Материал: Применение системы Mathcad для исследования линейных электрических цепей синусоидального тока

Внимание! Если размещение файла нарушает Ваши авторские права, то обязательно сообщите нам

Применение системы Mathcad для исследования линейных электрических цепей синусоидального тока

Введение

Данная курсовая работа позволяет усовершенствовать навыки в системе Mathcad. При помощи этой компьютерной программы решение математических задач упрощается, т.к. при правильной постановки задачи системе Mathcad с легкостью можно выполнить математические преобразования, которые заняли бы у среднестатистического человека немалое время.

Универсальная система компьютерной математики Mathcad является одной из лучших систем для научно-технических вычислений. В среде Mathcad доступны более сотни операторов и функций, предназначенных для численного и символьного решения различных математических задач. С помощью этой системы можно легко производить как численные, так и аналитические (символьные) вычисления.

Целью данной курсовой работы является применение системы MathCad для исследования линейной электрической цепи синусоидального тока. В работе исследуется влияние частоты питающего напряжения на амплитуду входного тока электрической цепи. Задачи курсовой работы: - объединение всех ранее полученных знаний в системе MathCad и применение их на практике - закрепление теоретических знаний пакета MathCad по анализу и расчёту электрических цепей переменного тока - получение навыков по самостоятельному решению прикладной инженерной задачи с применением компьютерных систем

1.Теоретические сведения

.1 Понятие математической модели, их классификация

Моделирование можно рассматривать, как замещение исследуемого объекта (оригинала) его условным образом, описанием или другим объектом, именуемым моделью и обеспечивающим адекватное с оригиналом поведение в рамках некоторых допущений и приемлемых погрешностей (согласно [1]). Моделирование обычно выполняется с целью познания свойств оригинала путем исследования его модели, а не самого объекта. Разумеется, моделирование оправдано в том случае, когда оно проще создания самого оригинала или когда последний по каким-то причинам создать не возможно.

Чем сложнее проектируемый объект, тем, как правило, важнее роль моделирования в его изучении и создании.

Трудно переоценить роль моделирования в образовании, где нередко реальные лабораторные работы заменяются их компьютерным моделированием.

Математическое моделирование - это средство изучения реального объекта, процесса или системы путем их замены математической моделью, более удобной для экспериментального исследования с помощью ЭВМ.

Математическая модель является приближенным представлением реальных объектов, процессов или систем, выраженным в математических терминах и сохраняющим существенные черты оригинала. Математические модели в количественной форме, с помощью логико-математических конструкций, описывают основные свойства объекта, процесса или системы, его параметры, внутренние и внешние связи.

Математические модели представляют собой формализованные описания объекта или системы с помощью некоторого абстрактного языка, например в виде совокупности математических соотношений или схемы алгоритма. Нередко математические модели оказываются пригодными для описания множества систем и явлений в самых различных областях науки, техники и экономики.

Иногда математическая модель описывается уравнениями, которые явно вытекают из рассмотрения физической сущности моделируемого явления или системы. Примером может служить экспоненциальное выражение для вольт- амперной характеристики полупроводникового диода (теория предсказывает именно такой ее вид). Однако чаше описание моделируемых объектов и систем носит чисто формальный характер и базируется на том, что многие явления порой самой различной природы описываются уравнениями (алгебраическими, дифференциальными и иными) одного и того же вида. В этом случае говорят о формальных моделях. Например, формальной моделью диода служит модель в виде отрезков двух прямых - один задает сопротивление диода в открытом, а другой в закрытом состоянии.

Различают следующие виды математического моделирования: вербальные (словесные), графические, табличные, аналитические и алгоритмические.

Форма и принципы представления математической модели зависит от многих факторов.

По принципам построения математические модели разделяют на:

а)      аналитические;

б)      имитационные.

В аналитических моделях процессы функционирования реальных объектов, процессов или систем записываются в виде явных функциональных зависимостей.

