Материал: Повышение мотивации к достижению успеха студентов через организацию и проведение водного сплава

Внимание! Если размещение файла нарушает Ваши авторские права, то обязательно сообщите нам

Среди популярных методик психодиагностики можно отметить следующие: опрос, анализ продуктов деятельности, контент - анализ, тестирование и прочие.

Тестирование относится к методам диагностики, для которых, в отличие от других методик исследования, характерен акцент на измерение (т.е. численное представление) некоторой психологической переменной. Процедура тестирования может проводиться в различных формах.

Тестирование - это отнюдь не совершенный метод психологического исследования, имеющий свои достоинства и недостатки. Поэтому цель нашего исследования - изучить особенности и основные характеристики метода тестирования, его значение в психологическом исследовании личности.

Методы математической статистики.

Среднее арифметическое - это показатель среднего уровня самого типичного и характерного для всего ряда.

 

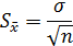
Стандартная ошибка среднего (термин был впервые введен Юлом, 1897) это теоретическое стандартное отклонение всех средних выборки размера n, извлекаемое из совокупности, и зависящая от совокупной дисперсии (сигма) и размера выборки (n), выглядит следующим образом:

 

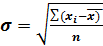
Стандартное отклонение - это статистический термин, который является хорошим индикатором изменчивости. Он измеряет насколько широко значения рассеяны от среднего значения. Дисперсия является разницей между фактическим значением.

 для n≤30

 для n≥30

2.2 Организация исследования


Исследования по теме работы займут промежуток времени с июня 2012г. по июль 2013 г.

К педагогическому эксперименту будут привлечены студенты 46гр., занимающиеся туризмом по специальности "Рекреация и спортивно - оздоровительный туризм" в количестве 20 человек.

Исследование будет проведено в несколько взаимосвязанных этапов.

На первом этапе (май 2012 г. - июнь 2012 г.) была проанализирована научно-методическая литература по теме исследования; определены объект и предмет исследования; намечена цель исследования и поставлены задачи для достижения этой цели, а также выбраны методы для решения задач; определен контингент исследуемых.

На втором этапе (июнь 2012 г. - июль 2012 г.) будет проведен педагогический эксперимент.

Третий этап (июль 2013 г.) будет заключаться в статистической обработке полученных в ходе исследования результатов, их интерпретации, формулировке выводов, разработке практических рекомендаций.

Глава 3. Результаты исследования и их обсуждение


3.1 Характеристики места проведения водного сплава


В период с 21.06.2012 г. - 25.06.2012 г. был организован и проведен водный сплав по реке Белая в Республике Башкортостан. Маршрут тура был организован следующим образом: город Набережные Челны - село Старосубхангулово - Большая поляна - Каповая пещера - Набережные Челны.

С Набережных Челнов мы отправились на автобусе в Республику Башкортостан в село Старосубхангулово, протяженность 713 км, по времени 11 часов 53 минуты. С села Старосубхангулово мы начали свой водный маршрут до Каповой пещеры, протяженность этого маршрута 35 км., мы сплавлялись по реке трое суток, останавливались на ночь, где собирали палатки и готовили кушать.

Бе́лая - река на Южном Урале и в Предуралье, левый и самый крупный приток Камы. Протекает по территории Башкортостана. Самая длинная река в Башкортостане.

Верховья реки Белой - популярное место для водного туризма. Летом здесь можно встретить многочисленных туристов, сплавляющихся на плотах и лодках. Местная природа и берега чрезвычайно красивы. Берега реки - излюбленное место отдыха горожан, живущих у реки. В реке Белой зачастую можно встретить представителей ужеобразной фауны, чаще всего они встречаются в Башкортостане, в связи с большой влажностью в местах реки.

Крупные притоки: Нугуш, Тайрук, Сим, Уфа, Бирь, Быстрый Танып - справа; Ашкадар, Уршак, Дёма, Кармасан, Чермасан, База, Сюнь.

Длина реки - 1430 км, площадь бассейна - 142 тыс. км².

Исток находится в болотах к востоку от горы Иремель, второй по величине вершине Южного Урала, расположенной на северо-востоке Белорецкого района Башкирии. Своё начало берет у подножия хребта Аваляк, близ деревни Новохусаиново Учалинского района. В верхнем течении берега Белой заболочены. Ниже посёлка Тирлянского долина резко сужается, на отдельных участках склоны её круты, обрывисты, покрыты лесом. Ниже впадения правого притока реки Нугуш, по мере выхода на равнину, долина постепенно расширяется; после впадения реки Уфы Белая представляет собой типично равнинную реку. Протекая по обширной пойме, изобилующей старицами, река образует много излучин и разбивается на рукава. Правый берег обычно более возвышен, чем левый.

Питание реки, главным образом, снеговое. Средний годовой расход воды у Бирска - 858 м³/с. Река замерзает, как правило, во второй декаде ноября, вскрывается - в середине апреля.

Около 60 % годового стока проходит во время весеннего половодья (в среднем 75 дней). Средняя дата начала половодья - 10 апреля, окончания - 23 июля. Во время половодья мутность достигает 900 мг/л (в остальное время около 50 мг/л).

