Материал: Применение статистических методов на производстве

Внимание! Если размещение файла нарушает Ваши авторские права, то обязательно сообщите нам

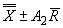
Рис. 1. 2. 1. Вид контрольной карты

При оценке того, находится ли процесс в статистически управляемом состоянии, эталонным обычно служит среднее арифметическое рассматриваемых данных. При управлении процессом эталонным служит долговременное значение характеристики, установленное в технических условиях, или ее номинальное значение, основанное на предыдущей информации о процессе, или намеченное целевое значение характеристики продукции или услуги. Карта Шухарта имеет две статистические определяемые контрольные границы относительно центральной линии, которые называются верхней контрольной границей () и нижней контрольной границей () (рисунок 1.2.1).

Контрольные границы на карте Шухарта находятся на расстоянии 3 от центральной линии, где  - генеральное стандартное отклонение используемой статистики. Изменчивость внутри подгрупп является мерой случайных вариаций. Для получения оценки  вычисляют выборочное стандартное отклонение или умножают выборочный размах на соответствующий коэффициент. Эта мера не включает межгрупповых вариаций, а оценивает только изменчивость внутри подгрупп [12, c.75].

Границы ±3 указывают, что около 99,7% значений характеристики подгрупп попадут в эти пределы при условии, что процесс находится в статистически управляемом состоянии. Другими словами, есть риск, равный 0,3% (или в среднем три на тысячу случаев), что нанесенная точка окажется вне контрольных границ, когда процесс стабилен. Употребляется слово "приблизительно", поскольку отклонения от исходных предположений, таких как вид распределения данных, будут влиять на значения вероятности.

Некоторые консультанты предпочитают вместо множителя, равного 3, значение 3,09, чтобы обеспечить номинальное значение вероятности 0,2% (в среднем два вводящих в заблуждение наблюдения на тысячу), но Шухарт выбрал число 3, чтобы не давать поводов к рассмотрению точных вероятностей. Аналогично некоторые консультанты применяют фактические значения вероятностей для карт, основанных на ненормальных распределениях, таких как карты размахов и долей несоответствий, и в этом случае в карте Шухарта также используют границы на расстоянии ±3 вместо вероятностных пределов, упрощая эмпирическую интерпретацию [12, c.76]. Вероятность того, что нарушение границ, в самом деле, случайное событие, а не реальный сигнал, считается столь малой, что при появлении точки вне границ следует предпринять определенные действия. Так как действие предпринимается именно в этой точке, то 3 контрольные границы иногда называются "границами действий".

Часто на контрольной карте границы проводят еще и на расстоянии 2. Тогда любое выборочное значение, попадающее за границы 2, может служить предостережением о грозящей ситуации выхода процесса из состояния статистической управляемости. Поэтому границы ±2 иногда называют "предупреждающими" [12, c.77].

При применении контрольных карт возможны два вида ошибок: первого и второго рода. Ошибка первого рода возникает, когда процесс находится в статистически управляемом состоянии, а точка выскакивает за контрольные границы случайно. В результате неправильно решают, что процесс вышел из состояния статистической управляемости, и делают попытку найти и устранить причину несуществующей проблемы. Ошибка второго рода возникает, когда рассматриваемый процесс не управляем, а точки случайно оказываются внутри контрольных границ. В этом случае неверно заключают, что процесс статистически управляем и упускают возможность предупредить рост выхода несоответствующей продукции. Риск ошибки второго рода - функция трех факторов: ширины контрольных границ, степени неуправляемости и объема выборки. Их природа такова, что можно сделать лишь общее утверждение о величине ошибки. Когда наносимое значение выходит за любую из контрольных границ или серия значений проявляет необычные структуры, состояние статистической управляемости подвергается сомнению. В этом случае надо исследовать и обнаружить неслучайные (особые) причины, а процесс можно остановить или скорректировать.

Как только особые причины найдены и исключены, процесс снова готов к продолжению работы.

При возникновении ошибки первого рода можно не найти никакой особой причины. Тогда считают, что выход точки за границы представляет собой достаточно редкое случайное явление при нахождении процесса в статистически управляемом состоянии [23, c.174]. Если контрольную карту процесса строят впервые, то часто оказывается, что процесс статистически неуправляем. Контрольные границы, рассчитанные на основе данных такого процесса, будут иногда приводить к ошибочным заключениям, поскольку они могут оказаться слишком широкими [23, c.175].

Контрольные карты Шухарта бывают двух основных типов: для количественных и альтернативных данных. Для каждой контрольной карты встречаются две ситуации:

а) стандартные значения не заданы;

б) стандартные значения заданы.

Стандартные значения - значения, установленные в соответствии с некоторыми конкретными требованиями или целями.

Контрольные карты, для которых не заданы стандартные значения:

Цель таких карт - обнаружение отклонений значений характеристик (например, ,  или какой-либо другой статистики), которые вызваны иными причинами, чем те, которые могут быть объяснены только случайностью. Эти контрольные карты основаны целиком на данных самих выборок и используют для обнаружения вариаций, которые обусловлены неслучайными причинами.

Контрольные карты при наличии заданных стандартных значений.

Целью таких карт является определение того, отличаются ли наблюдаемые значения ,  и т.п. для нескольких подгрупп (каждая объемом  наблюдений) от соответствующих стандартных значений  (или ) и т.п. больше, чем можно ожидать при действии только случайных причин. Особенностью карт с заданными стандартными значениями является дополнительное требование, относящееся к положению центра и вариации процесса. Установленные значения могут быть основаны на опыте, полученном при использовании контрольных карт без априорной информации, или на заданных стандартных значениях, а также на экономических показателях, установленных после рассмотрения потребности в услуге и стоимости производства, или указаны в технических требованиях на продукцию [12, c.191].

Типы контрольных карт для количественных и качественных признаков

В стандарте рассмотрены следующие контрольные карты:

а) контрольные карты для количественных данных:

) карты среднего () и размахов () или выборочных стандартных отклонений ();

) карта индивидуальных значений () и скользящих размахов ();

) карта медиан () и размахов ();

б) контрольные карты для альтернативных данных:

) карта долей несоответствующих единиц продукции () или карта числа несоответствующих единиц ();

) карта числа несоответствий () или карта числа несоответствий, приходящихся на единицу продукции ().

Контрольные карты для количественных данных имеют следующие преимущества:

а) большинство процессов и их продукция на выходе имеют характеристики, которые могут быть измерены, так что применимость таких карт потенциально широка;

б) измеренное значение содержит больше информации, чем простое утверждение "да - нет";

в) характеристики процесса могут быть проанализированы безотносительно установленных требований. Карты запускаются вместе с процессом и дают независимую картину того, на что процесс способен. После этого характеристики процесса можно сравнивать или нет с установленными требованиями;

г) хотя получение количественных данных дороже, чем альтернативных, объемы подгрупп для количественных данных почти всегда гораздо меньше и при этом намного эффективнее.

Это позволяет в некоторых случаях снизить общую стоимость контроля и уменьшить временной разрыв между производством продукции и корректирующим воздействием [12, c.193].

Таблица 1.2.1

Формулы контрольных границ для карт Шухарта с использованием количественных данных, (карты)

Статистика

Стандартные значения не заданы

Стандартные значения заданы

 

Центральная линия

 и

Центральная линия

 и

 

 или

 или

 

 

,  

 или

,  

 

 

,  

 или

,  

Количественные данные представляют собой наблюдения, полученные с помощью измерения и записи значений некоторой характеристики для каждой единицы, рассматриваемой в подгруппе, например длина в метрах, сопротивление в омах, шум в децибелах и т.д. Карты для количественных данных, и особенно простейшие из них (- и -карты), - это классические контрольные карты, применяемые для управления процессами [12, c.194].

Карты для количественных данных отражают состояние процесса через разброс (изменчивость от единицы к единице) и через расположение центра (среднее процесса). Поэтому контрольные карты для количественных данных почти всегда применяют и анализируют парами - одна карта для расположения и одна - для разброса. Наиболее часто используют пару - и -карту. В таблицах 1 приведены формулы контрольных границ. В приложении 7 приведены коэффициенты для соответствующих карт.

Стратификация - процедура первичной сортировки данных по определенным признакам, группам или категориям, результат которой часто представим в виде диаграмм и графиков (приложение 4).

Классификация массива данных по различным группы (или категориям) дает общие характеристики, называемыми переменными стратификации [25, c.97].

Стратификация - основа для других инструментов анализ и обработки данных, например диаграммы Парето. В приложении 4 приведен пример анализа источника возникновения дефектов. Все дефекты в % были классифицированы на четыре категории - по поставщикам, по операторам, по смене и по оборудованию. Из анализа представленных данных наглядно виден наибольший вклад в наличие дефектов поставщика "1".

Диаграмма Парето как стратифицированная гистограмма причин возникновения несоответствий (отказов). Диаграмма Парето - предварительно стратифицированная по количеству отказов (дефектов) гистограмма причин таких отказов, иллюстрирующая "универсальный" принцип Парето, в упрощенном виде для систем управления качеством. Этот принцип гласит, что большая часть негативных последствий (80% или 70%) вызывается малым числом причин (20% или 30%), что позволяет выявить и в первую очередь устранить причины, вызывающие наибольшее количество проблем (несоответствий). На приведенном примере, (см. приложение 5) отчетливо видна область принятия первоочередных мер, очерчивающая те причины, которые вызывают наибольшее количество ошибок (G, J, M, Q) [27, c.31].

Диаграмма разброса (приложение 7) (рассеяния) как графическое отображение вероятностной зависимости. Корреляционный анализ изучает (на основе выборки данных) вероятностную зависимость между двумя переменными (факторами влияния и результатами процесса). При этом оценивается мера зависимости, называемая коэффициентом корреляции (меняется от -1 до 1, при 0 зависимость отсутствует), оцениваются доверительные интервалы полученных результатов и, при необходимости, проверяются гипотезы о независимости переменных [28, c.73].

Кроме коэффициента корреляции (1.2.1) иногда рассматривается частный коэффициент корреляции, множественный коэффициент корреляции, коэффициент корреляции рангов по Спирмену или квадрантный коэффициент корреляции. Простой формой оценки меры зависимости является построение диаграммы рассеяния, которая представляет собой, см. рис., графическое отображение зависимости между переменными в воображаемом эллипсе, круге или на линии [12, c.57].

 (1.2.1)

Диаграмма Ишикавы (приложение 3) представляет собой дерево связей основных факторов влияния (человек, машина, материал, метод, контроль, а также иногда среда) на качество конечного продукта (услуги). Диаграмма Ишикавы типа 5М рассматривает такие компоненты качества, как "человек", "машина", "материал", "метод", "контроль", а для типа 6М дополнительно учитывает компонент "среда" [13, c.384].

Таким образом, прохождение контроля и испытаний продукта должно подтверждаться в производстве наглядными средствами. Зафиксировать соответствие можно посредством этикетки, бирки, клейма, пломбы, ярлыка и т.п. Те продукты, которые не соответствуют критериям проверок или испытаниям, должны быть отделены от остальных и соответствующим образом идентифицированы. Такая идентификация соответствия или несоответствия должна легко определять и отделять годную и негодную продукцию. Необходимо определить специалистов, ответственных за это. Организация формулирует требования, которые точно определяют допуски на параметры качества продукции. Она должна иметь определенный и оформленный документально процесс нахождения несоответствий. Материалы не должны использоваться в процессе без контроля по спецификации. Если входные материалы используются без проверки, то на этот случай требуется разработка санкции, документации и пути отслеживания продукта. Все проверенные материалы должны быть отделены от тех, которые не проверенны. Проверка входящего продукта должна соответствовать плану качества, закрепленным процедурам и может иметь различные формы. Организация должна иметь специальные документы, фиксирующие процедуру контроля и испытаний внутри процесса, и осуществлять этот контроль систематически. Уровень контроля внутри процесса определяется операторами и специальными контролерами. Очень важно отделять соответствующие требованиям материалы от дефектной продукции. Окончательный выходной контроль обязателен. В ходе его выявляется соответствие между фактическим конечным продуктом и тем, который предусмотрен планом по качеству. Окончательный контроль включает в себя результаты всех предыдущих проверок и отражает соответствие продукта необходимым требованиям. Продукт не выходит за пределы организации, пока не будет установлено соответствие спецификации. Организация, осуществляя контроль и испытания, предоставляет заинтересованным организациям и лицам документы о результатах контроля и испытаний. Исследования в области теории вероятностей и математической статистики привели к выводу, что для оценки степени засоренности партии дефектными изделиями и принятия решения о качестве готовой продукции нет необходимости проводить сплошную проверку всех изделий, а достаточно исследовать лишь часть партии - выборку.

2. Анализ управления качеством на примере цеха Автомобильного завода ОАО "КАМАЗ"

.1 Краткая характеристика Автомобильного завода ОАО "КАМАЗ"

Наименование: Автомобильный завод основного общества ОАО "КАМАЗ". Форма собственности: акционерная - является структурным подразделением ОАО "КАМАЗ". Оно входит в состав ОАО "КАМАЗ", создан при объединении 2-х заводов ОАО КАМАЗ во 2-квартале 1995 года - Агрегатного и Автосборочного.

