Материал: ПР11

Внимание! Если размещение файла нарушает Ваши авторские права, то обязательно сообщите нам

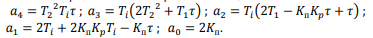
Тема 11. Визначення коефіцієнтів передавальної функції об’єкта методом «площ»

Враховуючи важливість у Вашій майбутній діяльності визначення у виробничих умовах настрою вальних параметрів регуляторів за експериментальним шляхом встановленими динамічними характеристиками  об’єкта керування, прошу  провести критичний аналіз розглянутих методів

Для прикладу хочу взяти П, ПІ та ПІД регулятори які використовуються у всіх галузях:

Розглянемо та застосуємо на продувній колоні

П:

П–регулятор має один настроювальний параметр – коефіцієнт регулювання К р квадратичний інтегральний критерій буде функцією однієї змінної , який можна обчислити аналітично Нижче приведено загальне аналітичне обчислення для замкнутої системи з П–регулятором. Передатна функція замкнутої системи «вхід–вихід»: ܹ

– передатна функція регулятора, в даному випадку для П– регулятора Кр

– передатна функція ланки другого порядку еквівалентного об’єкту керування. Так як ланка запізнення визначає трансцендентний характер характеристичного рівняння системи. Як показує практика, для приведення характеристичного рівняння до алгебраїчної форми трансцендентну передатну функцію ланки необхідно розкласти в ряд Паде так як він краще наближує властивості об’єкту до реальних, ніж ряд Тейлора, і замінюємо передатну функцію ланки запізнення, в даному випадку буде достатньо, двома членами ряду

Зображення за Лапласом вихідної величини після підстановки та алгебраїчних перетворень має вигляд:

Квадратичний інтегральний критерій може бути записаний

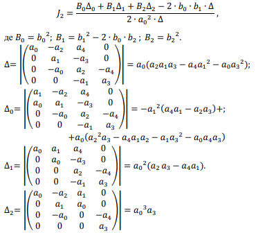
Пошук оптимальних настроювальних параметрівдля П–регулятора

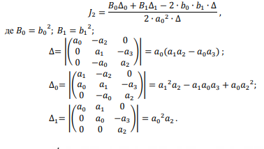
В результаті отримаємо загальне аналітичне рішення J2 для САР з П–регулятором. Визначити коефіцієнт регулювання Кр при якому цей інтеграл буде мінімальним, можна розв’язавши рівняння ݀ або побудувавши графік і визначивши значення К р при якому , безпосередньо за графіком .Це значення коефіцієнта регулювання і буде оптимальним, а відповідно, система при такому значенні коефіцієнта підсилення регулятора буде мати мінімальну динамічну похибку .

ПІ

Такий регулятор має два настроювальні параметри – коефіцієнт регулювання Кр час інтегрування Ті, тому квадратичний інтегральний критерій буде функцією двох змінних , а графік цієї функції буде представляти собою поверхню

Пошук оптимальних настроювальних параметрів для ПІ–регулятора

Цей інтеграл J2 можна також обчислити аналітично. Нижче приведено загальне аналітичне обчислення J2 для замкнутої системи з ПІ–регулятором. Передатна функція замкнутої системи «вхід – вихід» для ПІ– регулятора залишається такою ж як і для П–регулятора, тільки вже замість передатної функції П–регулятора підставляють передатну функцію ПІ–регулятора. Зображення за Лапласом вихідної величини після підстановки та алгебраїчних перетворень має вигляд:

Квадратичний інтегральний критерій може бути записаний:

В результаті отримаємо загальне аналітичне рішення J2 для САР з ПІ–регулятором. Знаходимо значення Кр та Ті використовуючи алгоритм оптимізації метод сполучених градієнтів, при яких Знайдені в такій спосіб значення Кр та Ті при яких квадратичний інтегральний критерій буде мінімальним, і будуть оптимальними настроювальними параметрами для ПІ–регулятора.

ПІД

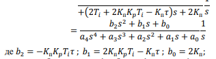
Такий регулятор має три настроювальні параметри – коефіцієнт регулювання Кр час інтегрування Ті і час диференціювання Тд, тому квадратичний інтегральний критерій буде функцією трьох змінних . На відмінно від систем з П–регулятором та ПІ– регулятором, графік цієї функції являє собою гіперповерхню, яку не можна навести вочевидь. Цей інтеграл J2 можна також обчислити аналітично Нижче приведено загальне аналітичне обчислення J2для замкнутої системи з ПІД– регулятором. Передатна функція замкнутої системи «вхід – вихід» також описується рівнянням , тільки буде мати рівняння передатної функції ПІД–регулятора . Зображення за Лапласом вихідної величини після підстановки та алгебраїчних перетворень має вигляд:

Квадратичний інтегральний критерій може бути записаний:

В результаті отримаємо загальне аналітичне рішення J2 для САР з ПІД–регулятором. Знаходимо значення Кр,Ті, Тд, також, використовуємо метод сполучених градієнтів, при яких . Знайдені в такій спосіб значення Кр,Ті, Тд, при яких квадратичний інтегральний критерій буде мінімальним, і будуть оптимальними настроювальними параметрами для ПІД–регулятора.