Аналитическая модель разделяется на типы в зависимости от математической проблемы:

а)      уравнения (алгебраические, трансцендентные, дифференциальные, интегральные),

б)      аппроксимационные задачи (интерполяция, экстраполяция, численное интегрирование и дифференцирование),

в)      задачи оптимизации,

г)       стохастические проблемы.

Однако по мере усложнения объекта моделирования построение аналитической модели превращается в трудноразрешимую проблему. Тогда исследователь вынужден использовать имитационное моделирование.

В имитационном моделировании функционирование объектов, процессов или систем описывается набором алгоритмов. Алгоритмы имитируют реальные элементарные явления, составляющие процесс или систему с сохранением их логической структуры и последовательности протекания во времени. Имитационное моделирование позволяет по исходным данным получить сведения осостояниях процесса или системы в определенные моменты времени, однако прогнозирование поведения объектов, процессов или систем здесь затруднительно. Можно сказать, что имитационные модели - это проводимые на ЭВМ вычислительные эксперименты сматематическими моделями, имитирующими поведение реальных объектов, процессов или систем.

В зависимости от характера исследуемых реальных процессов и систем математические модели могут быть:

а)      детерминированные,

б)      стохастические.

В детерминированных моделях предполагается отсутствие всяких случайных воздействий, элементы модели (переменные, математические связи) достаточно точно установленные, поведение системы можно точно определить. При построении детерминированных моделей чаще всего используются алгебраические уравнения, интегральные уравнения, матричная алгебра.

Стохастическая модель учитывает случайный характер процессов в исследуемых объектах и системах, который описывается методами теории вероятности и математической статистики.

По виду входной информации модели разделяются на:

а)      непрерывные,

б)      дискретные.

Если информация и параметры являются непрерывными, а математические связи устойчивы, то модель - непрерывная. И наоборот, если информация и параметры - дискретны, а связи неустойчивы, то и математическая модель - дискретная.

По поведению моделей во времени они разделяются на:

а)      статические,

б)      динамические.

Статические модели описывают поведение объекта, процесса или системы в какой-либо момент времени. Динамические модели отражают поведение объекта, процесса или системы во времени.

По степени соответствия между математической моделью и реальным объектом, процессом или системой математические модели разделяют на:

а)      изоморфные (одинаковые по форме),

б)      гомоморфные (разные по форме).

Модель называется изоморфной, если между нею и реальным объектом, процессом или системой существует полное поэлементное соответствие. Гомоморфной − если существует соответствие лишь между наиболее значительными составными частями объекта и модели.

По форме представления:

а)      инвариантные (представляют собой систему уравнений вне связи с методом решения);

б)      алгоритмические (модели связаны с выбранным численным методом решения и его реализацией в виде алгоритма);

в)      аналитические (отображаются явными зависимостями переменных), графические (схемные).

По характеру отображаемых свойств:

а)      функциональные (описывают процессы функционирования объектов);

б)      структурные (отображают только структуру и используются при решении задач структурного синтеза).

По способу получения:

а)      теоретические;

б)      экспериментальные;

1.2 Численные методы в математическом моделировании, их реализация в Mathcad

.2.1 Метод Рунге-Кутта

Для решения дифференциальных уравнений и систем уравнений из-за его высокой точности часто применяется метод Рунге-Кутта. Отличительная особенность метода - уточнение наклона интегральной кривой за счет вычисления производной не только в начале текущего отрезка интегрирования, но и, например, в середине отрезка (для двучленных схем Рунге-Кутта) или четырехкратное вычисление производных в методе четвертого порядка.

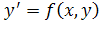
Рассмотрим задачу Коши <https://ru.wikipedia.org/wiki/%D0%97%D0%B0%D0%B4%D0%B0%D1%87%D0%B0_%D0%9A%D0%BE%D1%88%D0%B8>:


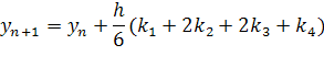
Тогда приближенное значение в последующих точках вычисляется по итерационной формуле 1.3:


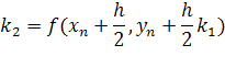
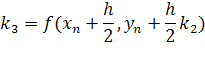
Вычисление нового значения проходит в четыре стадии:


где h - величина шага сетки по x.

