Материал: Проблемы привлечения иностранных инвестиций в экономику России

Внимание! Если размещение файла нарушает Ваши авторские права, то обязательно сообщите нам

Одним из важнейших условий обеспечения экономического роста служит сбалансированная инвестиционная политика государства, стратегически нацеленная на поддержание экономической и политической стабильности в долгосрочной перспективе.

Иностранным инвесторам Российская Федерация может предложить много: от квалифицированной рабочей силы до масштабного потребительского рынка и доступных природных ресурсов. Так же положительно влияет на настроения инвесторов вступление России во Всемирную торговую организацию.

Количество инвесторов, считающих, что Россия стала более тесно интегрированной в мировую экономику, выросло по сравнению с 2007 годом с 2 % до 36 %. Такой резкий подъем настроения стал возможен благодаря вступлению России во Всемирную торговую организацию. [20, С. 10]

Состояние инвестиционной сферы экономики страны свидетельствует о том, что инвестиционная деятельность сегодня все еще является недостаточно привлекательной для потенциальных инвесторов. В основе этого лежит ряд причин, ухудшающих инвестиционный климат России.

Долгое время в ряду этих причин относили:

¾      политическая нестабильность;

¾      неотработанные, противоречивые и постоянно меняющиеся законодательная база и налоговая система;

¾      высокий уровень инвестиционных и кредитных рисков;

¾      отсутствие механизмов защиты инвестиций, раздела продукции;

¾      несовершенная банковская система (недостаток на внутренних рынках денежных ресурсов, их краткосрочная структура, неотлаженность платежей и расчетов, отсутствие практического опыта и квалификации банковских работников для оценки и принятия инвестиционных и кредитных рисков и др.);

¾      низкий уровень инфраструктуры (аудит, страхование, консалтинг, оценка, правовая поддержка, телекоммуникации, транспортный и гостиничный сервис, обеспечение личной безопасности);

¾      несовершенство фондового рынка в отношении регистрации прав акционеров, депозитарного обслуживания, информационной прозрачности рынка, низкая ликвидность фондовых ценностей;

¾      плохой менеджмент на предприятиях;

¾      необязательность выполнения достигнутых договоренностей;

¾      усложненность процедур согласования инвестиционных проектов, несоответствие системы учета международной практике стандартов бухгалтерского и финансового учета и отчетности и др.

В 2012 году компанией Braun Research был проведен опрос мнений потенциальных инвесторов об инвестиционном климате России. Таким образом, было выявлено, что некоторые из главных препятствий на пути создания благоприятного инвестиционного климата в России инвесторы связывают с деятельностью государственных учреждений. К факторам, оказывающим наиболее негативное влияние на инвестиционный климат, относят бюрократию и волокиту, коррупцию и недостаточно развитую инфраструктуру (Приложение 2).

Так же на состояние инвестиционного климата негативно влияют такие факторы как наличие значительного внешнего и внутреннего долга, высокие инвестиционные риски, низкий кредитный рейтинг.

Одновременно с этим часть объема прямых иностранных инвестиций в Россию, по сути, иностранными не являются: изрядная доля средств российских предприятий выводится в оффшоры, а затем вновь реинвестируется в экономику страны. Так, в последние несколько лет до 20 - 30 % всех инвестиций приходило с Кипра, из Люксембурга и с Виргинских островов, т.е. из оффшорных зон. [6, С. 202]

Наряду с проблемами привлечения иностранного капитала в экономику России есть и факторы, положительно влияющие на заинтересованность иностранных инвесторов.

Так обширный российский внутренний потребительский рынок, развитие потребительского кредитования, рост уровня сбережений и личных доходов, а также позиция России в верхней трети списка стран с самым высоким ВВП на душу населения являются убедительными аргументами в пользу новых инвестиций. [20, С. 8]

Вступление России во Всемирную торговую организацию оказало наиболее положительное влияние на инвестиционный климат в стране.

Завершение Россией переговоров о вступлении в ВТО дало инвесторам и экспертам больше уверенности и обеспечило им защиту.