Юридический адрес:    Юридический адрес предприятия: 423808, г.Набережные Челны, Республика Татарстан, пр. Мусы Джалиля, 29.

ОАО "Автомобильный завод" возглавляется Генеральным директором. Генеральный директор назначается на должность, а так же освобождается от должности приказом Генерального директора (президента) ОАО "КамАЗ" по представлению первого вице-президента (приложение.8).

Директор завода в своей деятельности руководствуется действующим законодательством РФ и РТ, Уставом ОАО "КамАЗ" приказами и иными законодательными документами Генерального директора (президента) ОАО "КамАЗ", первого вице-президента, договором о взаимодействии между подразделениями ОАО "КамАЗ". Коллективным договором и тарифным соглашением ОАО "КамАЗ". На должность Генерального директора АвЗ может быть назначено лицо не моложе 30 лет, имеющее высшее техническое образование и опыт работы по руководству производственными и техническими подразделениями промышленной сферы не менее 5 лет.

Завод предназначен для выпуска грузовых автомобилей и запасных частей к ним. Автомобильный завод обеспечивает весь технологический цикл механической обработки и сборки узлов и агрегатов шасси грузового автомобиля, все операции по сборке кабины, а также полную сборку грузового автомобиля КАМАЗ. Завод способен выпускать 50 тыс. автомобилей в год. В гамму выпускаемых автомобилей входят бортовые машины, самосвалы, седельные тягачи, машины повышенной проходимости, шасси и другие. Автомобильный завод также производит основные узлы автомобиля: балансирные подвески, ведущие мосты, переднюю ось, раздаточную коробку, трубопроводы, платформу.

Общая площадь территории, занимаемая заводом, составляет 150,65 га. Производственные площади закрытых помещений составляют 736,8 тысяч квадратных метров.

Состав и площади завода:

) Главный корпус - 538,6 тыс.кв.м.

) Корпус колес - 10,4 тыс.кв.м.

) Сдаточный корпус - 114,4 тыс.кв.м.

) Два административно-бытовых здания со столовыми - 43,2 тыс.кв.м.

) Две столовых - 7,8 тыс.кв.м.

) Стоянка готовых автомобилей - 52,2 тыс.кв.м.

) Два отделения переработки стружки - 13,0 тыс.кв.м.

) Компрессорная станция - 3,9 тыс.кв.м.

) Открытая стоянка - 5,3 тыс.кв.м.

) Обкаточная дорога - 100,0 тыс.кв.м.

) Другие объекты - 6,9 тыс.кв.м.

Оборудование АВЗ:

металлорежущее, литейное, электросварочное, деревообрабатывающее,

подъемно-транспортное, транспортирующее, термическое, торгово-технологическое, окрасочно-моющее и др.

На заводе принята система ремонта и обслуживания оборудования, включающая в себя капитальный и регламентированный ремонты, осмотр, техническую чистку, смазку и ремонтное обслуживание (аварийный и текущий ремонты).

Существующие на заводе ремонтные цеха (приложение 9): ЦРО-1 (цех ремонта оборудования), ЦРО-2, ЦРСО (цех ремонта специального оборудования), ЦРТС (цех ремонта транспортных средств), ЦЛПЭ (цех лаборатории промышленной электроники), РМЦ (ремонтно-механический цех) выполняют плановые ремонты соответственно графикам на ремонт и обслуживание оборудования, внеплановые ремонты - по заявкам производственного персонала.

Система менеджмента качества завода отвечает требованиям международных стандартов ИСО серии 9000, что подтверждается Сертификатом Качества, присвоенным СМК завода в составе СМК ОАО "КамАЗ" в декабре 2003 и подтвержденным инспекционной проверкой (аудитом) СМК, проведенной в марте 2007 года Органом по сертификации "Русский регистр".

Действующая на АВЗ Система Менеджмента Качества регламентируется "Руководством по качеству Автомобильного завода", новая редакция которого введена приказом по заводу № 67 от 03.04.2008. Руководство по качеству описывает организационную структуру АВЗ, действия его структурных подразделений в процессе выпуска грузовых автомобилей по обеспечению заданных требований к качеству выпускаемой продукции. Руководство по качеству регламентирует распределение ответственности и функции руководителей подразделений и служб завода в рамках СМК, а также содержит необходимые сведения о стандартах предприятия, ТПУ и Инструкциях, которыми должны руководствоваться работники завода. Качество продукции обеспечивается соответствующей Политикой руководства. "Политика Автомобильного завода в области качества", введена приказом по заводу № 1 от 16.01.2006, в ней намечены цели и определены средства и методы их достижения.

Цель и основные задачи ОАО "Автомобильный завод":

выпуск продукции установленной номенклатуры и объемов в соответствии с конструкторской и технологической документацией, стандартами и техническими условиями, обеспечивающей требования потребителей.

- обеспечение безубыточности по всем видам деятельности и заданного уровня рентабельности.

- повышение эффективности использования производственных фондов и оборотных средств.

- обеспечение социальных гарантий, оплаты труда работникам завода в соответствии с коллективным договором ОАО "КамАЗ" и в зависимости от результатов работы завода.

Внутренними поставщиками Автомобильного завода являются: ОАО "КамАЗ Металлургия", ОАО "КамДизель", ОАО "КамПРЗ", ОАО "КИСМ", ДЗиЛ.

Автомобильный завод поставляет грузовые автомобили в ТФК ОАО "КАМАЗ" и запасные части к ним в Центр комплектации и отгрузки запасных частей. Эти подразделения являются внутренними потребителями продукции АВЗ.

Для обеспечения реализации Политики ОАО "КАМАЗ" в области качества была разработана и утверждена программа "Качество-2009". В рамках этой программы были реализованы следующие задачи:

удалось снизить на 30% уровень затрат на наладку оборудования за счет внедрения мероприятий;

- снижен уровень дефектности по "течам" в 2 раза;

- снижено на 30% количество выявляемых на автомобилях дефектов;

- внедрена поточно-постовая технология сборки автомобилей;

- внедрено положение об организации вовлечения и мотивации работников в рамках системы "Бережливое производство";

- обучены за год по вопросам менеджмента качества 231 специалист, в т.ч. подготовлен 1 эксперт, вошедший в реестр экспертов конкурса на премию Правительства РФ в области качества;

- разработаны и внедрены стандарты предприятия по применению современных методов менеджмента: DFMEA, PFMEA, PPAP, MSA, SPC (временная методика), G8D (временная методика);

- реализован пилотный проект по внедрению у 7 поставщиков, расположенных на территории РТ, требований ИСО/ТУ 16949 (проект реализовался при поддержке Министерства промышленности и экономики РТ).

Достигнуты следующие Цели ОАО "КАМАЗ" в области качества:

обеспечена сдача автомобилей КАМАЗ с первого предъявления по Государственному оборонному заказу до 99,6% (значение 3кв 2008г.). Установленное значение не менее 98%;

- увеличен показатель "наработка на отказ по семейству тяжелых автомобилей на 21,6% (по результатам испытаний на конец III кв. 2009г.);

- снижен уровень рекламаций от потребителей по качеству автомобилей на 10,1%;

- не удалось достигнуть следующих установленных целей на 2009год:

не организовано внедрение (не разработаны Программы внедрения) в аттестованных сервисных центрах стандартов ИСО 9001:2000 (ГОСТ Р ИСО 9001-2001, ответственный ОАО "КТО");

- не достигнуто снижение на 15% уровня рекламаций на шасси автобусов НЕФАЗ в связи с низким качеством комплектующих изделий.

Принятие решений по формированию и изменению организационной структуры управления Автомобильного завода регламентируется СТП 37.104.51.02. В данном стандарте предприятия организационная структура управления определена как упорядоченная совокупность устойчиво взаимосвязанных элементов, обеспечивающих функционирование и развитие подразделения как единого целого; а также как форма разделения и кооперации управленческой деятельности, в рамках которой осуществляется процесс управления по соответствующим функциям, направленным на решение поставленных задач и достижению намеченных целей.

Организационная структура управления определяет:

состав структурных подразделений и их иерархию;

распределение функций по подразделениям;

распределение прав;

распределение ответственности;

распределение персонала по подразделениям;

взаимосвязи.

Организационная структура ОАО "Автомобильный завод" представлена на рисунке в приложении 8. ОАО "Автомобильный завод" возглавляет генеральный директор, который подчиняется собранию акционеров и управляет деятельностью служб заместителя генерального директора по организационным вопросам, по производству, юридического отдела. Исполнительный директор является директором по производству и заместителем генерального директора, ему подчиняются: коммерческий директор, директор по производству, директор отдела по качеству, директор по режиму, главный энергетик, главный бухгалтер. Каждый руководитель управляет конкретными отделами и службами. В подчинении директора по организационным вопросам находятся и отдел кадров, отдел технического контроля, канцелярия и заводская столовая. Отдел кадров ведет прием, перемещение и увольнение работников, разрабатывает систему мотивации и стимулирования труда, ведет деловую оценку персонала при приеме и аттестации; профориентацию и трудовую адаптацию; разрабатывает производственные нормы трудозатрат, составляет и обосновывает совместно с планово-экономическим отделом штатное расписание организации. Приемку продукции проводит отдел технического контроля, на специалистов которого возлагается контроль готовой продукции.

Коммерческий директор контролирует деятельность отдела экономического прогнозирования цен и заработной платы, отдел материально-технического снабжения, отдел управления собственностью.

Отдел материально-технического снабжения контролирует процесс обеспечения производства, который направлен на своевременную поставку на склады предприятия или сразу на рабочие места требуемых в соответствии с бизнес-планом материально-технических ресурсов, то есть всего того, что поступает на предприятие в вещественной форме и в виде энергии.

Бюро маркетинга можно разделено по функциям маркетинга (группа информационного обеспечения, группа изучения имиджа поставщиков, группа изучения конкурентоспособности поставщиков и их товаров, группа цен, группа связей с общественностью). Бюро управления запасами занимается следующими вопросами: расчет нормативов различных видов запаса (оборотный, страховой, расходный) по видам ресурсов; оптимизация запасов по видам ресурсов; организация пополнения запасов; учет и контроль использования ресурсов; техническое обеспечение управления запасами. Бюро обеспечения рабочих мест ресурсами решает следующие вопросы: оснащение основным и вспомогательным оборудованием, инвентарем, тарой, устройствами охраны труда и санитарно-гигиеническими устройствами; организация оперативного обеспечения рабочих мест технологической оснасткой, материалами, комплектующими изделиями, полуфабрикатами, топливно-энергетическими ресурсами; учет, контроль и анализ использования ресурсов на рабочем месте. Бюро управления эффективностью использования ресурсов занимается выявлением факторов улучшения использования ресурсов (по видам), установлением зависимостей между организационно-техническими и экономическими показателями, организацией учета и контроля использования ресурсов в целом по предприятию, разработкой мероприятий по улучшению использования различных видов ресурсов, организацией их внедрения и стимулирования.

Экономический блок составляют такие отделы, как отдел труда и заработной платы, финансовый отдел, бухгалтерия. Бухгалтерия ведет учет заработной платы, готовит счета-фактуры, накладные на сторону, готовит документы на запросы налоговых органов и других организаций г. Набережных Челнов. Также осуществляет учет доходов и расходов ОАО "Автомобильный завод", текущих финансовых операций, производит учет основных и оборотных средств организации Главный бухгалтер непосредственно подчиняется исполнительному директору предприятия. В его обязанности входит организация работы центральной бухгалтерии, составление отчетности. Финансовый отдел проводит комплексный анализ доходов, расходов, производственных и финансовых показателей по подразделениям предприятия; готовит необходимые справки в вышестоящие органы и органы статистического контроля.

Техническая часть включает отдел главного технолога и подчиняющиеся ему конструкторское бюро и отдел развития, а так же ПДО, РМЦ, производственные цеха и цех по ремонту технологического оборудования. Отдел главного технолога осуществляет координацию и контроль деятельности отдела развития и конструкторского бюро.

Директор по режиму контролирует отдел охраны и отдел экономической безопасности. В состав охраны включаются работники военизированной, вахтерской, сторожевой и пожарной охраны.

Представителем руководства, ответственным за разработку, внедрение и поддержание СМК, приказом Директора завода № 642-ко от 15.08.2006 назначен зам. директора по качеству с предоставлением права отменять в установленном порядке решения руководителей подразделений, влекущие за собой ухудшение качества выпускаемой продукции, противоречащие положениям Политики завода в области качества или нарушающие требования нормативно-технических документов. В каждом подразделении АВЗ были назначены ответственные за вопросы качества.

АВЗ как организация (подразделение) делится на внутриструктурные подразделения (отделы, цеха, лабораторию, корпус), которые по типам разделяются на:

производственные цеха (осуществляют производственный процесс, деятельность направлена на приобретение, производство и сбыт);

функциональные (управленческие) подразделения, которые осуществляют управленческие функции.

Варианты функций управленческого цикла:

нормирование и стандартизация, планирование,

учет, контроль, анализ,

диспетчирование, регулирование,

отчетность, стимулирование.

Допускается их группировка, детализация.

Каждое внутриструктурное подразделение (приложение 9) имеет свое штатное расписание (документ, включающий наименования подразделения и его внутриструктурных подразделений (бюро, групп), наименования должностей, коды функций управления и категорию РСиС, количество работников, должностные оклады, базовый месячный фонд оплаты труда); положение о подразделении и должностные инструкции работников.

На основе положения составляется штатное расписание РСиС, организуется повседневная деятельность, и разрабатываются должностные инструкции. Деятельность рабочего персонала Автомобильного завода регламентируется инструкциями на рабочие места. Порядок разработки, утверждения инструкций на рабочие места устанавливается согласно СТП 37.104.34.04.

Во всех подразделениях завода "Положения о цехах и отделах", должностные инструкции руководителей подразделений, ИТР и рабочих при необходимости систематически перерабатываются с внесением изменений в раздел "обязанности" с учетом меняющихся требований НТД по СМК.

Важным элементом характеристики трудового потенциала предприятия является его качественная оценка. Следует отметить, что профессионально-квалификационная структура трудового коллектива имеет существенное значение при анализе состояния и резервов роста производительности труда на предприятии.

Анализ структуры персонала автомобильный завода представлен в таблице 2.1.1.

Если рассматривать динамику численности ОАО "Автомобильный завод" за 2007-2009 годы, то в таблице 2.1.1 можно видеть увеличение общей численности персонала за 2008 году на 14,2% и снижение на 5,94% за 2009 год, в том числе и по всем рассматриваемым категориям.

Таблица 2.1.1.

Анализ структуры персонала ОАО "Автомобильный завод" за 2007-2009 гг.,(%)

Категории персонала

2007

2008

2010

Темп прироста численности, %


чел.

уд. вес,%

чел.

уд. вес,%

чел.

уд. вес,%

2008/2007

2009/2008

Численность всего (на конец года):

10260

100

11717

100

11021

100

14,2

-5,94

в том числе РСиС:

1580

15,4

1701

14,52

1667

15,13

7,66

-2

1. Руководители

773

7,53

928

7,92

831

7,54

-7,07

-17,19

2. Специалисты

692

6,75

818

6,98

711

6,45

-4,03

-9,67

3. Служащие

115

1,12

45

0,38

125

1,14

-8,26

-5

4. Рабочие, в т. ч.

8680

84,6

10016

85,48

9354

84,87

15,4

-6,61

основные рабочие

6717

65,47

8333

71,12

7630

69,23

4,55

8,18

вспомогательные рабочие

1963

19,13

1683

14,36

1724

15,64

1,98

6,57


Наибольший темп роста наблюдается по рабочим (7,5%), что связано с изменениями в структуре персонала в сторону уменьшения численности по категориям руководителей, специалистов и служащих за 2009 год, поэтому доля рабочих в общей структуре персонала увеличилась, и эта категория по-прежнему остается востребованной в первую очередь.

Рис 2.1.1 Соотношение персонала работников по возрасту(%)

Численность задействованных в производстве составляет 11021 человека, из них 1667 человек РСиС, 9354 основные и вспомогательные рабочие.

Возраст персонала завода характеризуется данными, представленными на рисунке 2.1.1. Из приведенных данных можно выделить, что основной возраст рабочих задействованных в производстве составляют люди до 30 лет, а в РСиС свыше 50 лет.

Рис 2.1.2. Состав персонала АВЗ по образованию в 2009 году, (%)

Рассматривая состав персонала АВЗ по образованию (рис.2.1.2), можно увидеть, что основная часть работающих это люди со средним общим образованием, которая составляет 59% от всего персонала предприятия. Высшее профессиональное образование имеют 9%, среднее профессиональное - 17%, начальное профессиональное - 15%.

Основная численность рабочих имеет сдельно-премиальную и косвенно сдельно-подрядную системы оплаты труда, что повышает заинтересованность в конечном результате труда и способствует росту производительности труда. Численность работников списочного состава составила за 2009 год 2955 человек, из них больше всего работников с 4-6 разрядом, а также работников с седьмым разрядом и выше. Это свидетельствует о том, что продукция завода является наукоемкой, сложной, что требует более высокого разряда. Молодежь до 29-ти лет составляет наибольшую долю во всей численности персонала.

За контролем по качеству на Автомобильном заводе создан департамент качества (приложение 10), который отвечает за то, что бы обеспечить бездефектное производство. Департамент состоит из нескольких отделов, каждый из которых отвечает за свои функции. Отделы по управлению качеством занимаются проведением аудитов (внутренних), проверкой проводимых мероприятий по устранению недочетов. Отделы по управлению качеством не являются карательными органами, это общее заблуждение. Сам аудит создан для выявлений недочетов и направление в нужное русло производство. Аудит делится на две стадии: проверка документации и проверка выпускаемой продукции.

Рис 2.1.3. Основные несоответствия, выявленные в ходе аудитов за 2009 год(%)

Все проверки проводятся в соответствии со стандартами, такими как: ИСО, СТП. В этих стандартах расписана вся программа проведения аудитов. После проверки пишутся акты о несоответствиях, далее составляются мероприятия по устранению этих несоответствий. Основные несоответствия, встречающиеся на предприятии можно увидеть на рисунке 2.1.3. После этого посылается письменный отчет о проведенных действиях в Дирекцию ОАО "КАМАЗ".

Для устранения нарушений составляются мероприятия по устранению несоответствий, это дает некий результат, но не решает всю проблему. Для полного решения проблемы пишутся и внедряются в производство программы по улучшению качества выпускаемой продукции. Например, программы "Кайдзен" и "5S". На заводе также ведется активная работа по повышению качества выпускаемой продукции. Завод в составе материнской компании сертифицировал свою Систему Менеджмента качества по версии ИСО 9001:2000 (ГОСТ Р ИСО 9001-2001) в декабре 2003 года. В настоящее время развернута работа по совершенствованию СМК (системы менеджмента качества) и отработке результативности процессов. Цели и политика предприятия указаны в приложении к отчету.

Нарушение требований, предъявляемых к качеству изготавливаемой продукции, приводит к увеличению издержек производства и потребления. Поэтому своевременное предупреждение возможного нарушения требований к качеству является обязательной предпосылкой обеспечения заданного уровня качества продукции при минимальных затратах на ее производство. Эта задача решается на предприятиях с помощью технического контроля.

Таким образом, главной задачей на 2010 год должно стать повышение компетентности кадров компании, воспитание в них творческой инициативности, лидерских качеств, а также совершенствование системы мотивации персонала, кодекса корпоративной культуры, устанавливающего принципы этического поведения руководителей всех уровней.

2.2 Анализ применения статистических методов на Автомобильном заводе ОАО "КАМАЗ" (на примере цеха тормозов)

Грузовые автомобили КАМАЗ, выпускаемые АВЗ, можно увидеть в любой точке автомобильных путей России, ближнего и дальнего зарубежья. Нишу изготовления регулятора давления в качестве запчастей "заполнило" предприятие АВЗ.

Для анализа причин появления брака готовой продукции, в дипломной работе автор использует данные, полученные во время ознакомления с деятельностью предприятия ОАО "Автомобильный завод".

Итак, основными видами деятельности исследуемого предприятия являются:

) общая сборка, испытание автомобилей;

) выпуск запчастей;

) производство агрегатов шасси (задних и передних мостов, передних осей, раздаточных коробок и т.д.) и прочих узлов и агрегатов к грузовым автомобилям;

) производство прочей (инициативной) продукции, работ, услуг.

Из четырех основных направлений его деятельности автор затрагивает проблему управления качеством одного из них, немаловажного для промышленного региона Республики Татарстан - производство запасных частей для грузовых автомобилей.

Анализ применения статистических методов контроля качества в ОАО "Автомобильный завод" проведем на примере цеха тормозов.

Внедрение семи инструментов контроля качества на Автомобильном заводе в цехе тормозов, как и в других цехах, начинается с обучения этим методам всех участников процесса, что способствует успешному внедрению инструментов контроля качества. Основное их назначение - контроль протекающего процесса и предоставление участнику процесса фактов для корректировки и улучшения процесса. Знание и применение на практике семи инструментов контроля качества лежат в основе одного из важнейших требований TQM - постоянного самоконтроля.

Более подробно остановимся на проблеме бездефектного выпуска запчасти - регулятора давления тормозов (приложение 11).

Регулятор давления предназначен для автоматического регулирования давления в пневматической системе автомобиля в заданных пределах, а также для защиты пневмосистемы от загрязнения. Регулятор давления установлен непосредственно за компрессором на правом лонжероне рамы автомобиля. Крепится регулятор давления двумя болтами М8. Атмосферный вывод регулятора давления направлен вниз, так, чтобы выбрасываемый регулятором конденсат не попадал на другие детали автомобиля.

Как видно из рисунка в приложении 11, деталь регулятор давления имеет корпус. Корпус - это деталь, которая относится к деталям класса корпусов. Корпусная деталь имеет сложную конструкцию, трудоемка по изготовлению, ответственна по назначению и поэтому требует большого внимания с точки зрения технологичности ее конструкции. Корпусная деталь имеет коробчатую форму с точно обработанными отверстиями.

Наружная плоская поверхность детали служит основной технологической базой. Наиболее ответственными и точными операциями при обработке корпусной детали являются операции по обработке базовых плоскостей, расточке точных отверстий со строгой параллельностью их осей и точными расстояниями между ними. Исходя из основного эксплуатационного назначения и учитывая необходимость максимального снижения трудоемкости, корпусные детали должны обладать следующими качествами:

-   прочностью, жесткостью и виброустойчивостью, чтобы исключить деформацию, как в процессе эксплуатации, так и при механической обработке под действием усилий зажимов и резания;

-       точностью и надежностью стыковых базовых поверхностей;

-       точностью и строгим расположением поверхностей.

Необходимо соблюдать следующие требования:

-   обрабатываемые поверхности с одной стороны детали целесообразно располагать в одной плоскости, что обеспечивает обработку на поход;

-       корпусные детали должны иметь хорошо развитые поверхности, выбираемые в качестве технологических баз, что обеспечивает надежную ориентировку и жесткое крепление детали;

-       нежелательно в конструкции корпуса иметь отверстия, оси которых расположены под углом относительно стенки, что создает неблагоприятные условия врезания;

-       крепежные отверстия должны быть стандартными по диаметрам и резьбам;

-       подрезка внутренних торцевых поверхностей может быть облегчена и сделана более точно, если конструкция будет обеспечивать свободный доступ режущего инструмента к месту обработки. Проектируемая деталь корпус исключает сложности, которые могут возникнуть при механической обработке.

Стандарт ИСО 2859-1:2007, согласно которому на АВЗ проводится контроль качества, предназначен для использования при применении ослабленного, нормального и усиленного контроля на продолжительной серии партий и позволяет защитить интересы потребителя при наличии уверенности производителя в том, что для продукции, качество которой лучше, чем АQL, приемка произойдет в большинстве случаев.

Цель стандарта состоит в том, чтобы побудить поставщика, через экономическую и психологическую угрозу возможности отклонения продукции, поддерживать процесс производства, позволяющий получить качество в среднем не хуже АQL, и в то же самое время обеспечивать риск ошибочного принятия партии низкого качества (риск потребителя) не выше установленного верхнего предела. Последовательность серии партий должна иметь достаточную продолжительность, чтобы обеспечить применение правил переключения.

Эти правила предусматривают следующее:

автоматическую защиту потребителя (посредством переключения на усиленный контроль) или приостановку контроля, когда обнаружено очевидное ухудшение качества;

стимул уменьшения затрат на контроль (посредством переключения на ослабленный контроль) по решению уполномоченного лица, если достигнуто последовательно хорошее качество.

В ходе проведения приемочного контроля в цехе тормозов ОАО "Автомобильного завода" решаются следующие задачи:

отбраковка партий, засоренность которых дефектной продукцией превышает уровень, установленный нормативно-технической документацией для нормального хода производства (при этом под нормальным ходом производства понимают такое его состояние, когда соблюдены основные требования технологии);

исключение спорных решений по результатам контроля, возможных из-за статистического характера процедуры выборочного контроля.