Метод Рунге-Кутта легко переносится и на случай системы дифференциальных уравнений.

В Mathcad включена функция rkfixed, реализующая метод Рунге-Кутта четвертого порядка с постоянным шага интегрирования. Обращение к этой функции исходя из [4]:

)


Рисунок 1.1 - Решение дифференциального уравнения первого порядка

1.2.2 Аппроксимация данных в Mathcad

При проведении различных экспериментов обычно требуется массив экспериментальных данных представить виде функции, на которую могли бы с высокой точностью попадать другие получаемые значения. Такая задача называется аппроксимацией <https://ru.wikipedia.org/wiki/%D0%90%D0%BF%D0%BF%D1%80%D0%BE%D0%BA%D1%81%D0%B8%D0%BC%D0%B0%D1%86%D0%B8%D1%8F>. Интерполяцией называют такую разновидность аппроксимации, при которой кривая построенной функции проходит точно через имеющиеся точки данных. Результат интерполяции очень чувствителен к ошибкам данных, если данные зашумлены, следует рассматривать использование регрессии.

Полиномиальная регрессия используется в том случае, когда между у и х, полученными экспериментально, ожидается полиномиальная зависимость [4]. При этом используются функции regress(vх, vу, x) или loess(vх, vy, span). Здесь n - порядок полинома, который должен приближать данные из vх, vу. Аргумент span (span> 0) определяет, насколько большие окрестности функция loess будет использовать при выполнении локального приближения. Функции regress и loess возвращают векторы (обозначимvs), которые используются функцией interp(vs, vx, vy, х), которая для заданного значения х возвращает интерполируемое значение у.

Кубическая сплайн-интерполяция функцией interp(vs, vx, vy, х) позволяет провести кривую через набор точек таким образом, что первые и вторые производные кривой непрерывны в каждой точке. Эта кривая образуется путем создания ряда кубических полиномов, проходящих через наборы из трех смежных точек. Кубические полиномы состыковываются друг с другом, чтобы образовать одну кривую.

Чтобы провести кубический сплайн через набор точек (рисунок 1.2 ) [3]:

создать векторы vx и vy, содержащие координаты х и у, через которые нужно провести кубичный сплайн.

вычислите вектор уs:=сsрline(vх, vу). Вектор vs содержит вторые производные интерполяционной кривой в рассматриваемых точках.

Чтобы найти интерполируемое значение в произвольной точке, скажем x0, вычисляется interp(уs, vx, vу, х0) где vs,vx и vy векторы, описанные ранее.[4]

Рисунок1.2 - Пример кубической сплайн-интерполяции

1.2.3 Блочный метод решения уравнений в Mathcad

MathCAD дает возможность решать системы уравнений и неравенств. Наиболее распространенным методом решения уравнений в Mathcad является блочный метод. Для решения системы этим методом необходимо выполнить следующее:

a) задать начальное приближение для всех неизвестных, входящих в систему уравнений;

б) задать ключевое слово Given, которое указывает, что далее следует система уравнений;

в) ввести уравнения и неравенства в любом порядке (использовать кнопку логического равенства на панели знаков логических операций для набора знака «=« в уравнении);

г) ввести любое выражение, которое включает функцию Find.

Решающим блоком называется часть документа, расположенная между ключевыми словами Given и Find.

После набора решающего блока Mathcad возвращает точное решение уравнения или системы уравнений.

x := Find(x1, x2,…) - формируется переменная или вектор, содержащий вычисленные значения корней.

Рисунок 1.3 - Блочный метод решения уравнеия в MathCad

1.3Web-технологии

технологии - комплекс технических, коммуникационных, программных методов решения задач организации совместной деятельности пользователей с применением сети Интернет [6].