2.2 Анализ динамики развития иностранных инвестиций в российской экономике


До кризисных событий августа 1998 года объем иностранных инвестиций в российской экономике в целом устойчиво рос, однако увеличение происходило за счет прочих инвестиций (Таблица 1)

Таблица 1 Иностранные инвестиции в экономику России в 1991-1998 гг.

Годы

Иностранные инвестиции, всего

Прямые

Портфельные

Прочие


объем, млрд. долл.

% к предыдущему году

объем, млрд. долл.

% к предыдущему году

объем, млрд. долл.

% к предыдущему году

объем, млрд. долл.

% к предыдущему году

1991

0,8

-

0,7

-

0,0

-

0,1

-

1992

0,8

100,0

0,7

100,0

0,0

0,1

100,0

1993

1,3

162,5

1,0

142,9

0,1

-

0,1

100,0

1994

1,0

76,9

0,5

50,0

0,0

-

0,5

500,0

1995

3,0

300,0

2,0

400,0

0,0

-

0,9

180,0

1996

9,0

300,0

2,4

120,0

0,1

-

6,5

722,2

1997

12,3

133,3

5,3

220,8

0,7

700,0

6,3

96,9

1998

11,8

95,9

3,4

64,2

0,2

28,6

8,2

130,2

1999

9,6

81,2

4,3

126,7

0,03

16,2

5,3

64,1


Доля прочих инвестиций в общем объеме иностранных инвестиций выросла с 31,8 % в 1995 г. до 59,6 % в 1997 г. доля прямых инвестиций за этот период сократилась с 67,1 до 37,1 %.

Под воздействием мирового финансового кризиса и ухудшения ситуации на российских финансовых рынках с ноября 1997 г. по март 1998 г. из России было выведено свыше двух третей иностранных инвестиций.

Следует отметить, что хотя в результате кризисных событий произошел массовый отток иностранных инвестиций, в большей степени это коснулось спекулятивных каналов, оседавших ранее на финансовом рынке. В тоже время иностранные инвесторы, рассматривающие российский рынок как емкий, перспективный, но достаточно рискованный, занимали осторожную позицию и в отношении прямых инвестиций. [4, С. 169-170]

Общий объем иностранных инвестиций в Российской Федерации за период 1998 - 2013 гг. увеличился. Однако значительный рост инвестиций в экономику России после 2000 года многие эксперты объясняют ростом мировых цен на товары сырьевой группы. [16]

Во время финансового кризиса 2008 г. за рубеж было вывезено более 130 млрд. долл. Всего за последние 4,5 года страну отток капитала составил около 350 млрд. долл. Это сопоставимо с размером годового федерального бюджета. Обращает на себя внимание факт увеличения оттока капитала в моменты ключевых политических событий.


Таблица 2 Объем иностранных инвестиций в РФ за период 2008-2013 гг., млн. долл. [9]

 

2007

2008

2009

2010

2011

2012

2013

Иностранные инвестиции

120941

103769

81927

114746

190643

154570

170180

прямые инвестиции

27797

27027

15906

13810

18415

18666

26118

портфельные инвестиции

4194

1415

882

1076

805

1816

1092

прочие инвестиции

88950

75327

65139

99860

171423

134088

142970


По сравнению с кризисным 2008 годом объем инвестиций в 2011 году увеличился на 69702 млн. долл. или на 57,6 % и является максимальным объемом иностранных инвестиций в российскую экономику за данный период.

Сравнение объема иностранного капитала по годам указывает на медленное сокращение объемов, а затем на медленный неравномерный рост. Так в 2008 году объем инвестиций уменьшился на 14 %, но с 2010 года наблюдается рост объема иностранного капитала (на 40 %).

Наименьший приток иностранного капитала наблюдается в 2009 году, а именно по сравнению с 2007 г. объем иностранных инвестиций уменьшился на 32,3 % или на 39014 млн. долл.

Основная часть иностранных инвестиций в нашу страну на протяжении всего периода 2007-2013 гг. - "прочие" (торговые и прочие кредиты).

Сегодня объемы иностранных инвестиций в России достигают $170,18 млрд.

В 2013 году в экономику России поступило $170,18 млрд. иностранных инвестиций, что на 10% больше, чем в 2012 году.