Растительность

Берега Белой в основном заняты степными природными сообществами, леса (по большей части широколиственные) встречаются лишь местами. В среднем течении берега реки в основном покрыты тополями, ивами, шиповником. По берегам реки в больших количествах растет ежевика.

Рыбы реки Белой

Окунь, плотва обыкновенная, щука, голавль, бакля, сом, налим, ёрш, лещ, густера, стерлядь, пескарь, судак, форель (в верховьях), жерех, язь, хариус, таймень (практически не осталось), елец, чехонь.

Достопримечательности реки Белой

Поскольку река Белая весьма протяженная, по берегам её встречается масса достопримечательностей. Это бывшие горные заводы Белорецка и Каги, большое количество пещер в верхнем течении, бывшая соляная пристань Стерлитамак и крепость Табынск.

Через реку перекинуты многочисленные мосты, крупнейшими из которых являются автомобильный и железнодорожный мосты в Уфе.

3.2 Разработка маршрута Набережные Челны - Республика Башкортостан село Старосубхангулово - Набережные Челны


Нами был разработан маршрут Набережные Челны - Республика Башкортостан село Старосубхангулово - Набережные Челны. На подготовку данного маршрута мы затратили 7дней, а на проведение 5 суток. Протяженность активной части маршрута 35 км. А в общем протяженность маршрута составляет 1496 км. В процессе организации и проведения водного сплава, по реке Белая, нами было использовано следующие оборудование:

Таблица 1. Оборудование необходимое для сплава

Наименование

Количество, шт.

1. Катамараны

5

2. Спасательные жилеты

20

3. Весла

20

4. Каски

20

5. Спасательный конец "морковка"

1

6. Ремонтный набор для катамарана

5

7. Туристические палатки

5

8. Рюкзаки

20

9. Гидробаулы

20

10. Туристические коврики

20

11. Спальники

20

12. Костровые принадлежности

2

13. Аптечка

1

14. Фонарик

5

15. Уголь

----

16. Аэрозоль от комаров

5


Так же нами была разработана нитка маршрута, где более подробно указано направление движения нашего маршрута.

Таблица 2. Нитка маршрута

Маршрут

Направление

Длина

Нитка маршрута

Набережные Челны

Магнитогорское

713 км

Набережные Челны -  с. Старосубхангулово -

с. Старосубхангулово

Оренбургское

10 км

Старосубхангулово - с. Пескун

с. Пескун

Оренбургское

10

с. Пескун - Большая поляна

Большая поляна

Оренбургское

15 км

 - Большая поляна - Каповая пещера -

Каповая пещера

Казанское

748 км

Набережные Челны.

 Итого протяженность маршрута

 1496 км

город Наб. Челны -  с. Старосубхангулово -  с. Пескун -  Большая поляна - Каповая пещера - Набережные Челны.


На этой карте показано место движения и направление нашего маршрута. Под номером 2 начинается активная часть нашего маршрута по направлению к Башкирскому заповеднику.

Рис. 1. Маршрут водного сплава

Программа маршрута

Опытные туристы знают, что правильно организованное питание является существенным условием успешного прохождения маршрута. Плохо составленная продовольственная раскладка может привести в сложном и длительном путешествии к повышенной утомляемости и снижению работоспособности участников, стать причиной психологической напряженности в группе, а в особо неблагоприятных случаях даже привести к отказу от прохождения запланированного маршрута.

Нами было составлено питание на 3 дня, согласно калорийности, обогащением витаминами продуктов употребления, содержанием (белков, жиров, углеводов) и положенной суточной нормы в граммах.

Таблица 3. Химический состав и энергетическая ценность продуктов, завтрак в первый день

№ п/п

Продукт

Энергетическая ценность, ккал

Вода, г.

Белки, г.

Жиры, г.

Углеводы, г.

г.

на чел.

1

2

3

4

5

6

7

8

9

Завтрак

1

Хлеб, пшеничный из муки высшего сорта

238

37,5

7,6

0,8

48,7

100

1

2

Макаронные изделия из высшего сорта

674

26,0

20,8

2,2

139,6

200

1

3

Говядина тушенная

110

32,15

8,4

8,5

-

50

1

4

Подсолнечное рафинированное масло

449,5

0,05

0

49,95

0

50

20

5

Огурцы парниковые

5,5

42,15

0,35

0,5

1,35

50

1

6

Томаты грунтовые

11,5

35,35

0,55

0,10

2,5

50

1

7

Подсолнечное рафинированное масло

449,5

0,05

49,95

0

50

20

8

Чай без сахара

0,175

100

0

0

0

5

1

9

Пряники

175

7,25

2,4

1,4

38,85

50

1

Итого на 20 человек нам понадобиться: 1) Хлеб, пшеничный из муки высшего сорта - 2кг, 2) Макаронные изделия из высшего сорта - 4 кг, 3) Говядина тушенная - 1кг 4) Подсолнечное рафинированное масло - 100 г. 5) Огурцы парниковые - 1 кг 6) Томаты грунтовые - 1 кг 7) Чай без сахара - 100г. 8) Пряники - 1кг


Таблица 4. Химический состав и энергетическая ценность продуктов, обед в первый день

№ п/п

Продукт

Энергетическая ценность, ккал

Вода, г.