Таблица 2.2.1

Учет результатов наблюдений при проведении выборочного контроля в цехе тормозов Автомобильного завода

Номер выборки

X1

Х2

Х3

Х4

Х5

Сумма Х

Х Среднее

R

1

-3

-3

0

-1

1

-6

-1,2

4

2

0

-1

-2

3

-1

-1

-0,2

5

3

0

1

-4

1

4

2

0,4

8

4

-2

0

0

1

-4

-5

-1

5

5

1

-2

1

0

-2

-2

-0,4

3

6

0

0

0

0

0

0

0

0

7

2

-4

3

2

0

3

0,6

7

8

0

1

1

1

0

3

0,6

1

9

3

-1

2

-3

-1

0

0

6

10

1

1

1

1

0

4

0,8

1

11

1

-4

-2

-2

-1

-8

-1,6

5

12

2

1

1

0

1

5

1

2

13

0

-1

3

1

0

3

0,6

4

14

1

-2

0

1

-3

-3

-0,6

4

15

1

0

1

1

-1

2

0,4

2

16

0

2

0

-2

0

0

0

5

17

0

5

-1

-1

1

4

0,8

6

18

2

1

-1

-2

-1

-1

-0,2

4

19

2

0

0

0

-3

-1

-0,2

5

20

-4

2

0

1

-2

-3

-0,6

6

21

0

3

0

-1

2

4

0,8

4

22

1

1

-1

1

-1

1

0,2

2

23

1

3

2

2

0

8

1,6

3

24

0

0

2

2

2

6

1,2

2

25

-1

-3

0

-1

-1

-6

-1,2

3

Общее количество

9

1,8

97

Среднее значение

0,072

0,072

3,88


Пусть - результаты наблюдений, образующие одну выборку объемом n=5.

Выборочное среднее

 (2.2.1.)

арифметическое значение определяется как (i=1,2,.,n)

Размах этой выборки

, где

- максимальный результат наблюдений в выборке,

- минимальный результат наблюдений в выборке.

Далее находим среднее значение всех измерений, или общее среднее. Это можно выполнить при помощи сложения суммарной колонки и деления суммы на количество выборок (следует учесть, что некоторые из этих величин - отрицательные).

Если обозначим количество выборок через  (в данном случае равное 25), то общее среднее  можно определить по следующей формуле

 (2.2.2)

Затем определяем средний размах, разделив сумму разных значений размаха на количество выборок:

 (2.2.3)

Исходным документом, содержащим данные для заполнения контрольных карт, является установочный паспорт статистического управления процессами (приложение 12).

В установочный паспорт статистического управления процессами вносится план контроля (объем выборки, периодичность отбора выборок, тип контрольной карты, границы регулирования, средняя линия).

После этого значения  и  наносятся на контрольные карты в качестве контрольных линий (рис. 2.2.2 и 2.2.3). Предварительно строится контрольная карта  с целью определения состояния процесса - управляемое или не управляемое. На рис. 2.2.2 размах почти достигает верхней границы регулирования контрольной карты, следовательно, процесс разброса приближается к изменчивости, а состояние к неуправляемости.

Рис. 2.2.1. Контрольная карта  для данных, приведенных в таблице 2.2.1

Из всего вышесказанного можно сделать вывод, что имеются особые причины изменчивости процесса по разбросу. Поэтому перед руководством цеха возникает необходимость определить и устранить эти особые причины, а затем перейти к построению и анализу данных на контрольной карте .

Чтобы определить источник причины и провести корректирующие и предупреждающие действия по ее устранению, проводят анализ работы процесса. При проведении анализа процесса руководство цеха использует диаграмму Парето.

Построение диаграммы Парето состоит из следующих этапов.

Этап 1. Руководство решает, какие проблемы надлежит исследовать и как собирать данные.

. Какого типа проблемы необходимо исследовать.

. Какие данные надо собрать и как их классифицировать.

. Установить метод и период сбора данных.

На диаграмме Парето (рис.2.2.2) отражены следующие недостатки:

в организации производства;

невнимательное отношение к работе, в т.ч. при транспортировке;

испытание вновь принятых рабочих, дача на разряд;

наладка и переналадка оборудования и приспособлений;

обучение учеников прохождению производственной практике;

контроль методом разрушения;

несвоевременное изменение техпроцесса.

Примечание. Если это рекомендуется, необходимо использовать специальный бланк.

Этап 2. Разработать контрольный листок для регистрации данных с перечнем видов собираемой информации (табл.2.2.2). В нем надо предусмотреть место для графической регистрации данных проверок.

Контрольный листок (или лист) - это инструмент для сбора данных и автоматического их упорядочения для облегчения дальнейшего использования собранной информации.

Обычно контрольный листок представляет собой бумажный бланк, на котором заранее напечатаны контролируемые параметры, согласно которым можно заносить в листок данные с помощью пометок или простых символов (приложение 13). Он позволяет автоматически упорядочить данные без их последующего переписывания.

Таким образом, контрольный листок - хорошее средство регистрации данных. Число различных контрольных листков исчисляется сотнями, и в принципе для каждой конкретной цели может быть разработан свой листок. Но принцип их оформления остается неизменным. В качестве примера можно привести контрольный листок, применяемый для фиксирования отказавших деталей в регуляторе давления (таблица 2.2.2). При составлении контрольных листков следует обратить внимание на то, чтобы было указано, кто, на каком этапе процесса и в течение какого времен собирал данные, а также, чтобы форма листка была простой и понятной без дополнительных пояснений.

Таблица 2.2.2

Контрольный листок учета результатов наблюдений в цехе тормозов по корпусу

d

n

p


f

 

 

50

0

||||

||||

||||

||||

||||

||||

||||






34

1

50

0,02

||||

||||

||||

||||

||||

||||

||||

||||

||||




49

2

50

0,04

||||

||||

||||

||||

||||

||||

||||

||||

||||

||||

||||

||||

60

3

50

0,06

||||

||||

||||

||||

||||

||||

||||






35

4

50

0,08

||||

||||

||||

|||









18

5

50

0,10












3

6

50

0,12

|












1

7

50

0,14













0


Важно и то, чтобы все данные добросовестно фиксировались, и собранная в контрольном листке информация могла быть использована для анализа процесса. На основании собранных с помощью этих контрольных листков данных составляется таблица суммарных отказов:

Таблица 2.2.3

Таблица суммарных отказов

По всем моделям

Число отказов

Процент от общего числа отказов

1 2 3 4 5 6 7

0 1 0 0 0 0 0

0 100 0 0 0 0 0


Этап 3. Заполните листок регистрации данных о детали (корпус) и подсчитать итоги.

Этап 4. Для построения диаграммы Парето нужно разработать бланк таблицы для проверок данных, предусмотрев в нем графы для итогов по каждому проверяемому признаку в отдельности, накопленной суммы числа дефектов, процентов к общему итогу и накопленных процентов (таблица).

Этап 5. Расположить данные, полученные по каждому проверяемому признаку, в порядке значимости и заполните таблицу.

Этап 6. Начертить одну горизонтальную и две вертикальные оси.

. Вертикальные оси. Нанесите на левую ось шкалу с интервалами от 0 до числа, соответствующего общему итогу. На правую ось наносится шкала с интервалами от 0 до 100%.

. Горизонтальная ось. Разделите эту ось на интервалы в соответствии с числом контролируемых признаков.

Этап 7. Построить столбиковую диаграмму.

Этап 8. Начертите кривую Парето.

Рис. 2.2.2. Диаграмма Парето по причинам

Для этого на вертикалях, соответствующих правым концам каждого интервала на горизонтальной оси, нанесите точки накопленных сумм (результатов или процентов) и соедините их между собой отрезками прямых.

Этап 9. Нанести на диаграмму все обозначения и надписи.

. Надписи, касающиеся диаграммы (название, разметка числовых значений на осях, наименование контролируемого изделия, имя составителя диаграммы).

. Надписи, касающиеся данных: период сбора информации, объект исследования и место его проведения, общее число объектов контроля.

Соединив полученные точки прямыми линиями, получим кривую Парето (или диаграмму Парето), как это показано на рисунке.

Кривая Парето получилась сравнительно плавной в результате большого числа классов. При уменьшении числа классов она становится ломаной линией. На рисунке изображена диаграмма Парето по причинам. Эта диаграмма отражает причины проблем, возникающих в ходе производства, и используется для выявления главной из них: потери в денежных суммах при производстве регулятора давления. Далее контролером цеха заполняется форма о проведении типовых испытаний (приложение 14) на основании таблицы 2.2.6.

Таблица 2.2.6

Результаты проведенных испытаний

Обозначение

Наименование продукции

Выявленные несоответствия

Причина несоответствия

Корректирующие действия

Срок исполнения

Срок выполнения

Подтверждение выполнения коррект. действий

Срок оценки результативности











Далее для контрольных карт определяются следующие границы регулирования: - верхняя граница регулирования для контрольной карты средних арифметических значений

 (2.2.4.)

нижняя граница регулирования контрольной карты средних арифметических значений

 (2.2.5.)

- верхняя граница регулирования контрольной карты размаха;

- нижняя граница регулирования контрольной карты размаха, где - коэффициенты, зависящие от объема выборки.

Если выборка содержит 5 образцов корпусов регулятора (n=5), то

Рис. 2.2.3. Контрольная карта  для данных, приведенных в таблице 2.2.1

Указанные выше границы наносятся на контрольные карты. Если берется выборка, состоящая из партий деталей, то, как правило, все точки на контрольной карте находятся в установленных границах. И если точки на контрольной карте находятся в установленных границах, то соответствующий процесс считается налаженным. Но этот факт еще не говорит о том, удовлетворительно качество всех изделий. Если все точки на контрольной карте находятся внутри границ регулирования, то процесс считается налаженным до тех пор, пока условия производства не изменятся. Это значит, что все изменения являются естественными или случайными, т.е. хаотичными, и не происходят в силу определенных причин. Процесс, изображенный на рис.2.2.3 является управляемым, так как ни одна из точек не находится за пределами контрольных границ и не лежит по близости с ними, следовательно процесс не вышел из управляемого состояния. Если бы имелись выпавшие точки, то это указывало бы на наличие неслучайной (особой) причины и являлось бы сигналом для проведения дальнейших корректирующих действий. Результаты анализа причин записываются в нижней части оборотной стороны контрольной карты. По полученным результатам контрольных карт, в случае необходимости, разрабатываются корректирующие действия.

Гистограмма распределения обычно строится для интервального изменения значения параметра. Для этого на интервалах, отложенных на оси абсцисс, строят прямоугольники (столбики), высоты которых пропорциональны частотам интервалов. По оси ординат откладывают абсолютные значения частот (см. рисунок 2.2.4).

Рис. 2.2.4. Распределение долей брака партии деталей (корпусов регулятора давления) на примере цеха тормозов, шт.

Аналогичную форму гистограммы можно получить, если по оси ординат отложить соответствующие значения относительных частот. При этом сумма площадей всех столбиков будет равна единице, что оказывается удобно. Гистограмма также очень удобна для визуальной оценки расположения статистических данных в пределах допуска. Чтобы оценить адекватность процесса требованиям потребителя, мы должны сравнить качество процесса с полем допуска, установленным пользователем. Если имеется допуск, то на гистограмму наносят верхнюю (SU) и нижнюю (SL) его границы в виде линий, перпендикулярных оси абсцисс, чтобы сравнить распределение параметра качества процесса с этими границами. Тогда можно увидеть, хорошо ли располагается гистограмма внутри этих границ.

Как видно из гистограммы (рис.2.2.4) допуск после проведения испытаний в цехе тормозов детали корпус регулятора давления не произведен, границы не указаны. Гистограмма показывает распределение долей брака. Она служит примером изменения доли дефектных единиц продукции в выборке, которая может возникнуть, если выборки по 60 образцов отбираются из совокупности с долей дефектных единиц р’=0,03. Чем больше берется количество деталей, тем выше уровень брака, поэтому проверка при помощи выборочного контроля и составления гистограммы является эффективным методом устранения производство бракованных деталей. Если расположить все значения коэффициентов усиления в ранжированный ряд, все они будут находиться в пределах поля допуска, что создаст иллюзию отсутствия проблем. При построении гистограммы сразу становится очевидным, что распределение коэффициентов усиления хотя и находится в пределах допуска, но явно сдвинуто в сторону нижней границы и у большинства корпусов значение этого параметра качества меньше номинала, кроме 10 штук, которые находятся выше номинала. Это, в свою очередь, дает дополнительную информацию для дальнейшего анализа проблем.

Перед руководством цеха тормозов стоит определенная задача.

Стоит ли проводить 100% контроль качества, если стоимость контроля одного корпуса составляет 0,01 долл. на единицу продукции, а стоимость одной бракованной детали во время окончательной сборки - 4,00 долл.

Эту задачу руководство цеха тормозов решает, оценивая при этом выгоды и затраты, которые понесет предприятие при улучшении качества производства корпусов на 1%.

Если при производстве продукции имеется 0,03 дефектные единицы - без проверки, и 0,02 единицы - после проверки, то выигрыш на единицу продукции составит 0,010*$4,00=$0,04. Стоимость контроля - $0,01. Следовательно, выполнять такой контроль следует, поскольку это позволит сэкономить 0,03 долл. на единицу продукции. Предположим, если стоимость контроля не 0,01 долл., а 0,05 долл., то она будет на 0,01 долл. больше суммы выигрыша, следовательно, при таких условиях проверку проводить не стоит.

Руководству необходимо было решить, следует ли проверять качество корпусов, если при этом известно, что постоянная доля брака составляет 0,03 или 3% при выпуске партии деталей, состоящей из 50 шт.