Прямые инвестиции в экономику страны поступили в размере $26,118 млрд., что на 40% больше, чем за 2012 год. Объем портфельных инвестиций в 2013 году снизился в 0,6 раза по сравнению с данными за 2012 год и составил $1,092 млрд. Прочие инвестиции в экономику РФ увеличились на 6,6% и составили $142,97 млрд.

Объем погашенных инвестиций, поступивших ранее в Россию из-за рубежа, составил $127,2 млрд., то есть на 6,9% меньше, чем в 2012г.

По состоянию на конец 2013г. накопленный иностранный капитал в экономике России составил $384,1 млрд., что на 6% больше по сравнению с 2012г. Наибольший удельный вес в накопленном иностранном капитале приходился на прочие инвестиции, осуществляемые на возвратной основе, - 65,7% ( на конец 2012г. - 60,1%), доля прямых инвестиций составила 32,8% (37,5%), портфельных - 1,5% (2,4%).

В 2013г. из России за рубеж направлено $201,6 млрд. инвестиций, на 34,5% больше, чем в 2012г. Объем инвестиций из России, накопленных за рубежом, на конец 2013г. составил $176,4 млрд.

Объем погашенных инвестиций, поступивших ранее в Россию из-за рубежа, составил $127,2 млрд., то есть на 6,9% меньше, чем в 2012г. [12]

Отток капитала в 2013 году составил $62,7 миллиарда. В первом квартале прошлого года из России вывели $28,2 миллиарда, во втором - $6,2 миллиарда, в третьем и четвертом $11,6 миллиарда и $16,6 миллиарда соответственно. В 2012 году отток капитала из страны составил $54,6 миллиарда. Так же, Центробанк РФ прогнозирует чистый вывоз частного капитала из России в 2014 году на уровне $20 миллиардов. [14] Динамика иностранных инвестиций приведена в Приложении 4.

Определим основную тенденцию изменения привлечения иностранных инвестиций на территории Российской Федерации путем аналитического выравнивания.

Суть аналитического выравнивания заключается в замене эмпирических (фактических) уровней yi расчетными (теоретическими) ŷ, которые рассчитаны по определенному уравнению, ŷ=f(t), принятому за математическую модель тренда и где теоретические уровни рассматриваются как функция времени t [11].

Выбор формы кривой y=f(t) может быть основан на анализе графического изображения уровней динамического ряда.

Таблица 3 Иностранные инвестиции в Российской Федерации за гг., руб. [9]

Показатель

2006

2007

2008

2009

2010

2011

2012

2013

Иностранные инвестиции

53651

120941

103769

114746

190643

154570

170180


Используя данные таблицы, построим график изменения объемов иностранных инвестиций за 2006-2013 года (График 1). Для объективной оценки происходящих процессов рассмотрен период 2006 и 2013 годов.

На Графике 1 наблюдается неравномерное увеличение количества иностранных инвестиций в экономику страны, что позволяет выбрать для аналитического выравнивания линейную функцию:

,

где ŷ - теоретическое или прогнозное значение уровня ряда динамики;

а - постоянные величины;t - показатели времени.

График 1


Далее следует вместо общей формулы линейной функции составить уравнение, в котором параметры  и  будут иметь конкретные числовые значения.

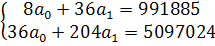
Для нахождения параметров  и , метод наименьших квадратов дает следующую систему нормальных уравнений [11]:

 

где n - число уровней ряда динамики,t - показатели времени.

Оформим необходимые промежуточные расчеты в виде таблицы.

Таблица 4 Расчетная таблица для определения параметров гиперболической функции динамики объема иностранного капитала в Российской Федерации за 2006-2013 гг.

Годы

Иностранные инвестиции, млн. долл

t

y

t 2

t•y

Выравненные значения ŷ

1

2

3

4

5

6

7

2006

55109

1

55109

1

55109

71190,6

2007

120941

2

120941

4

241882

86274,9

2008

103769

3

103769

9

311307

101359,2

2009

81927

4

81927

16

327708

116443,5

2010

114746

5

114746

25

573730

131527,8

2011

190643

6

190643

1143858

146612,1

2012

154570

7

154570

49

1081990

161696,4

2013

170180

8

170180

64

1361440

176780,7

Σ

991885

36

991885

204

5097024

991885,2


Подставляя результаты в систему получим:

 

 

Решив систему, имеем:

 

 

Тогда уравнение тренда примет вид:

 

Рассчитаем выравненные значения ŷ (графа 7):

 млн. долл

 млн. долл

Далее продолжаем расчеты аналогичным образом.