Значение Web-технологии, как для разработчиков программного обеспечения, так и для обычных пользователей во многом определяется тем, что это, прежде всего - интеграционная технология. И трудно найти более удачный пример того, как можно интегрировать различные источники информации и различные ее типы. Веб-технологии позволяют создавать простые для освоения, легкодоступные, крайне дешевые, быстро обновляемые информационные, диалоговые, справочные системы. Одна из таких систем это - web-страница.страница - документ, описанный на языке HTML. Основное отличие их от текстовых документов состоит в том, что они могут включать ссылки на другие аналогичные документы. Совокупность таких страниц, созданных с применением программного обеспечения и образующаяединое целое в техническом, информационном и навигационном аспектах называется сайтом.

На сегодняшний день существуют несколько этапов разработки веб-сайта <https://ru.wikipedia.org/wiki/%D0%92%D0%B5%D0%B1-%D1%81%D0%B0%D0%B9%D1%82>:

Проектирование <https://ru.wikipedia.org/wiki/%D0%9F%D1%80%D0%BE%D0%B5%D0%BA%D1%82%D0%B8%D1%80%D0%BE%D0%B2%D0%B0%D0%BD%D0%B8%D0%B5> сайта;

Создание дизайн-концепции <https://ru.wikipedia.org/wiki/%D0%92%D0%B5%D0%B1-%D0%B4%D0%B8%D0%B7%D0%B0%D0%B9%D0%BD> сайта;

Создание макетов <https://ru.wikipedia.org/wiki/%D0%9C%D0%B0%D0%BA%D0%B5%D1%82> страниц;

Создание мультимедиа <https://ru.wikipedia.org/wiki/%D0%9C%D1%83%D0%BB%D1%8C%D1%82%D0%B8%D0%BC%D0%B5%D0%B4%D0%B8%D0%B0> и FLASH <https://ru.wikipedia.org/wiki/Adobe_Flash>-элементов;

Вёрстка <https://ru.wikipedia.org/wiki/%D0%92%D1%91%D1%80%D1%81%D1%82%D0%BA%D0%B0> страниц и шаблонов <https://ru.wikipedia.org/wiki/%D0%92%D0%B5%D0%B1-%D1%88%D0%B0%D0%B1%D0%BB%D0%BE%D0%BD>;

Программирование <https://ru.wikipedia.org/wiki/%D0%9F%D1%80%D0%BE%D0%B3%D1%80%D0%B0%D0%BC%D0%BC%D0%B8%D1%80%D0%BE%D0%B2%D0%B0%D0%BD%D0%B8%D0%B5> (разработка функциональных инструментов) или интеграция в систему управления содержимым (CMS <https://ru.wikipedia.org/wiki/%D0%A1%D0%B8%D1%81%D1%82%D0%B5%D0%BC%D0%B0_%D1%83%D0%BF%D1%80%D0%B0%D0%B2%D0%BB%D0%B5%D0%BD%D0%B8%D1%8F_%D1%81%D0%BE%D0%B4%D0%B5%D1%80%D0%B6%D0%B8%D0%BC%D1%8B%D0%BC>);

Оптимизация <https://ru.wikipedia.org/wiki/%D0%9E%D0%BF%D1%82%D0%B8%D0%BC%D0%B8%D0%B7%D0%B0%D1%86%D0%B8%D1%8F_%D1%81%D0%B0%D0%B9%D1%82%D0%B0> и размещение материалов сайта;

Тестирование <https://ru.wikipedia.org/wiki/%D0%A2%D0%B5%D1%81%D1%82%D0%B8%D1%80%D0%BE%D0%B2%D0%B0%D0%BD%D0%B8%D0%B5_%D0%BF%D1%80%D0%BE%D0%B3%D1%80%D0%B0%D0%BC%D0%BC%D0%BD%D0%BE%D0%B3%D0%BE_%D0%BE%D0%B1%D0%B5%D1%81%D0%BF%D0%B5%D1%87%D0%B5%D0%BD%D0%B8%D1%8F> и внесение корректировок;