Материал: Пределы

Внимание! Если размещение файла нарушает Ваши авторские права, то обязательно сообщите нам

Пределы

ДЕПАРТАМЕНТ ОБРАЗОВАНИЯ И НАУКИ КЕМЕРОВСКОЙ ОБЛАСТИ

Государственное бюджетное образовательное учреждение

среднего профессионального образования

«Топкинский технический техникум»

(ГБОУ СПО «ТТТ»)

Дисциплина «Математика»







Контрольная работа №1

Тема: «Пределы»


Выполнила: студентка 2-го курса,

группы Тз-1411

Багина Ю.Г.

Проверил: преподаватель математики

Калайтан Т.Г.

Вариант №1

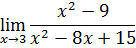
)        Вычислить предел функции:


Решение:


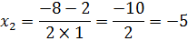
Так как числитель и знаменатель обратились в нуль при x=3, то 3 - корень обоих многочленов, а значит, каждый из них разлагается на множители, одним из которых будет (x - 3).

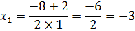
Найдем корни первого многочлена:


Найдем корни второго многочлена:


Получаем:


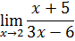
)        Вычислить предел функции:


Решение:

Применим правило Лопиталя, которое гласит, что предел отношения функций равен пределу отношения их производных.

предел функция многочлен

Для нашего примера:


Находим производные:


3)      Вычислить предел функции:


Решение: В этом примере будем использовать первый замечательный предел

В итоге заданный предел будет иметь вид:


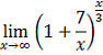
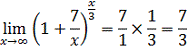
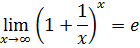
4)      Вычислить предел функции:


Решение: В этом примере будем использовать второй замечательный предел, который можно применить в виде равенства:


В примере получим: