 м2/с).
= 120,9·10-6 м2/с.
= 0,2544.
7,9·10-6 м2/с
365783.
= 0,025 [5].
- коэффициент, зависящий от типа соединения труб, который
принимается равным 50 [6]. Следовательно,
310 м.
= 361 кПа. Полученная величина мало отличается от ранее
принятой , поэтому повторного расчета не производится.
4.1.1
Расчет потерь напора в газовом тракте
= 0,695
кг/м3
= 189,23
= 1,47
кг/с
= 3,824
кг/м2·с
= 3,28 м
4.2
Механический расчет
- коэффициент теплопередачи;
- площадь радиантной камеры;
- разность температур внутренней
стенки радиантной камеры и окружающей среды;
- толщина футеровки.
5. Система
автоматизации трубчатой печи пиролиза
Список
литературы
Приложение
А

Схема
автоматизации трубчатого реактора пиролиза