Если бы руководство не требовало проверять качество корпусов, то выявленные 3% брака проходили бы через фазу сборки продукции, и позже их приходилось бы заменять. Если же проверять все детали, то будет выявлена одна треть дефектных деталей, что снизит уровень брака до 2%. Данные были получены в результате случайной выборки партии изделий, в которой содержится 60 штук корпусов.

Таким образом, перерасчет контрольных границ производится при выходе точек за границы регулирования из-за действия особых причин, которые должны быть найдены и по ним должны быть проведены корректирующие действия. При этом исключают точки, связанные с особыми причинами. Пересчитанные контрольные границы и среднюю линию наносят на контрольную карту и проверяют все ли данные при сравнении с новыми границами "под контролем". Если необходимо, снова проводят анализ, корректировку и перерасчет. Когда установлено, что процесс находится в статистически управляемом состоянии, проводят оценку возможностей процесса по стабильному выполнению технических требований. Эти карты используются при контроле по альтернативному признаку. Это значит, что после проверки изделие считается либо годным, либо дефектным и решение о качестве контролируемой совокупности принимают в зависимости от числа обнаруженных в выборке или пробе дефектных изделий или от числа дефектов, приходящихся на определенное число изделий (единиц продукции). Дефект - это каждое отдельное несоответствие продукции установленным требованиям. Брак - это продукция, передача которой потребителю не допускается из-за наличия дефектов.

Статистический приемочный контроль на ОАО "Автомобильный завод" проводится для проверки качества продукции установленным требованиям с применением статистических методов контроля, являясь при этом выборочным видом контроля.

Процедуры выборочного контроля по альтернативному признаку регулируются стандартом: ИСО 2859-1:2007, часть 1. Планы выборочного контроля последовательных партий на основе приемлемого уровня качества (АQL). Стандарт устанавливает систему выборочного контроля с планами, индексированными диапазонами объемов партии, уровнями контроля и АQL и определяет планы и процедуры выборочного контроля по альтернативному признаку отдельных единиц продукции. Стандарт содержит планы выборочного контроля для одно-, двух- и многоступенчатого контроля, индексированные процентом несоответствующих единиц продукции и несоответствиями на 100 единиц продукции.

.3 Недостатки применения статистических методов на Автомобильном заводе ОАО "КАМАЗ" (на примере цеха тормозов)

Несмотря на то, что семь инструментов контроля качества, применяемых на ОАО "Автомобильный завод" являются необходимыми и достаточными статистическими методами, применение которых помогает решить 95 % всех проблем, возникающих на производстве, методы статистического контроля имеют свои преимущества и недостатки. Для того чтобы выявить недостатки процесса применения статистических методов на АВЗ, проведем анализ качества продукции, проверенной контролерами ОТК для цеха тормозов.

Качество продукции - важнейшая экономическая категория и тесно связана с различными другими экономическими показателями, такими как трудовые ресурсы, их квалификация и профессионализм, от качества исходного сырья и материалов и т.д.

Таблица 2.3.1

Структура выпуска и возврата товара на переработку на производство по месяцам за 2007 г., по АВЗ.

Месяц

Выпуск продукции тыс. руб.

Возврат товара от покупателей и обнаружение брака на производстве тыс. руб.

Процент брака к готовой продукции %

Январь

2978,9

11,9

0,4%

Февраль

3410,0

20,5

0,6%

Март

3753,2

33,8

0,9%

Апрель

4254

38,3

0,9%

Май

5148,3

247,1

4,8%

Июнь

10689,7

513,1

4,8%

Июль

12264,6

380,2

3,1%

Август

12538,0

401,2

3,2%

Сентябрь

10284,3

339,4

3,3%

Октябрь

6678,5

220,4

3,3%

Ноябрь

4500,1

54

1,2%

Декабрь

3898,5

54,6

1,4%

Итого

80398,2

2314,5

2,9%


Таблица 2.3.2

Структура выпуска и возврата товара на переработку на производство по месяцам за 2008 г., по АВЗ

МесяцВыпуск продукции тыс. руб.Возврат товара от покупателей и обнаружение брака на производстве тыс. руб.Процент брака к готовой продукции %




Январь

3001,2

12,0

0,4%

Февраль

3405,0

17,0

0,5%

Март

3855,

34,7

0,9%

Апрель

4305

34,4

0,8%

Май

5178,0

336,6

6,5%

Июнь

10742,1

526,4

4,8%

Июль

12270,0

392,6

3,2%

Август

12553,5

414,3

3,3%

Сентябрь

10285,5

318,9

3,1%

Октябрь

6690,0

220,8

3,3%

Ноябрь

4980,1

69,7

1,4%

Декабрь

3912,0

46,9

1,2%

Итого

81177,3

2424,3

3,0%


Основной процент брака приходится на период май-ноябрь и за 2008 г. процент не поднимался выше 6,5% (336,6 тыс. руб.). А в период 2009 г. выше 5,1% (615,6 тыс. руб.), а наименьший процент брака приходится на весенне-зимний период в 2008 г. не более 1,2% (46,9 тыс. руб.), в 2009 г. не более 0,9% (36,9 тыс. руб.). Это негативная тенденция для АВЗ, так как основную массу прибыли около 84-87% приходится именно на осенне-летний период времени.

Таблица 2.3.3

Структура выпуска и возврата материала на переработку на производство по месяцам за 2009 г. по АВЗ

МесяцВыпуск продукции тыс. руб.Возврат товара от покупателей и обнаружение брака на производстве тыс. руб.Процент брака к готовой продукции %




Январь

3149,8

12,6

0,4%

Февраль

3575,0

16,1

0,4%

Март

4047,5

32,4

0,8%

Апрель

4520

36,2

0,8%

Май

5436,6

65,3

1,2%

Июнь

11277,9

338,3

3%

Июль

12882,7

373,6

2,9%

Август

13180,3

408,6

3,1%

Сентябрь

10799,1

615,6

5,1%

Октябрь

7024,1

295,0

4,2%

Ноябрь

5228,7

57,5

1,1%

Декабрь

4107,3

36,9

0,9%

Итого

85229

2288,1

2,7%


Итак, исходя из приведенных данных в таблицах 3 - 5 за период 2007 -2009 гг. можно увидеть то, что в среднем процент брака на производстве снизился на 0,3 % за счет смены поставщиков сырья, но значительного сокращения процента брака добиться не удалось. Так, например, в сентябре и октябре 2009 года имеет место несколько достаточно серьезных производственных сбоев, связанных с частичным и полным выходом из строя одного из шлифовальных станков цеха тормозов. Если присмотреться к данным, то можно заметить еще несколько серьезных увеличений процента брака, а именно в мае-июне 2008 года, также, отчасти связанное с неполадками в производственном оборудовании (короткое замыкание), но больше связанно с неудовлетворительным состоянием работы персонала (нарушение трудовой дисциплины и нарушение должностных инструкций) в тот период времени.

Имеющий место производственный брак с 2007-2009 гг., на сумму 7026,9 тыс. руб., серьезным образом влияет на финансовое состояние фирмы. Основными факторами брака продукции являются - нарушение трудовой и исполнительной дисциплины, устаревшее оборудование цеха тормозов.

Для кардинального повышения качества продукции, необходимо улучшить систему контроля технологии производственного процесса и за трудовой и исполнительной дисциплиной производственного персонала фирмы. Для этого также необходимо организовать курсы по повышению квалификации, как для рабочих, так и для служащих. Увеличить штрафные санкции за нарушения технологического процесса и т.д.

Выбор программы контроля представляется сложной комплексной задачей, включающей экономический, математический и организационно-технический аспекты.

Только научный подход к организации контроля позволяет разработать рациональную программу, обеспечивающую максимальный эффект. Основным методом контроля поступающих потребителю сырья, материалов и готовых изделий является статистический приемочный контроль качества продукции. Этот метод широко применяется в рамках производственного процесса на ОАО "Автомобильный завод".

На АВЗ на всех этапах жизненного цикла продукции установлены виды контроля и испытаний продукции, а также мониторинга процессов с указанием методов и средств измерений установленных параметров (показателей).

Результаты измерений и мониторинга регистрируются, анализируются и используются для:

- постоянного повышения результативности процессов СМК в соответствии с СТП 37.104.40.12;

- обеспечения соответствия СМК установленным требованиям в соответствии с СТП 37.104.40.15, СТП 37.104.40.08;

демонстрации соответствия продукции - согласно СТП 37.104.9003.

Для мониторинга и анализа результативности процессов определены методы их осуществления, в том числе и статистические (там, где это необходимо), которые:

- обеспечивают достоверность информации о качестве сырья и материалов, процесса, продукции и результата их деятельности в СМК;

обеспечивают получение исходных данных, характеризующих стабильность качества изготавливаемой продукции и предупреждение возникновения потенциальных несоответствий;

повышают уровень организации взаимоотношений между подразделениями внутри завода и в ОАО "КАМАЗ".

Используются следующие группы статистических методов:

- статистический анализ и оценивание информации в соответствии с СТП 37.104.40.11;

- статистическое управление процессами в соответствии с СТП 37.104.40.06;

статистический приёмочный контроль по альтернативному признаку в соответствии с СТП 37.104.44.06 и СТП 37.104.44.07.

- статистический анализ дефектов с помощью ПКУ в соответствии с ИК 37.104.58.690, И 37.104.58.241.

Данный вид контроля можно осуществлять с применением как простых средств измерения, например, предельных калибров (скобы, шаблоны, пробки и т.д.), так и более сложных средств измерения, включая автоматические измерительные устройства.

Однако статистический приемочный контроль по альтернативному признаку обладает и недостатками.

Основными источниками информации об удовлетворенности потребителей являются:

- жалобы и пожелания потребителей;

информация о качестве поставок от наиболее крупных потребителей;

средства массовой информации и аналитические обзоры;

информация с конференций, которую потребители проводят со своими поставщиками;

- работа с дилерами, в том числе совещания;

результаты анкетных опросов потребителей продукции АВЗ в соответствии с ИК 37.104.58.622.

Полученная информация об удовлетворённости потребителей доводится до сведения заинтересованных лиц, директора АВЗ и руководителей подразделений и используется для улучшения качества продукции и отражается в Карте анализа СМК АВЗ. Результаты этого анализа используются высшим руководством для установления степени достижения запланированных Целей и реализации Политики. Если запланированные результаты процесса не достигнуты, то проводятся корректирующие действия для улучшения результативности процесса. Цели по критериям процессов (нормативы показателей) утверждаются руководством процесса и могут изменяться в зависимости от поставленных руководством завода целей и задач в области качества.

Контроль по альтернативному признаку представляет собой контроль по качественному признаку. В ходе него проверенную единицу продукции относят к категории годных или дефектных, а последующее решение о контролируемой совокупности принимают в зависимости от числа дефектных единиц или числа дефектов на определенное число единиц продукции. Достоинства и недостатки статистического приемочного контроля по альтернативному признаку приведены в таблице 2.3.4.

Таблица 2.3.4

Достоинства и недостатки статистического приемочного контроля по альтернативному признаку

Достоинства

Недостатки

1. Не требует использования сложного контрольно-измерительного оборудования. 2. Не требует высококвалифицированных специалистов, большого времени. 3. Не требует большого числа записей и вычислений для определения судьбы контролируемой партии; 4. Не требует больших затрат. 5. Позволяет по результатам контроля партии продукции разделить единицы продукции на годные и дефектные.

1. Требует значительно большего объема выборки (по сравнению с контролем по количественному признаку). 2. Менее информативен. 3. Не дает точного представления о положении признака качества внутри поля допуска, в результате чего снижается вероятность обнаружения неприемлемых результатов.


Поставленная задача наиболее просто и точно решается с помощью, так называемого, сплошного контроля, когда испытанию подвергается каждое изготовленное изделие. Однако на таком производственном предприятии, как ОАО "КАМАЗ" такой контроль часто невозможен:

во-первых, сплошной контроль не всегда экономически оправдан;

во-вторых, контроль должен быть неразрушающим, т.е. изделие после контроля не должно терять свои потребительские свойства.

Преимущества и недостатки статистического приемочного контроля по количественному признаку приведены в таблице 2.3.5.

Таблица 2.3.5

Преимущества и недостатки статистического приемочного контроля по количественному признаку

Преимущества

Недостатки

1. Требует небольшого объема выборки. 2. Дает точные выводы о стабильности, помехах и смещении уровня настройки процесса изготовления изделий. 3. Имеем точное представление о положении признака качества внутри поля допуска.

1. Для контроля требуется более сложное оборудование. 2. Необходимы высококвалифицированные специалисты, что повышает стоимость и снижает эффективность контроля. 3. Разработка планов может потребовать значительно больших затрат труда. 4. Применим только для одного контролируемого параметра. 5. Возможно, что партия будет забракована, если даже ни один из результатов измерения в выборке не лежит вне границ допуска на изготовление.