Експеремент

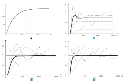
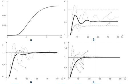
Для ілюстрації роботи проведений порівняльний аналіз запропонованого способу знаходження оптимальних настроювань регулятораі широко використовувані в інженерній практиці методу трикутника методу Зіглер-Нікольса (З-Н) (на рисунку під цифрою 4) і методу CHR (на рисунку під цифрою 3). Були розраховані настройки П–, ПІ–,

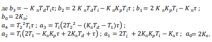
Рис.4.1 ПП САР продувної колони: а – КР ОК; б – ПП САР з П-регулятором; в – ПП САР з ПІ -регулятором; г – ПП САР з ПІД-регулятором а б в г

Рис.4.2 . ПП САР газового реактора: а – КР ОК; б – ПП САР з П-регулятором; в – ПП САР з ПІ -регулятором; г – ПП САР з ПІД-регулятором 95

ПІД–регуляторів одноконтурних САР для аперіодичних об’єктів керування на прикладі кривих розгону продувної колони у виробництві нітратної кислоти за каналом витрата нітратної кислоти → рівень в колоні (рис. 4.1а) і газового реактора за каналом витрата аміаку → температура (рис. 4.2а) у виробництві нітратної кислоти і для коливальних об’єктів керування на прикладах кривих розгону абсорбера оксидів нітрогену за каналом витрати глибокообезсоленої води → концентрація нітратної кислоти (рис. 4.3а) і продувної колони за каналом стабілізації витрат гарячого повітря (рис. 4.4а) у виробництві нітратної кислоти

Рис. 4.3. ПП САР абсорбера оксидів нітрогену: а – ОК; б – ПП САР з П-регулятором; в– ПП САР з ПІ -регулятором; г – ПП САР з ПІД-регулятором

Показники якості перехідних процесів САР (перерегулювання σ, час регулювання Tp, статична Δст і динамічна J похибки), в яких настройки регуляторів були розраховані за допомогою запропонованого способу знаходження оптимальних настроювань регулятора, а також за методом трикутника, методом З-Н і методу CHR наведені в порівняльних табл. 4.1, 4.2.

Рис. 4.4. ПП САР продувної колони: а – КР ОК; б – ПП САР з П-регулятором; в – ПП САР з ПІ-регулятором; г – ПП САР з ПІД-регулятором

З аналізу результатів досліджень (рис. 4.1-4.4б-г і табл. 4.1, 4.2) можна констатувати поліпшення динамічних властивостей системи при використанні оптимальних настроювань регулятора розрахованих запропонованим способом у порівнянні з найбільш поширеними інженерними методами пошуку настроювань регулятора для САР з аперіодичними і коливальними об’єктами керування (зменшення на порядок перерегулювання, часу регулювання і динамічної похибки, зменшення в 2-3 рази статичної похибки системи).

Спосіб знаходження оптимальних настроювань ПІД регулятора, який враховує всі недоліки найбільш поширених інженерних методів пошуку настроювань регуляторів. Він характеризується: простотою і універсальністю, що дозволяє визначити оптимальні настроювання регулятора за одну ітерацію; високою точністю ідентифікації об’єкта керування з урахуванням його нелінійності, не вимагає проведення активного експерименту, забезпечує поліпшення динамічних властивостей систем. Знайдено настроювальні параметри регуляторів запропонованим способом знаходження оптимальних настроювань регулятора і найбільш поширеними інженерними методами пошуку настроювань регуляторів для САР об’єктами керування у виробництві нітратної кислоти. Крім наведених прикладів в роботі був досліджений цілий ряд об’єктів керування з різним ступенем коливальності і інерційності. Виконано порівняльний аналіз запропонованого способу з найбільш поширеними інженерними методами пошуку настроювань регуляторів для САР об’єктами керування у виробництві нітратної кислоти. Він показав, що знайдені запропонованим способом параметри регулятора, значно поліпшили динамічні властивості системи (перерегулювання зменшилася до 10 разів, час регулювання зменшилося порядку 30%, статична і динамічна похибки зменшились у 2-3 рази).