Сравнения фактических и выравненных значений позволяет убедиться, что различия между ними можно признать незначительными, следовательно, выбор линейной функции для рассмотренных данных является оправданным. Тогда можно использовать аналогичные расчеты для определения прогнозной величины объема иностранных инвестиций в 2014-2015 годах. Основой прогнозирования является предложение, что закономерность, действующая внутри анализируемого ряда динамики, выступающего в качестве базы прогнозирования, сохраняется и в дальнейшем [17].

 

 

Построим график выровненных и прогнозных значений привлечения иностранного капитала в экономику России (Приложение 3).

По графику видно, что объемы привлечения иностранного капитала в российскую экономику будут постепенно увеличиваться и в 2015 гг. достигнут размера 206949,3 млн. долл. Таким образом, тенденция роста привлечения иностранных инвестиций на территорию Российской Федерации продолжится и в следующие два года.

3. Перспективы и тенденции привлечения иностранных инвестиций в экономику

 

.1 Механизмы, инструменты и технологии заимствований на внешнем рынке капитала


Механизм привлечения иностранных инвестиций предполагает развитие, в первую очередь, законодательной базы страны, привлекающей данные инвестиции, т.к. без конкретно закрепленного в законодательства отношений между государством и иностранным инвестором существуют слишком высокие риски для инвестирования и нельзя быть полностью уверенным не то чтобы в получении прибыли, но даже в полном их возврате. Поэтому государство формирует специальную государственную политику для привлечения иностранных инвестиций, которая должна осуществляться последовательно и не отходя от плана. [10]

Экономика, как мировая, так и национальная, не может устойчиво развиваться, если для процессов развития не используют одну из трех точек опоры.

Первой точкой является потребительский рынок (рынок товаров). Без этого рынка спрос не существует, следовательно, нет средств и стимулов для развития экономики. Рынок капитала является второй точкой опоры. За неимением данного рынка рассчитывать на полноценные и долгосрочные инвестиции в отрасли, выпускающие продукцию, нельзя. Третьей точкой опоры выступает финансовая система, которая может надежно и быстро рефинансировать бизнес, который нуждается в средствах для роста капитализации, конкурентоспособности, доходности.

Экономика устроена таким образом, что наиболее дешевые долгосрочные инвестиции можно получить на рынках капитала стран наиболее развитых. В таких странах финансовая система представляет собой взаимосвязанную устойчивую конструкцию инвестиционных фондов прямого инвестирования, профессиональных управляющих, организаторов инвестиций, а также саморегулируемых международных менеджерских, консалтинговых, юридических операторов, которые специализируются в сфере международного инвестирования.

В Российской Федерации такие инфраструктурные решения финансовой системы отсутствуют, а это приводит к высоким рискам: займы насколько дороги, что даже с учетом издержек не могут конкурировать с внешними рынками капитала.

Инвестиционный блок стран ВТО объединяет мировые инвестиционные ресурсы через множество форм инвестиций в экономику и связывает финансовые рынки разных стран в общий рынок инвестиций, емкость которого составляет не менее 1-2 трлн. долл. США. Естественно, значительную часть этих ресурсов потребляют страны с полноценной рыночной экономикой, например, США, Великобритания, Германия и Швейцария. Однако имеется избыток, который может быть использован другими странами, заинтересованными в росте своей конкурентоспособности. На этом рынке многие страны, входящие в ВТО, приобретают возможность доступа к душевым и "длинным" деньгам, в которых остро нуждается конкурентоспособная экономика. Здесь важно понять те механизмы, которые связывают разные финансовые рынки стран ВТО в единую инвестиционную машину, обеспечивающую быстрое перетекание инвестиций с продвинутого рынка на развивающийся рынок, и вынуждают коммерческие банки постоянно повышать свое мастерство и отходить от вековых традиций депозитного бизнеса.