Таким образом, проведение контроля всегда увеличивает издержки производства, поэтому часто контроль качества продукции связывают с дополнительными непроизводственными расходами, ухудшающими экономические результаты деятельности предприятий. Однако нельзя не учитывать, что при правильно организованном контроле снижаются расходы на изготовление и эксплуатацию некачественной продукции. Статистический приемочный контроль может проводиться на различных этапах производства, а именно: при получении товара (входной контроль сырья и материалов); при переходе от одной ступени производства к другой (промежуточный контроль); при выпуске изделий (выходной контроль).

Статистические методы контроля качества в настоящее время применяются не только в производстве, но и в планировании, проектировании маркетинге, материально-техническом снабжении и т.д. Последовательность применения семи методов может быть различной в зависимости от цели, которая поставлена перед системой. Точно так же применяемая система контроля качества не обязательно должна включать все семь методов. Их может быть меньше, а может быть и больше, так как существуют и другие статистические методы.

Однако можно с полной уверенностью сказать, что семь инструментов контроля качества являются необходимыми и достаточными статистическими методами, применение которых помогает решить 95 % всех проблем, возникающих на производстве.

3. Совершенствование статистических методов на Автомобильном заводе ОАО "КАМАЗ"

.1 Предложения по совершенствованию статистических методов на Автомобильном заводе ОАО "КАМАЗ"

Статистические методы управления качеством продукции обладают таким важным преимуществом, как возможность обнаружения отклонения от технологического процесса ели установленных требований не тогда, когда продукция изготовлена и представлена на контроль, а в процессе ее производства, т.е. когда можно своевременно вмешаться в процесс; производства и скорректировать его.

Внедрение статистических методов управления качеством продукции должно сочетаться с внедрением или совершенствованием технологических процессов и считаться экономически целесообразным, если на управление и убытки от брака после внедрения статистических методов меньше, чем до их внедрения, т.е. основывается на экономическом анализе возможных последствий, вызванных правильными или ошибочными решениями.

Конечной целью внедрения статистических методов управления качеством продукции является оптимизация производственных процессов и производства в целом для значительного повышения эффективности производства, качества продукции, культуры производства, квалификации специалистов и т.д., и получения максимального эффекта от затрачиваемых материальных и трудовых ресурсов.

Оценку экономической эффективности внедрения статистических методов управления качеством продукции на предприятии ОАО "Автомобильный завод" автор рекомендует проводить до и после внедрения статистических методов. С этой целью можно использовать методику оценки экономической эффективности внедрения статистических методов на предприятии для контроля качества продукции.

Необходимо иметь в виду, что в условиях массового производства, как на ОАО "Автомобильный завод", даже такой очень жесткий вид контроля, как сплошной, не гарантирует абсолютное качество продукции:

при сплошном контроле и при разбраковке изделий контролер быстро устает,

его внимание ослабевает, в результате чего он может пропустить дефектное изделие и забраковать годное.

Чтобы гарантировать безупречную оценку "качества продукции, необходимо, как показали многочисленные исследования, проводить шестикратный сплошной контроль.

Автор рекомендует усовершенствовать процесс использования статистических методов контроля качества по следующим направлениям, указанным на рисунке 3.1.1.

Рис. 3.1.1 Направления совершенствования использования статистических методов на предприятии ОАО "Автомобильный завод"

Для оценки эффективности и целесообразности внесения предлагаемых изменений в конструкцию выпускаемой продукции и технологию ее изготовления проводят испытания по категории типовых испытаний, порядок проведения которых излагается в следующей инструкции, предлагаемой автором.

. Общие положения:

.1. Внедрение статистических методов управления качеством продукции должно начинаться с разработки общей программы по внедрению статистических методов на предприятии АВЗ или раздела к целевой научно-технической программе по качеству (ЦНТП), а также назначения служб и производственных подразделений, ответственных за их внедрение.

.2. Координацию, методическое руководство и контроль реализации этой программы или раздела к ЦНТП руководитель предприятия, как правило, возлагает на одну из технических служб, в составе которой должна находиться лаборатория (бюро или группа) статистических методов управления качеством продукции.

.3. Предложения к программе или разделу ЦНТП внедрения статистических методов управления качеством продукции разрабатываются всеми службами и производственными подразделениями предприятия для своих участков по принадлежности.

.4. Подготовленные службами и производственными подразделениями предложения к программе или разделу ЦНТП согласовываются с технической службой, осуществляющей координацию, методическое руководство и контроль внедрения статистических методов управления качеством продукции на предприятии и передаются ей для составления и утверждения у руководства предприятия общей программы по предприятию.

.5. Утвержденная программа или раздел к ЦНТП внедрения статистических методов управления качеством продукции должны быть, по возможности, отражены в производственной нормативно-технической или технической документации.

. Требования к рабочим основного производства в отношении процедуры проведения контроля статистическими методами.

.1. В нормативно-технической или технической документации для каждого работника предприятия следует установить его задачи в области качества, меру ответственности и полномочия.

.2. Необходимо определить круг лиц /отделов, цехов/ в какой мере, с кем каждый работник должен взаимодействовать при решении поставленных задач с применением статистических методов управлениям

.3. Необходимо выполнять операции в строгом соответствии с технологическим процессом;

.4. Контролировать в соответствии с установленным для него планом статистического контроля качества производимой им продукции или параметры технологического процесса;

.5. Отбирать выборки и замерять контролируемые параметры;

.6. Вести контрольную карту;

.7. Своевременно выдавать наладчику или сменному технологу, мастеру и т.д. сигналы о нарушении работы технологического процесса и т.д.

Требования к содержанию программ по внедрению статистических методов управления качеством продукции.

.1. Разработка перечня технологических операций и показателей качества, подлежащих переводу на статистические методы;

.2. Выбор объектов и их очередность перевода на статистические методы;

.3. Разработка планов статистического анализа, регулирования и контроля технологических процессов и качества продукции /оборудования/ ОАО "Автомобильного завода";

.4. Проведение работ по оценке точности и стабильности технологических процессов и оборудования;

.5. Оценка экономической эффективности и целесообразности внедрения статистических методов;

.6. Разработка плана мероприятий по материально-техническому и организационному обеспечению внедрения статистических методов;

.7. Определение служб и участков, производственных подразделений и конкретных исполнителей по внедрению статистических методов;

.8. Организация подготовки специалистов по статистическим методам управления качеством продукции непосредственно на предприятии ОАО "Автомобильный завод";

.9. Разработка сетевого графика /планирования/ внедрения службами, и производственными подразделениями статистических методов управления качеством продукции;

.10. Разработка формы отчетности и стимулирования за внедрение статистических методов управления качеством продукции.

Примечание. Под объектом понимается: продукция, оборудование, технологические процессы, режимы и т.д.

Автор предлагает пересмотреть процесс внедрения статистических методов управления качеством продукции на предприятии ОАО "Автомобильный завод" согласно алгоритму, приведенному на рис.3.1.2.

Рис. 3.1.2 Алгоритм внедрения статистических методов управления качеством продукции

Рис. 3.1.3 Этапы внедрения статистических методов управления качеством продукции на ОАО "Автомобильный завод"

Внедрение статистических методов управления качеством продукции в будущем следует рассматривать как систему взаимоувязанных и взаимосогласованных мероприятий, направленных на существенное повышение эффективности производства и качества продукции ОАО "Автомобильный завод". Так как на предприятии используются не все статистические методы контроля качества, то процесс внедрения следует осуществлять по этапам.

На рисунке 3.1.3 приведен алгоритм, определяющий последовательность действий служб и производственных подразделений при внедрении статистических методов управления качеством продукции на предприятии.

Статистический анализ на предприятии ОАО "Автомобильный завод" рекомендуется в будущем проводить с целью:

. Выявления резервов производства.

. Технологии, монтажа, поиска рынка сбыта.

. Оценки результатов испытаний опытных образцов при обосновании требований к продукции и нормативов на нее.

. Обоснования выбора технологического оборудования и средств измерения и испытаний.

. Установления соответствия качества продукции требованиям нормативно-технической и технической документации.

. Сравнения различных образцов продукции.

. Обоснования целесообразности замены сплошного контроля на выборочный контроль и т.д.

На этапе определения служб и производственных подразделений, ответственных за внедрение статистических методов управления качеством продукции на конкретном участке, в данном случае цеха тормозов, требуется определить функции и обязанности этих служб и производственных подразделений.

Конструкторское бюро обязано:

1.  Проводить расчет входных и выходных параметров производства корпусов регулятора давления.

2.  Проводить оценку и выбор средств измерений.

.        Обосновывать требования к покупным материалам, сырью для изготовления корпуса.

.        Разрабатывать и корректировать конструкторскую документацию.

Отдел главного технолога обязан:

1.  Разрабатывать техническую документацию по методологии входного контроля сырья, материалов и комплектующим изделиям.

2.       Оценивать точность и стабильность технологических процессов и оснастки.

3.  Разрабатывать мероприятия по отладке технологического процесса.

4.       Выбирать объект документального внедрения статистических методов.

5.  Анализировать дефекты в процессе производства и причины их возникновения.

6.  Анализировать контрольные карты.

7.       Корректировать технологическую документацию.

Отдел технического контроля обязан:

1.  Организовать входной контроль качества сырья и материалов на изготовление корпуса регулятора давления совместно с ОМТС.

2.       Подготовить предложения по вопросам точности и стабильности технологических процессов изготовления корпуса регулятора.

3.  Подготовить бланки контрольных карт.

4.       Вести контрольные карты.

5.  Проводить инструктаж контролеров по правилам ведения контрольных карт.

6.       Осуществлять сбор и накопление информации по результатам входного, операционного и приемочного контроля качества корпусов для последующих оценок.

7.  Сигнализировать рабочему или наладчику и принятие мер по обнаруженным отклонениям.

8.  Осуществлять приемо-сдаточные испытания корпусов регулятора.

Отдел главного энергетика обязан:

1.  Оценивать стабильность и качество работы энергоносителей.

2.       Вести учет расходов энергоресурсов.

3.  Вести учет установленной базы простоев энергетического оборудования.

Отдел материально-технического развития обязан:

1. Проводить обоснование требований к покупным материалам, полуфабрикатам, сырью и комплектующим изделиям.

. Оценивать стабильность поставщиков.

. Вести учет, анализ хранения и транспортирование сырья, полуфабрикатов и комплектующих изделий.

. Организовывать входной контроль сырья, материалов и комплектующих изделий.

. Определять сроки хранения корпусов на складе.

. Определять периодичность проверки качества хранения корпусов.

. Проводить контроль качества продукции после их транспортировки.

8. Определять количество складских помещений и т.д.

Отдел подготовки производства обязан:

1. Вести расчет и оценку плановых показателей (по объему);

. Вести расчет и оценку резерва производственного и технологического оборудования;

3. Вести оценку показателей производственного процесса, анализ учета утилизации продукции.

Плановый отдел обязан: разрабатывать формы и методы оперативного учета и отчетности о качестве продукции в условиях внедрения статистических методов управления качеством продукции.

Отдел труда и заработной платы обязан: разрабатывать формы и методы материального поощрения за внедрение статистических методов управления качеством продукции рабочих, наладчиков, контролеров, инженерно-технических и других работников предприятия.

Отдел по подготовке кадров обязан: организовать подготовку специалистов предприятия по статистическим методам; осуществлять обмен опытом предприятия АВЗ в области внедрения статистических методов с другими предприятиями.

Отдел стандартизации обязан: выдавать информацию о новых документах по статистическим методам управления качеством продукции; проводить экспертизу записи планов статистических методов управления качеством продукции в технические документы; организовать внедрение документов по статистическим методам в производство и т.д.

Отдел механизации и автоматизации технологических процессов обязан: разрабатывать средства механизации и автоматизации статистических методов управления качеством продукции и их внедрение.

Отдел маркетинга обязан: определять потребности продукции и услуг; определять рыночный спрос и области реализации продукции; анализировать требования потребителей и конкурентоспособности продукции на внешнем рынке; анализировать внешние источники информации о качестве продукции.

Лаборатория надежности обязана: прогнозировать и планировать уровень надежности и долговечности продукции; проводить оценку надежности технологических систем и продукции.

Центральная лаборатория АВЗ обязана: проводить оценку и анализ и испытания различных видов сырья, материалов, полуфабрикатов и комплектующих изделий, используемых при производстве корпуса.

Цех тормозов обязан:

1. Организовывать выполнение плана мероприятий по внедрению статистических методов управления качеством продукции.

2. Создавать условия для внедрения статистических методов.

3. Осуществлять наглядный показ достижений по внедрению статистических методов в цехе тормозов.

4. Поддерживать технологические процессы и оборудование цеха в стабильном состоянии.

5. Проводить анализ контрольных карт и результатов внедрения статистических методов и т.д.

Наладчики и рабочие цеха тормозов обязаны: производить отладку технологического оборудования и технологических операций; вести контрольные карты; осуществлять отбор выборок или проб и их замер, нанесение результатов контроля на контрольные карты и т.д.

Приемо-сдаточные и периодические испытания в должны обеспечивать достоверную проверку всех свойств выпускаемой продукции, подлежащих контролю, и представлять собой элементы приемки продукции у АВЗ.

