Материал: практика

Внимание! Если размещение файла нарушает Ваши авторские права, то обязательно сообщите нам

МИНОБРНАУКИ РОССИИ

Санкт-Петербургский государственный

электротехнический университет

«ЛЭТИ» им. В.И. Ульянова (Ленина)

Кафедра САУ

отчёт

по практическому заданию №2

по дисциплине «КСУСЭС»

Студент гр. 6408

Нуртазин И.

Преподаватель

Васильев А.Ю

Санкт-Петербург

2020

Исходные данные:

СГ работает на холостом ходу с номинальными напряжением 1.0. и частотой вращения. Автоматический выключатель S разомкнут. Через время 1 с. выключатель S замыкается. Фиксируем переходные процессы (t), (t), (t), (t). Через время 3,5 с. выключатель S размыкается.

Рис.1 Экспериментальная математическая модель

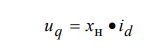
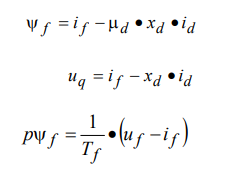
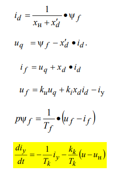
Расчетные уравнения:

Листинг программы

clear

clc

% параметры синхронного генератора

Tr=1.64;

md=0.87;

xq=0.83;

xd=2;

xds=0.26;

%параметры нагрузки

Xn1=1;

%Параметры регулятора напряжения

kk=50;

Tk=0.1;

Un=1;

ku=1.3;

ki=1.3;

%Количество шагов

N=6000;

dt=0.001;

t=0;

%начальные условия

iy=0.3;

Fr=1.005;

for k=0:N,

t=t+dt;

t0=1;t01=3.5;

if (t<t0 || t>t01)

Xn=10000;

else

Xn=Xn1;

end

id=Fr/(Xn+xds);

Uq=Fr-xds*id;

ur=ku*Uq+ki*xd*id-iy;

if ur>4

ur=4;

end

if ur<0

ur=0;

end

ir=Uq+xd*id

pFr=(ur-ir)/Tr;

Fr=Fr+pFr*dt;

piy=(-iy+kk*(Uq-Un))/Tk;iy=iy+piy*dt;

if iy<0

iy=0;

end

if iy>1

iy=1;

end

T(k+1)=t;

T1(k+1)=t;

T2(k+1)=t;

T3(k+1)=t;

T4(k+1)=t;

UQ(k+1)=Uq;

Ir(k+1)=ir;

ID(k+1)=id;

fr(k+1)=Fr;

UR(k+1)=ur;

end

plot(T,UQ,T1,1.05*fr,T2,0.5*Ir,T3,2*ID,T4,0.5*UR);

grid on;

xlabel('t, с');

legend('UQ','fr','Ir','ID','Ur');

Результат моделирования:

Рис.2 График изменения выходных величин

Вывод: полученные переходные процессы имеют такой вид из-за выключателя, т.к. последний находится в замкнутом состоянии с 1 по 3,5 с.

Ответы на вопросы для самопроверки:

1) за счет использования проекций только на ось d.

2) ------------------------------------------------------------------------------------------------

3)-------------------------------------------------------------------------------------------------

4) уравнением статической нагрузки

5)