Материал: Практикум по курсу «Управление, организация и планирование производства». Бейнар И.А., Преображенский Б.Г

Внимание! Если размещение файла нарушает Ваши авторские права, то обязательно сообщите нам

-за счет интенсификации выполнения работ критического пути;

-путем параллельного выполнения работ.

Таблица 1.2

Значение нормальной функции распределения вероятностей Рк (или функции Лапласа Ф(х))

Х

Ф(х)

Х

Ф(х)

Х

Ф(х)

Х

Ф(х)

 

 

 

 

 

 

 

 

 

0,0013

-3

0,0668

0,0

0,5000

1,5

0,9332

 

 

 

 

 

 

 

 

 

0,0019

-2,9

0,0808

0,1

0,5398

1,6

0,9452

 

 

 

 

 

 

 

 

 

0,0026

-2,8

0,0968

0,2

0,5793

1,7

0,9554

 

 

 

 

 

 

 

 

 

0,0035

-2,7

0,1151

0,3

0,6179

1,8

0,9641

 

 

 

 

 

 

 

 

 

0,0047

-2,6

0,1357

0,4

0,6554

1,9

0,9713

 

 

 

 

 

 

 

 

 

0,0062

-2,5

0,1587

0,5

0,6915

2,0

0,9772

 

 

 

 

 

 

 

 

 

0,0082

-2,4

0,1841

0,6

0,7257

2,1

0,9821

 

 

 

 

 

 

 

 

 

0,0107

-2,3

0,2119

0,7

0,7580

2,2

0,9861

 

 

 

 

 

 

 

 

 

0,0139

-2,2

0,2420

0,8

0,7881

2,3

0,9893

 

 

 

 

 

 

 

 

 

0,0179

-2,1

0,2747

0,9

0,8159

2,4

0,9918

 

 

 

 

 

 

 

 

 

0,0228

-2,0

0,3085

1,0

0,8413

2,5

0,9938

 

 

 

 

 

 

 

 

 

0,0287

-1,9

0,3446

1,1

0,8643

2,6

0,9963

 

 

 

 

 

 

 

 

 

0,0359

-1,8

0,3821

1,2

0,8849

2,7

0,9965

 

 

 

 

 

 

 

 

 

0,0446

-1,7

0,4207

1,3

0,9032

2,8

0,9974

 

 

 

 

 

 

 

 

 

0,0548

-1,6

0,4602

1,4

0,9192

2,9

0,9981

 

 

 

 

 

 

 

 

 

 

-1,5

0,5000

 

 

3,0

0,9987

 

 

 

 

 

 

 

 

11

Задачи к разделу 1

Задача 1.1.

Рассчитать графическим и табличным способом параметры сетевого графика по данным табл. 1.3.

Таблица 1.3

Код

 

 

 

Варианты tij

 

 

 

рабо-

1

2

3

 

4

5

6

7

ты

 

 

 

 

 

 

 

 

1-2

5

7

3

 

23

25

2

2

 

 

 

 

 

 

 

 

 

1-3

6

3

4

 

14

29

3

5

 

 

 

 

 

 

 

 

 

2-3

8

1

9

 

9

15

8

6

 

 

 

 

 

 

 

 

 

2-4

12

9

3

 

8

17

11

9

 

 

 

 

 

 

 

 

 

2-6

15

4

11

 

16

11

10

7

 

 

 

 

 

 

 

 

 

3-5

10

5

14

 

17

9

9

18

 

 

 

 

 

 

 

 

 

3-6

3

8

15

 

21

13

5

15

 

 

 

 

 

 

 

 

 

4-7

11

9

17

 

3

14

7

21

 

 

 

 

 

 

 

 

 

5-7

13

4

21

 

4

15

9

13

 

 

 

 

 

 

 

 

 

6-7

4

2

23

 

9

9

17

16

 

 

 

 

 

 

 

 

 

Задача 1.2.

Определить коэффициенты напряженности работ 2- 5, 3-5, 4-6 на сетевом графике, изображенном на рис. 1.1.