Специалисты выделяют инструменты и технологии заимствований на внешнем рынке капитала:

-       международные займы для синдикатов заемщиков;

-       облигации как инструмент займа на внешнем рынке капитала;

-       методы оценки рыночной стоимости собственности, переводимой в материальные активы предприятий и кредитных учреждений, в российской федерации на основе фондовых инструментов;

-       международная легализация залога;

-       переоформление долговых платежей в ценные бумаги;

-       переоформление систем электронной коммерции и бизнеса в залоги и активы, торгуемые на бирже;

-       предпродажная подготовка или переоформление активов, состоящих из систем электронной коммерции, в залоговое покрытие кредитных рисков;

-       банковские международные гарантии для инвесторов и кредиторов.

Международные займы для синдикатов заемщиков. Синдицированный кредит - кредит, предоставляемый заемщику, по меньшей мере, двумя кредиторами (синдикатом кредиторов), участвующими в данной сделке в определённых долях в рамках, как правило, единого кредитного соглашения.

Частные инвестиционные банки часто используют государственные гарантии для кредитования экспорта товаров за рубеж, так как это довольно выгодный бизнес. Также они стремится кредитовать заемщиков напрямую, переводя деньги на их счета. [3, С. 118]

Если заемщик является резидентом Российской Федерации или стран СНГ, несвязанность финансовых рынков данных стран и отсутствие полноценного рынка ценных бумаг отрицательно влияют на схему финансирования проектов и сильно ее усложняют.

Чем больше связаны финансовые рынки стран, чем активнее действуют крупные игроки (кадастровые банки), тем меньше процентные ставки таких кредитов. [3, С. 119]

Часто к синдицированным кредитам кадастровых банков прибегают и международные финансовые институты, которые работают на российском рынке.

Управление активами с целью повышения их рыночной стоимости. Прямые стратегические инвестиции в настоящее время не идут в полном объеме в реальную экономику. Причиной этого являются высокие риски реального сектора. Данные риски образуются как по причине низкой профессиональной неспособности банковского сектора Российской Федерации без надежных внешних гарантий осуществлять долгосрочные вложения в экономику, так и по объективным, независящим от предпринимателей причинам.

Частичного снижения рисков можно добиться использованием наработанных международной практикой механизмов управления масштабными рыночными рисками и издержками заемщиков и инвесторов.

Данные возможности дает современный рынок ценных бумаг. Уже давно данный рынок представляет собой международную кассу взаимопомощи для многих стран мира и доминирует в финансировании роста мирового ВВП.

Чем выше эффективность использования финансового ресурса, тем меньше стоимость финансовых инструментов, используемых для получения "длинных" денег.

Методы оценки рыночной стоимости собственности, переводимой в материальные активы предприятий и кредитных учреждений, в Российской Федерации на основе фондовых инструментов. Благодаря данным методам инвесторы через механизмы листинга ценных бумаг получают значительно более достоверную и полную информацию о собственности своих бизнес-партнеров. иностранный инвестиция экономика капитал

Доверительное управление активами тесно связано с залоговыми операциями, однако при этом возникают вопросы, которые связаны с рыночной оценкой стоимости собственности, переводимой в материальные активы.

Международная легализация залога. В залоге активы сортируются по их ликвидности, рыночной стоимости на текущий момент времени и доходности. При этом держатель фонда старается передать в залог в первую очередь те активы, которые приносят убытки.

Переоформление долговых платежей в ценные бумаги. Проблема внешней задолженности страны является приоритетной, и без соответствующей долговой стратегии и создания современных механизмов управления внешними долгами государство не может ни существовать, ни развиваться. Значение этой проблемы растет в связи с глобализацией современной экономики.

Переоформление систем электронной коммерции и бизнеса в залоги и активы, торгуемые на бирже. Главная задача повышения инвестиционной привлекательности заключается в убежденности инвестора в перспективе роста ликвидности активов и их стоимости. При решении данной задачи инвестор исходит из того, что бизнес заемщика будет расширяться, а издержки с помощью систем е-коммерции и е-бизнеса будут снижаться.

Предпродажная подготовка или переоформление активов, состоящих из систем электронной коммерции, в залоговое покрытие кредитных рисков. Укрупнение и модернизация производства на территории России требует существенных инвестиций. Последние, в свою очередь, зависят от инвестиционного климата. Так как отечественный бюрократический аппарат не имеет опыта для нормального инвестиционного бизнеса, характеризуется высоким уровнем коррупции, поэтому наблюдается тенденция удорожания заимствований для государства на зарубежных рынках капитала.

Широкое внедрение в практику бизнеса интернет-технологий и систем электронной коммерции улучшит стратегическое планирование, добросовестное акционерное управление, рост доверия инвесторов к российскому менеджменту и пр.

Таким образом, включение в состав высоколиквидных активов, информационных технологий дает шанс российским заемщикам одновременно решить ряд проблем по повышению эффективности управления активами и повысить свою инвестиционную привлекательность.

Банковские международные гарантии для инвесторов и кредиторов. Данные инструменты особенно важны для рынков с переходной экономикой. Знать о них необходимо при рассмотрении вопросов привлечения инвестиций.

Традиционный депозитный и процентный банковский бизнес, который широко распространен на территории Российской Федерации, в условиях глобализации мировой экономики не способен без ресурсов мирового фондового рынка даже при совершенствовании своих технологий обслуживания и привлечения клиентов увеличить капитализацию и доход, достаточные для прямых долгосрочных инвестиций в реальную российскую экономику с целью повышения ее конкурентоспособности на внешнем рынке. [3, С. 133]

 

.2 Прогноз привлечения иностранных инвестиций на период 2014-2015 гг.


Деньги российских инвесторов покидали страну более активно, чем год назад. В 2013г. из России за рубеж направлено 201,6 млрд.долларов США инвестиций, или на 34,5% больше, чем в 2012 году. Объем погашенных инвестиций составил 151,3 млрд.долларов США (на 3,9% больше).

Лидерами по привлечению российских инвестиций в 2013 году стали Швейцария ($24,6 млрд.), Кипр ($22,7 млрд.) и Великобритания ($18,8 млрд.) (Приложение 4) [19]. Изменение объема поступивших иностранных инвестиций в экономику России по основным странам-инвесторам приведено в Приложении 5.

Темпы экономического роста в Российской Федерации будут находиться в зависимости от того, что будет происходить в других регионах мира.

В 2014 году рассчитывали на ускорение притока капитала в Россию - то есть, существенное замедление чистого оттока капитала в 2014 году, но текущая политическая ситуация на Украине и усиливающиеся сепаратисткие настроения части регионов страны существенно влияют на экономические тренды в России.

На восстановление роста инвестиций рассчитывать не приходится, отток капитала и неопределенность курса, безусловно, негативно влияют на инвестиционные планы бизнеса. Высокие ставки ЦБР - необходимое условие для предотвращения всплеска инфляции и стабилизации курса рубля, также не способствуют росту инвестиций.

Пересматривая макроэкономические прогнозы на 2014 и 2015 годы, снижаются ожидания по темпам экономического роста. Макроэкономическая модель ЦМИ показывает, что в данных условиях стране не избежать рецессии - экономический рост видится слабо отрицательным, прежний прогноз 2% в 2014 году, а восстановление в 2015 году останется весьма вялым.

Для российской экономики минувший год стал одним из самых неблагоприятных за последние десять лет. На сегодняшний день приток капитала в Россию в виде портфельных и прямых инвестиций, депозитов и кредитов даже наполовину не покрывает потребность страны в инвестировании.

В 2014 году в России сложится ситуация острого "инвестиционного голода".

В середине 2014 года произойдет спад инвестиций, связанный с окончанием масштабных строек и крупных инвестпроектов. Рост инвестиций наблюдается лишь в сфере добычи несырьевых полезных ископаемых, организации отдыха и торговле.

Минэконоразвития уже дважды ухудшало прогноз по динамике роста инвестиций в 2014 году. Сейчас этот показатель выглядит как 3,9%. Прогноз аналитиков ЦМАКП оказался еще менее оптимистичным - всего 3%. Центр развития ВШЭ, в свою очередь, "обещает" и вовсе 2,2%.