Периодические испытания не проводят в тех случаях, когда все требования стандартов проверяют при приемо-сдаточных испытаниях, объем которых достаточен для контроля качества и приемки продукции. Испытания проводят в соответствии с требованиями стандартов на продукцию, правил приемки и методов испытаний.

При отсутствии подобных стандартов или при отсутствии в них необходимых требований дополнительные требования к испытаниям включают в программу и методику испытаний, инструкцию и т. п.

Выбор объекта проведения испытаний методом статистического контроля опирается на операции контроля или испытаний, которыми невозможно охватить весь объем продукции, а также технологических процессов, связанных с механизацией и автоматизацией контроля или испытаний продукции.

В документах, по которым проводят испытания, в общем случае должны будут установлены:

требования к продукции, подлежащие контролю;

категории и виды испытаний, включая состав проверок, последовательность их проведения и распределение проверок по категориям испытаний;

планы контроля;

методы испытаний и условия (режимы) испытаний;

требования к средствам испытаний;

требования по количеству единиц продукции, отбираемых для испытаний, и по порядку отбора единиц продукции;

требования по подготовке к проведению испытаний;

порядок обработки данных, полученных при испытаниях, и критерии принятия решений по ним, а также порядок оформления и представления результатов испытаний;

требования по принимаемым решениям и области распространения результатов испытаний.

Выбор контролируемых показателей качества и места проведения контроля осуществляется службами и производственными подразделениями, отвечающими за разработку нормативно-технической и технической документации на технологические процессы совместно с отделом технического контроля и технической службой, осуществляющей координацию, методическое руководство и контроль внедрения статистических методов управления качеством продукции предприятия ОАО "Автомобильный завод".

В процессе испытаний не допускается подстраивать (регулировать) единицы продукции и заменять входящие в них сменные элементы, если это не предусмотрено специальными требованиями стандартов на продукцию. Продукцию, предназначенную для функционирования совместно с продукцией другого вида, рекомендуется испытывать во взаимосвязи с последней в условиях, максимально приближенных к реальным условиям эксплуатации (на стенде, с имитатором и т.п.).

Если продукция испытана в объеме и последовательности, которые установлены для данной категории испытаний, а результаты подтверждают соответствие заданным требованиям, то результаты испытаний продукции считают положительными, а продукцию выдержавшей испытания.

Результаты испытаний единиц продукции считают отрицательными, а продукцию не выдержавшей испытания, если установлено несоответствие продукции, хотя бы одному требованию, установленному в стандартах на продукцию.

Автор предлагает внедрение на предприятии ОАО "Автомобильный завод" диаграмму Исикавы в качестве метода проведения статистического контроля качества. Причинно-следственная диаграмма (диаграмма Исикавы) - инструмент, позволяющий выявить наиболее существенные факторы (причины), влияющие на конечный результат (следствие). Если в результате процесса качество изделия оказалось неудовлетворительным, значит, в системе причин, т.е. в какой-то точке процесса, произошло отклонение от заданных условий. Если эта причина может быть обнаружена и устранена, то будут производиться изделия только высокого качества. Более того, если постоянно поддерживать заданные условия процесса, то можно обеспечить формирование высокого качества выпускаемых изделий. Важно также, что полученный результат - показатели качества (точность размеров, степень чистоты, значение электрических величин и т.д.) - выражается конкретными данными. Используя эти данные, с помощью статистических методов необходимо контролировать процесс, т.е. проверять систему причинных факторов. Таким образом, процесс контролируется по фактору качества.

3.2 Ожидаемый результат от внедрения мероприятий

Информация о показателях качества для построения диаграммы Исикавы собирается из всех доступных источников; используются журнал регистрации операций, журнал регистрации данных текущего контроля, сообщения рабочих производственного участка и т.д.

При построении диаграммы выбираются наиболее важные с технической точки зрения факторы. Для этой цели широко используется экспертная оценка. Очень важно проследить корреляционную зависимость между причинными факторами (параметрами процесса) и показателями качества. При анализе дефектов изделий их следует разделить на случайные и систематические, обратив особое внимание на возможность выявления и последующего устранения в первую очередь причины систематических дефектов.

Общая схема причинно-следственной диаграммы приведена ниже:

Рис. 3.2.1 Схема причинно-следственной диаграммы

Где:

1.       Система причинных факторов

2.       Основные факторы производства

.        Материалы

.        Операторы

.        Оборудование

.        Методы операций

.        Измерения

.        Процесс

.        Следствие

.        Параметры качества

.        Показатели качества

.        Контроль процесса по фактору качества

Диаграмма Исикавы - это схема, показывающая отношение между показателем качества контролируемого размера детали (результат) и воздействующими на него факторами (причины). Результат процесса зависит от многочисленных факторов, между которыми существуют отношения типа причина - результат. Причины, влияющие на технологический процесс, приведены на рис. 3.2.2 и в таблице 3.2.1.

Рис. 3.2.2 Диаграмма "причины - результаты" (схема Исикавы)

Проконтролировать все эти причинные факторы невозможно. Даже если бы это было возможным, такая работа была бы не рентабельной. Если следовать принципу Парето (диаграмма Парето), требуется стандартизировать два три наиболее важных фактора и управлять ими. Сначала нужно выявить эти главные факторы это можно определить методом мозговой атаки, то есть когда собирается группа экспертов - людей, которые имеют отношения или знакомы с конкретным процессом и обсуждают сложившуюся ситуацию.

Таблица 3.2.1

Причины, влияющие на технологический процесс

1. заготовка

1.1 твердость

1.2 точность размеров


1.3 погрешность формы поверхностей

1.4 погрешность расположения поверхностей

2. приспособление

2.1 Погрешность изготовления

2.2 погрешность установки на станке


2.3 погрешность базовых поверхностей

3. инструмент

3.1 материал

3.2 геометрия


3.3 износ

4. оборудование

4.1 специальное

4.2 специализированное


4.3 универсальное

4.4 станки с ЧПУ

5. обработка

5.1 режимы

5.2 охлаждение


5.3 вибрации

5.4 время (машинное)


5.5 количество смен

6. внешние факторы

6.1 пыльность

6.2 загазованность


6.3 освещенность

6.4 температура окружающей среды

Потом берется одна из наиболее важных причин и с помощью диаграммы Исикавы определяется схема, которая представляет собой цепь причин и результатов.

План действий, который будет использован в ходе внедрения метода контроля с помощью диаграммы Исикавы, составлен с целью улучшить бездефектное производство регулятора давления, процедура внедрения должна проводиться через цех тормозов и распределяться на другие подразделения АВЗ (приложение 15). Это позволит выявить и сгруппировать условия и факторы, влияющие на данную проблему.

Изучаемая проблема условно изображается в виде прямой горизонтальной стрелки. Причины и факторы прямо и косвенно влияющие на проблему, изображаются наклонными стрелками.

При анализе должны выявляться и фиксироваться все факторы, даже те, которые кажутся незначительными, так как цель схемы - отыскать наиболее правильный и эффективный способ решения поставленной проблемы, а на практике достаточно часто встречаются случаи, когда можно добиться хороших результатов путем устранения нескольких, на первый взгляд несущественных причин.

Перед цехом стоит проблема - бездефектное, качественное производство запчастей для грузового автомобиля. Используя диаграмму "причины- результаты", руководство сможет проанализировать проблему, выявить и сгруппировать условия и факторы, влияющие на неупорядоченность системы управления качеством.      Информация о показателях качества для построения диаграммы собирается из всех доступных источников; используются журнал регистрации операций, журнал регистрации данных текущего контроля, сообщения рабочих производственного участка и т.д. При построении диаграммы выбираются наиболее важные с технической точки зрения факторы. Для этой цели широко используется экспертная оценка. Очень важно проследить корреляционную зависимость между причинными факторами (параметрами процесса) и показателями качества. В этом случае параметры легко поддаются корреляции. Для этого при анализе дефектов изделий их следует разделить на случайные и систематические, обратив особое внимание на возможность выявления и последующего устранения в первую очередь причины систематических дефектов.

Важно помнить, что показатели качества, являющиеся следствием процесса, обязательно испытывают разброс. Поиск факторов, оказывающих особенно большое влияние на разброс показателей качества изделия (т.е. на результат), называют исследованием причин.

Диаграмма Исикавы предназначена для анализа причин, вызывающих увеличение брака готовой продукции - регулятора давления.

Причинно-следственная диаграмма, являясь одним из семи инструментов контроля качества, используется во всем мире применительно не только к показателям качества продукции, но и к другим областям диаграмм. Можно предложить процедуру ее построения, состоящую из следующих основных этапов. Предположительно построение диаграммы должен осуществлять технолог для цеха тормозов, производственный процесс которого он обязан контролировать.

Этап 1. Определить показатель качества, т.е. тот результат, который необходимо достичь (в данном случае брак готовой продукции является показателем качества, а цех тормозов - объектом внедрения статистического метода по регулятору давления).

Этап 2. Написать выбранный показатель качества в середине правого края чистого листа бумаги. Слева направо провести прямую линию ("хребет"), а записанный показатель заключите в прямоугольник (рис.3.2.3). Далее написать главные причины, которые влияют на показатель качества, заключить их в прямоугольники и соединить с "хребтом" стрелками в виде "больших костей хребта" (главных причин).

Этап 3. Нужно написать (вторичные) причины, влияющие на главные причины ("большие кости") и расположить их в виде "средних костей", примыкающих к "большим". Так же нужно написать причины третичного порядка, которые влияют на вторичные причины, и расположить их в виде "мелких костей", примыкающих к "средним" (рис. 3.2.3).

Этап 4. Проранжировать причины (факторы) по их значимости, используя для этого диаграмму Парето, и выделить особо важные, которые предположительно оказывают наибольшее влияние на показатель качества.

Этап 5. Нанести на диаграмму всю необходимую информацию: ее название; наименование изделия, процесса или группы процессов; имена участников процесса; дату и т.д.

Рис.3.2.3 Диаграмма Исикавы

Где: П - брак готовой продукции цеха тормозов по регулятору давления.

- Механические неисправности (проблемы с включением и выключением регулятора).

1.1     - повреждение комплектующих деталей:

1.1.1 - повреждена пружина;

.1.2 - повреждена манжета;

.1.3 - поврежден клапан;

1.2     - засорение комплектующих деталей;

1.3     - поломка комплектующих деталей;

2        - Наличие поверхностных дефектов.

.1       - коррозия металла;

2.2     - поверхностные дефекты в соответствии с ТУ чертежа:

2.2.1  - засоры каналов;

2.2.2  - засор фильтра;

.2.3    - засор отверстий.

. - Качество сборки регулятора давления.

.1 - интервал между давлением включения и выключения регулятора в пределах ТУ;

.2 - отсутствие подачи сжатого воздуха в систему;

.3 - утечка воздуха через вывод в атмосферу.

. - Механическая обработка корпуса регулятора давления.

.1 - Вид используемого оборудования:

4.1.1 - заточный станок;

.1.2 - внутришлифовальный станок;

.1.3 -плоскошлифовальный станок;

.2 - качество инструмента;

1.1     - квалификация рабочего.

Теперь сделаем необходимые выводы. С помощью диаграммы "причины-результат" были выявлены факторы, которые влияют на качество готового регулятора давления на всех стадиях технологического процесса. То есть, получена информация, необходимая специалисту для принятия управляющих решений.

Таким образом, первой по значимости причиной при выборе объекта (регулятора давления) являются механические неисправности, вторая причина - наличие поверхностных дефектов, третья - качество сборки регулятора давления и четвертая - механическая обработка корпуса регулятора давления.

Как видно из диаграммы (рис.3.2.4) внедрение метода построения диаграммы Исикавы в цехе тормозов для исследования показателей качества по выпускаемой детали грузовых автомобилей регулятора давления с целью уменьшить показатель качества продукции приводит к значительному снижению показателей уровня брака готовой продукции.

Рис. 3.2.4 Диаграмма первопричин до внедрения статистического метода контроля с использованием причинно-следственной диаграммы,(%)

Таблица 3.2.2

Данные результатов ранжирования, %

Номер

Параметры

Процентное соотношение до внедрения метода

Процентное соотношение после внедрения метода

1

Механические неисправности

63,3

52,7

2

Поверхностные дефекты

15,9

27,1

3

Качество сборки

12,8

12,3

4

Механическая обработка корпуса

8,0

7,9


Далее необходимо выявить те первопричины, которые создают наибольшие трудности. Для этого используем диаграмму Парето. Она позволит осуществить распределение усилий и объективно представить фактическое положение дел в цехе тормозов в понятной и наглядной форме, где проблемы качества оборачиваются потерями изделий и затрат, связанных с их производством. Чрезвычайно важно прояснить картину распределения потерь. Большинство из них будет обусловлено незначительным числом видов основных дефектов, вызванных небольшим числом главных причин.

Механические неисправности регулятора давления играют наиболее важную роль в процессе производства готовой продукции, они определяют пригодность детали в целом (включается регулятор или нет). Поверхностные дефекты (к ним относятся и дефекты детали корпуса) имеют наибольшее влияние на качество готового регулятора, так как внешние и внутренние дефекты регулятора давления могут при введении в детали эксплуатацию препятствовать работе тормозной системы в целом, что резко понизит качество работы детали, приведет к преждевременному физическому износу. Качество отдельных комплектующих деталей, входящих в комплект регулятора давления, также влияет на получение бездефектной продукции, поэтому на втором месте стоит качество сборки регулятора давления. В случае необходимости комплектующие изделия будут меняться на новые детали в процессе эксплуатации грузового автомобиля, но такую возможность необходимо исключить с наибольшей вероятностью в процессе контроля качества готовой продукции. Механическая обработка корпуса регулятора давления на четвертом месте, так как производство корпуса связано с литейными, кузнечными и штамповочными производствами, но различные вмятины, шероховатости, не прочность и деформация вследствие этого должны быть исключены.

Теперь расположим данные в порядке значимости, определим кумулятивный результат ранжирования (табл.3.2.3), используя данные (см. табл. 3.2.2) и построим диаграмму Парето.

Таблица 3.2.3

Данные результатов ранжирования, %

Номер

Параметры

Кумулятивный результат - до внедрения метода контроля качества, %

Кумулятивный результат - после внедрения метода контроля качества, %

1

Механические неисправности

63,3

52,7

2

Поверхностные дефекты

79,2

79,8

3

Качество сборки

92

92,1

4

Механическая обработка корпуса

100

100


Таким образом, выяснив причины появления основных важных дефектов, можно устранить почти все потери, сосредоточив усилия на ликвидации именно этих причин. В этом и заключен принцип ныне широко применяющейся диаграммы Парето. Диаграмма Парето по причинам возникновения бракованных деталей при изготовлении регулятора представлена на рисунке 3.2.5.

В данном случае диаграмма Парето отражает причины проблем, возникающих в ходе производства, и используется для выявления главной из них - наличия механических неисправностей в механизме регулятора давления тормозов.

Рис. 3.2.5. Диаграмма Парето до внедрения метода,(%)

Для наглядности исследования данные результатов ранжирования также отражены на диаграмме (рис. 3.3.6).

В последнем случае в качестве готовой продукции намечены сдвиги в сторону улучшения, так как кривая кумулятивного результата ранжирования более пологая, расположена ближе к оси параметров, чем в первой диаграмме Парето (см. рис.3.2.5).

Рис. 3.2.6. Диаграмма Парето после внедрения метода,(%)

В ходе внедрения статистического метода с использованием причинно-следственной диаграммы (Исикавы), ранее не используемой на АВЗ, было выяснено, что главной причиной появления брака стало качество комплектующих деталей, далее в порядке убывания:

По фактору 1 (механические неисправности).

По фактору 2 (наличие поверхностных дефектов).

По фактору 3 (качество сборки).

По фактору 4 (механическая обработка).

При этом наибольшее внимание следует уделить фактору 2, так как анализ двух диаграмм Парето показал, что качество готовой продукции по корпусам и другим комплектующим деталям, составляющим поверхность регулятора давления, осталось на прежнем уровне и ухудшилось.

Наглядность методов построения диаграмм Исикавы и Парето позволяет наиболее точно определить слабые места в процессе обеспечения качества в ходе контроля в цехе тормозов предприятия ОАО "Автомобильный завод".

Анализируя факторы, формирующие данную проблему, можно принять следующие меры, позволяющие повысить качество регулятора давления по фактору 2. При использовании шлифовальных станков значительно увеличится точность обработки поврежденной детали. Квалификация персонала также имеет большое значение для качественного выполнения детали. Не следует поручать рабочим низшего разряда выполнение работы более высокого уровня. Качество деталей при механической обработке зависит и от используемого инструмента. Контроль качества регулятора давления предусматривает контроль качества геометрических размеров и контроль прочности детали корпуса. Ремонт регулятора давления можно осуществить, используя в качестве замены новые детали, либо очистив старые.

Таким образом, простого коллегиального обсуждения основных причин решаемой проблемы обычно недостаточно, так как мнения разных лиц и инстанций субъективны, некорректны. В процессе внедрения нового метода статистического контроля на предприятии ОАО "Автомобильный завод" был разработан план, в котором указывались необходимые действия для достижения бездефектного выпуска регулятора давления в следующие сроки: проект с 01.03.10 г. по 01.06.10г.

В основе любого мероприятия должна лежать достоверная информация. Именно такую информацию позволяет получить диаграмма Парето. Для построения диаграммы Парето автором было предложено ранжирование первопричин возникновения показателя качества готовой продукции - уровня брака. Для этого были разработаны бланки таблиц, а в них предусмотрены графы для процентов к общему итогу и кумулятивных процентов, ранжирование проводилось до внедрения метода статистического контроля с использованием причинно-следственной диаграммы и после, согласно предлагаемой автором инструкции и этапам внедрения, описанным в ней.

Выводы и предложения

В заключение сделаем вывод, что диаграмма причины - результат является очень эффективным средством для выявления факторов и причин, влияющих на проблему. В результате применения метода Парето получена необходимая информация для анализа бездефектного производства и принятия специалистом управляющих решений.

Все большее освоение новой для нашей страны экономической среды воспроизводства, т.е. рыночных отношений, диктует необходимость постоянного улучшения качества с использованием для этого всех возможностей, всех достижений прогресса в области техники и организации производства.

Далее автор приводит методы экономически эффективного производства высококачественных продуктов и услуг. Все идеи принадлежат доктору Демингу, и широко используются на Западе, в особенности в Америке.

. Постоянство целей. Приверженность руководства постоянным улучшениям - критический фактор для поддержания энтузиазма, интереса и соучастия работников на всех уровнях.

. Новая философия. Предполагается серьезное, радикальное переосмысливание ваших взглядов - более радикальное, чем вы можете себе представить. Вы должны поддерживать постоянное, непрерывное движение в правильном направлении к тому дню, когда вся компания окажется в процессе улучшения качества всех систем и видов деятельности.

. Покончите с зависимостью от массового контроля. Работайте с надежными, однородными и высококачественными материалами и процессами. Это скажется на вашей репутации у ваших настоящих и будущих потребителей.

. Покончите с практикой закупок по самой низкой цене. Стремитесь получать все поставки только от одного производителя. Целью в этом случае является минимизация общих затрат, а не только первоначальных.

. Улучшайте каждый процесс Постоянно выискивайте проблемы для того, чтобы улучшать все виды деятельности и функции в компании, повышать качество и производительность.

. Введите в практику подготовку и переподготовку кадров, с тем, чтобы лучше использовать возможности каждого из них.

. Учредите " лидерство". Надо создать среду, в которой у работников имеется истинная заинтересованность в их работе, а менеджеры помогают хорошо ее выполнять. Если рабочие заинтересованы, то они стремятся выполнять работу качественно.

. Изгоняйте страхи. Любой работник испытывающий страх перед своим вышестоящим руководителем, не может надлежащим образом сотрудничать с ним. Истинное сотрудничество позволяет достичь намного большего, чем изолированные индивидуальные усилия.

. Разрушьте барьеры. Люди из различных функциональных подразделений должны работать в командах (бригадах) с тем, чтобы устранять проблемы, которые могут возникнуть, а не тратить время на конфликты.

. Откажитесь от пустых лозунгов и призывов, которые требуют от работников бездефектной работы, нового уровня производительности, но ничего не говорят о методах достижения этих целей.

. Устраните произвольные количественные нормы и задания. Замените их поддержкой и помощью со стороны вышестоящих руководителей с тем, чтобы достигать непрерывных улучшений в качестве и производительности.

. Дайте работникам возможность гордиться своим трудом. Устраните барьеры, которые обкрадывают рабочих и руководителей, лишая их возможности гордиться своим трудом. Это предполагает проведение ежегодных аттестаций.

. Поощряйте стремление к образованию. Организации нужны не просто люди, ей нужны работники, совершенствующиеся в результате образования. Источником успешного продвижения в достижении конкурентоспособности являются знания.

. Определите непоколебимую приверженность высшего руководства к постоянному улучшению качества и производительности и их обязательство проводить в жизнь все рассмотренные выше принципы.

Результат процесса зависит от многочисленных факторов, между которыми существуют отношения типа причина - следствие (результат). Диаграмма причин и следствий - средство, позволяющее выразить эти отношения в простой и доступной форме.

Наиболее полное и всестороннее оценивание качества обеспечивается, когда учтены все свойства анализируемого объекта, проявляющиеся на всех этапах его жизненного цикла: при изготовлении, транспортировке, хранении, применении, ремонте, тех. обслуживании.

Формирование качества регулятора давления осуществляется в сложной многостадийной и многофакторной системе процесса.

По исследованным факторам и причинам были предложены необходимые управляющие решения по устранению дефектов и повышения качества.

В работе были использованы статистические методы контроля и УК, широко используемые за рубежом, особенно в Японии.

Список использованной литературы

I. Нормативно-правовые материалы:

1.       ГОСТ 2.105-79 "Общие требования к текстовым документам"

2.       ГОСТ 2.1102-81 "Стадии разработки и виды документов"

.        ГОСТ 3.1104-81 "Общие требования к формам, бланкам и документам"

.        ГОСТ 3.1111-83 "Правила учета, хранения и внесения изменений"

.        ГОСТ 3.1201-85 "Система обозначения технологических документов"

.        ГОСТ 14.306-73 "Правила выбора средств технологического оснащения в процессе технического контроля"

II.      Специальная литература:

7.            Базаров, Т.Ю. Управление персоналом: Учебное пособие для студ. сред. проф. учеб. заведений / Т.Ю. Базаров. - 4-е изд., М.: Издательский центр "Академия", 2006. - 224 с.

8.       Борисов Н.М., Сашина Л.А. Методы контроля и управления в системах менеджмента качества. М.: АСМС <#"773553.files/image074.gif">

Пять звезд качества

Приложение 2

Инструменты контроля качества

Приложение 3

Пример диаграммы Исикавы

Приложение 4

Пример результата стратификации

Приложение 5

Пример Диаграммы Парето

Приложение 6

Примеры возможных диаграмм рассеяния

Приложение 7

Приложение 8

Приложение 9

Организационно-функциональная структура автомобильного завода

Приложение 10

 


Приложение 11

Регулятор давления

Приложение 12


Приложение 13


Приложение 14

Типовые формы документов, оформляемых в процессе испытаний и приемки

Форма 1

ПРОТОКОЛ приемо-сдаточных испытании наименование или обозначение продукции за №

Обозначение документа

Значение параметра*

 Данные испытания (контроля)

 Дата проведения испытания

 Подпись лица, проводившего испытание

 Примечание

Номер пункта

Номин

Пред.откл





технических требова ний

методов испытаний (контроля)



 

 

 

 

 

 

 

 

 

 

 

 

 

 

 

 

 

 

 

 

 

 

 

 

 

 

 

 

ЗАКЛЮЧЕНИЕ

Продукция (единицы, партии, комплекты)__

наименование и обозначение за №_________ соответствует требованиям

обозначение документа (ов) и годна для использования по назначению (эксплуатации).

Продукция (единицы, партии, комплекты)___________________________

наименование и обозначение за №__________ не соответствует требованиям

обозначение документа (ов) и подлежит возврату в ОТК.

Представитель ОТК

* Для отдельных параметров может предусматриваться требование в виде предельных значений ("не более", "не менее") вместо номинального значения с предельными отклонениями. При проведении качественной оценки параметров (калибры, контрольно-поверочная оснастка и т. п.), а также при использовании автоматизированных средств контроля (без записи параметров) в протоколах испытаний допускается вместо фактического количественного значения контролируемых параметров указывать "Соответствует технической документации".

Форма 2


1 Результаты испытаний_______________________________________

положительный или отрицательный результат в целом; при отрицательном результате перечисляют выявленные дефекты или приводят ссылки на перечень дефектов

____________________________________________________________

Заключение

выдержала или не выдержала продукция периодические испытания

Предложения_______________________________________________

Основание: протокол периодических испытаний №_ от "_____ "_____________ 19__ г.

Акт подписывают должностные лица, проводившие испытания.

Форма 3


1____________________________________________________________

Цель испытаний: оценка эффективности и целесообразности предлагаемых изменений____________________________________________

внесенные изменения

____________________________________________________________

Результаты испытаний:

положительные или отрицательные результаты в целом; при наличии

отрицательных результатов их перечисляют

____________________________________________________________

Заключение

соответствует (не соответствует) образец продукции требованиям программы испытаний;

подтверждена (не подтверждена) целесообразность внесения предлагаемых изменений в конструкцию,

в технологический процесс изготовления)

Предложения_______________________________________________

Акт (отчет) составлен на основании протокола №____ от "____ "___________ 19__ г.

Акт подписывают должностные лица, проводившие испытания и участвовавшие в них.

Ключевые слова: выпускаемая продукция, испытания, приемо-сдаточные испытания, периодические испытания, типовые испытания, приемка продукции.

Приложение 15

Лист планирования