Рис. 1.1. Сетевой график к задаче 1.2.

12

Задача 1.3.

Составить сетевой график и оптимизировать выполнение его по времени при ограниченном числе исполнителей. Для выполнения комплекса работ выделяется 10 человек. Исходные данные в табл. 1.4.

 

 

Таблица 1.4

Код работы

Объем работы, чел-дн.

Число исполните-

 

 

лей, чел.

1-2

16

4

1-3

12

3

1-4

12

3

3-4

8

2

2-5

16

4

3-5

9

3

4-6

12

4

4-7

16

4

5-8

20

4

6-8

15

5

7-8

20

5

Задача 1.4.

Какая из двух оценок имеет большую неопределенность? Проверить это по показателю дисперсии, рассчитанному на основе оценок времени (табл. 1.5).

 

 

 

Таблица 1.5

 

tmin , дн.

tmax , дн.

tHB , дн.

 

 

 

 

Первая оцен-

10

30

17

ка

 

 

 

Вторая оцен-

5

28

15

ка

 

 

 

 

 

 

 

13

Задача 1.5.

Какая продолжительность работы 4-5, если известно, что эта работа лежит на одном из двух критических путей сети. Найти ранний срок начала и поздний срок окончания работ, принадлежащих ненапряженным путям сети, изображенной на рис. 1.2.

Рис. 1.2. Сетевой график к задаче 1.5.

Задача 1.6.

Построить сетевую модель по данным табл. 1.6. выполнения работ по изготовлению опытного образца микропроцессора после получения рабочих чертежей (исходное событие); рассчитать параметры сети графическим и табличным методами; проанализировать напряженность выполнения работ.

Задача 1.7.

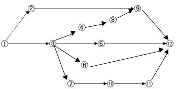
Рассчитать параметры сетевого графика (рис. 1.3). Таблица 1.6

Работа

Код

Варианты

продол-

 

рабо-

жительности tij, дн.

 

ты

1

2

3

4

Выдача задания цехам

1-2

2

1

3

2

Разработка маршрутной техно-

2-3

10

12

10

11

логии изготовления корпусных

 

 

 

 

 

элементов микропроцессора

 

 

 

 

 

 

 

 

 

 

 

14

Окончание табл. 1.6

Проектирование оснастки

для

3-5

8

14

12

10

механической обработки ориги-

 

 

 

 

 

нальных деталей

 

 

 

 

 

 

 

 

 

 

 

 

 

 

 

 

Изготовление оснастки для ме-

5-6

15

20

17

17

ханической обработки

 

 

 

 

 

 

 

Разработка

операционной

тех-

3-7

8

14

9

11

нологии механической обработ-

 

 

 

 

 

ки

 

 

 

 

 

 

 

 

 

 

 

Механическая

обработка

 

дета-

3-10

5

8

10

8

лей, не требующих оснастки

 

 

 

 

 

Проектирование печатных плат

2-4

20

15

18

13

Разработка

маршрутной

техно-

4-6

7

9

10

5

логии сборки печатных плат

 

 

 

 

 

Разработка

операционной

тех-

4-8

7

8

11

6

нологии сборки печатных плат

 

 

 

 

 

Пайка печатных плат

 

 

6-8

25

20

22

18

Проверка на функционирование

9-10

15

10

15

14

Установка плат в корпус

 

 

8-9

10

8

9

9

Механическая

обработка

ори-

9-10

5

5

8

5

гинальных деталей

 

 

 

 

 

 

 

Разработка

технологии

общей

2-10

10

15

10

10

сборки микропроцессора

 

 

 

 

 

 

 

Сборка

 

 

 

 

 

 

10-11

11

10

13

9

 

 

 

 

 

 

 

 

 

 

 

 

 

 

 

 

 

 

 

 

 

 

 

 

 

 

 

 

 

 

 

 

 

 

 

 

 

 

 

Рис. 1.3. Сетевой график к задаче 1.7

15