Редкими пессимистами (или реалистами) оказались российские банки. В "ВТБ Капитал" считают, что в нынешнем году инвестиции в Россию увеличатся всего на 2%, а в Райффайзенбанке вообще "дают" всего 1% прироста.

К сожалению, общая ситуация с количеством (а самое главное, с качеством) привлеченных в Россию инвестиций складывается неутешительная.

По предварительным оценкам компании Jones Lang LaSalle, в 2014 году резко увеличится объем инвестиций в недвижимость России. По их мнению, этот показатель будет гораздо выше докризисного уровня и достигнет отметки в 7 млрд. долларов. [13]

Специалисты выделяют две основные меры, которые должны приниматься с целью привлечения иностранного капитала в экономику Российской Федерации.

Во-первых, это создание благоприятного инвестиционного климата. Наличие в российской экономике благоприятного инвестиционного климата является обязательным условием роста капитальных вложений.

Действующие законодательные акты на территории Российской Федерации в области налоговой политики предоставляют ряд льгот по налогообложению прибыли для организации в части финансирования капитального строительства. Многие экономисты считают, что в ближайшие годы является необходимым сформировать оптимальный уровень налогов, льгот и тарифов, который будет сопоставим с условиями инвестирования, сложившимися в странах-конкурентах России на рынке инвестиционных капиталов.

Что касается проблемы стимулирования инвестиций в российскую экономику, то здесь многое зависит от становления рынка ценных бумаг в Российской Федерации, развитие которого будет осуществляться по мере стабилизации производства и преодоления инфляционных процессов.

Одновременно с этим, целесообразно стимулировать сделки, где зарубежный партнер поставляет технологии, оборудование, машины, комплектные заводы в обмен на встречные поставки полуфабрикатов, производимых на поставленном оборудовании, а также сырья.

Для привлечения иностранных инвесторов к деятельности на конкретных территориях Российской Федерации следует использовать механизм создания свободных экономических зон.

Привлечение иностранных компаний в особые экономические зоны (ОЭЗ) - это не только деньги, научные и производственные технологии, но также востребованные в России управленческие и организационные компетенции. Не секрет, что пока большая часть привлеченных на территорию ОЭЗ инвесторов - российские резиденты, ориентирующиеся в своей деятельности, как правило, на внутренний рынок. [18]

Во-вторых, снижение трансанкционных издержек инвесторов. Параллельно с созданием организационно-правовых условий и государственной поддержкой комплексная программа стимулирования инвестиций, как отечественных, так и иностранных, должна включать в себя меры по снижению издержек инвестора, которые не относятся к прямым затратам на реализацию конкретных проектов. В связи с этим должна развиваться информационная инфраструктура инвестиционного рынка, а также осуществляться регулирование тарифов на услуги монополий и обеспечиваться защита личности и собственности инвестора от криминальной сферы.

Фиксированные капиталовложения в Российской Федерации во второй половине 2012 года резко сократились и даже дали отрицательные показатели в ноябре месяце. Однако инвестиции снизились во всех странах БРИК, и по сравнению с остальными Россия пострадала меньше.

Мнение аналитиков неоднозначно в оценке того, что произойдет с инвестициями в 2014 - 2015 гг. Например, Goldman Sachs ожидает значительного роста инвестиций, тогда как Danske Bank заявляет, что изменения будут незначительны.

Заключение


Сегодня вывоз товаров менее выгодный способ вывоза капитала за рубеж по сравнению с любой из денежных форм. Это проявляется в изъятии определенной части капитала из национальной экономики и вливание этой части в экономику другой страны. За границу переносится процесс создания прибыли.

Иностранные инвестиции - это все виды вложений имущественных (денежных) и интеллектуальных ценностей иностранными инвесторами, а также зарубежными филиалами российских юридических лиц в объекты предпринимательской и других видов деятельности на территории России с целью получения последующего дохода.

Инвестиции делятся на прямые, портфельные и прочие.

В основную нормативно-правовую базу регулирования иностранных инвестиций входят следующие федеральные законы: Федеральный закон от 25 февраля 1999 г. № 39-ФЗ "Об инвестиционной деятельности в Российской Федерации, осуществляемой в форме капитальных вложений"; Федеральный закон от 9 июля 1999 г. № 160-ФЗ "Об иностранных инвестициях в Российской Федерации".

Наиболее значимым из всех приведенных проблем является коррупция и безнаказанность, политическая нестабильность, низкий уровень инфраструктуры, плохой менеджмент на предприятиях и пр.

Сегодня объемы иностранных инвестиций в России достигают $170,18 млрд., что на 10% больше, чем в 2012 году.

Среди механизмов, технологий и инструментов заимствований на внешнем рынке капитала выделяют международные займы для синдикатов заемщиков; облигации; методы оценки рыночной стоимости собственности, переводимой в материальные активы предприятий и кредитных учреждений, в российской федерации на основе фондовых инструментов; международная легализация залога; переоформление долговых платежей в ценные бумаги; переоформление систем электронной коммерции и бизнеса в залоги и активы, торгуемые на бирже; предпродажная подготовка или переоформление активов, состоящих из систем электронной коммерции, в залоговое покрытие кредитных рисков; банковские международные гарантии для инвесторов и кредиторов.

Хоть мнение аналитиков неоднозначно в оценке того, что произойдет с инвестициями в 2014 - 2015 гг., все эксперты ожидают медленного увеличения объемов иностранных инвестиций в российскую экономику.

Использование иностранных инвестиций является объективной необходимостью, обусловленной системой участия экономики страны в международном разделении труда и притоком капитала в отрасли, свободные для предпринимательства.

Низкая инвестиционная привлекательность России вполне объяснима и закономерна. И вряд ли что-то кардинально поменяется в ближайшее время. Вкладывать средства в экономику, которая "зависла" на одном уровне, не станет ни отечественный, ни иностранный инвестор. Без кардинальных реформ России уже не обойтись.

С официальной точки зрения следует активно привлекать иностранные инвестиции, создавая благоприятный инвестиционный климат. Например, Российской Федерации необходимо существенно увеличить в общем объеме ВВП долю инвестиций (до 28 - 30%), чтобы усовершенствовать свою инфраструктуру, также необходимо устранить такую острую проблему как коррупция. В скором времени ожидается, что инвестиционный климат России станет более благоприятным, что в последствии повлечет за собой увеличение объемов привлечения иностранного капитала в экономику страны.

Список использованной литературы


1.      Федеральный закон от 09.07.1999 N 160-ФЗ (ред. от 06.12.2011) "Об иностранных инвестициях в Российской Федерации"

.        Федеральный закон от 25.02.1999 N 39-ФЗ (ред. от 12.12.2011) "Об инвестиционной деятельности в Российской Федерации, осуществляемой в форме капитальных вложений"

.        Ивасенко А. Г., Никонова Я. И. Инвестиции: источники и методы финансирования - 3-е изд., перераб. и доп. - М.: Издательство "Омега-Л", 2009. - 261 с.

.        Игонина Л. Л. Инвестиции: учеб. пособие // под ред. д-ра экон. наук, проф. Слепова В. А. - М.: Экономистъ, 2009. - 478 с.

.        Нешитая А. С. Инвестиции: Учебник. - 5-е изд., перераб. и испр. - М.: Издательско-торговая корпорация "Дашков и Ко", 2009. - 372 с.

.        Ткаченко И. Ю. Инвестиции: учеб. пособие для студ. высш. учеб. заведений - М.: Издательский центр "Академия", 2009. - 240 с.

.        Хмыз О. В. Привлечение иностранных инвестиций в Россию. Особенности. М.: Книга-сервис, 2012. - 428 с.

.        Российский статистический ежегодник. 2012: Стат.сб./Росстат. - Р76 М., 2012. - 795 с.

.        Российский статистический ежегодник. 2012: Стат.сб./Росстат. - Р76 М., 2012. - 795 с.

10.    DENGIfinance.RU URL: #"824722.files/image015.gif">

Приложение 2



Приложение 3



Приложение 4



Приложение 5

Изменение объема поступивших иностранных инвестиций в экономику России по основным странам-инвесторам