Белки, г.

Жиры, г.

Углеводы, г.

г.

на чел.

1

2

3

4

5

6

7

8

9

Обед

1

Хлеб, пшеничный из муки высшего сорта

238

37,5

7,6

0,8

48,7

100

1

2

Сосиски

226

65,8

10,4

20,1

1,5

100

1

3

Каша гречневая

502,5

21

18,9

4,95

94,8

150

1

4

Томаты грунтовые

23,0

70,9

1,10

0, 20

5,00

100

1

5

Подсолнечное рафинированное масло

449,5

0,05

0

49,95

0

50

20

6

Апельсины

40,00

48,6

0,90

0, 20

10,30

100

1

7

Чай

186,00

80

20,00

5,10

15,00

100

20

8

Печенье сдобное

458

7,0

10,4

5,2

76,8

100

1

9

Лимон

33

37

0,9

0,1

3

100

1

Итого на 20 человек нам понадобиться: 1) Хлеб, пшеничный из муки высшего сорта - 2кг, 2) Сосиски - 2кг 3) Каша гречневая - 3 кг 4) Томаты грунтовые - 2кг 5) Подсолнечное рафинированное масло - 50г. 6) Апельсины - 2кг 7) Чай - 100г 8) Печенье сдобное - 2кг 9) Лимон - 1шт


Таблица 5. Химический состав и энергетическая ценность продуктов, ужин в первый день

№ п/п

Продукт

Энергетическая ценность, ккал

Вода, г.

Белки, г.

Жиры, г.

Углеводы, г.

г.

на чел.

1

2

3

4

5

6

7

8

9

Ужин

1

Хлеб, ржаной из обойной муки

181

47,0

6,6

1,2

35,3

100

1

2

Щука

48,5

-

10,65

0,65

0

50

1

3

Пшено

116

4,6

3,83

1,1

22,4

33,3

1

4

Картофель

80,00

-

2,00

0,40

18,10

100

1

5

Лук репчатый

82,00

-

2,8

0,00

20,8

200

20

6

Лук зеленый

38,00

-

2,6

0,00

10,4

200

20

7

Морковь желтая

60,00

-

2,6

0,2

15,8

200

20

8

Соль

-

-

-

-

-

5

20

9

Четыре горошины черного перца

-

-

-

-

-

-

20

10

Масло сливочное несоленое

374

-

0,25

41,25

0,40

50

20

11

Лимон

16,5

18,5

0,45

0,05

1,5

50

20

12

Какао-порошок

380,00

-

12,90

56, 20

3,50

100

20

13

Крекеры

439

8,5

9,2

14,1

66,2

100

2

14

Яблоки летние

45,00

-

0,40

0,40

11,80

100

1

Итого на 20 человек нам понадобиться: 1) Хлеб, ржаной из обойной муки - 2кг 2) Щука - 1кг 3) Пшено - 666 г. 4) Картофель - 2 кг. 5) Лук репчатый - 200г. 6) Лук зеленый - 200г. 7) Морковь желтая - 200г. 8) Соль - 80г. 9) Четыре горошины черного перца - 50г. 10) Масло сливочное несоленое - 50г. 11) Лимон - 1шт 12) Какао-порошок - 100г. 13) Крекеры - 1г 14) Яблоки летние - 2кг

Таблица 6. Химический состав и энергетическая ценность продуктов, завтрак во второй день

№ п/п

Продукт

Энергетическая ценность, ккал

Вода, г.

Белки, г.

Жиры, г.

Углеводы, г.

г.

на чел.

1

2

3

4

5

6

7

8

9

Завтрак

1

Батон, из муки 1 - го сорта

262

34,1

7,7

3,0

50

100

1

2

Молоко сгущенное с сахаром

160

-

3,6

4,25

28,00

50

2

3

Масло сливочное

748

16,0

0,5

82,5

0,8

100

5

4

Овсяные хлопья "Геркулес"

305

12,0

11,0

6,2

51,4

100

1

5

Компот из сухофруктов

60

-

0,4

-

15,1

100

5

6

Сыр голландский

352

-

26

26,8

-

100

5

7

Батон, из муки 1 - го сорта

262

34,1

3,0

50

100

1

8

Персики

43,00

-

0,90

0,10

11,30

100

1

Итого на 20 человек нам понадобиться: 1) Батон, из муки 1 - го сорта - 4 кг 2) Молоко сгущенное с сахаром - 1кг. 3) Масло сливочное - 400г. 4) Овсяные хлопья "Геркулес" - 2кг 5) Компот из сухофруктов - 400г. 6) Сыр голландский - 400г. 7) Персики - 2 кг

Таблица 7. Химический состав и энергетическая ценность продуктов, Обед во второй день

№ п/п

Продукт

Энергетическая ценность, ккал

Вода, г.

Белки, г.

Жиры, г.

Углеводы, г.

г.

на чел.

1

2

3

4

5

6

7

8

9

Обед

1

Батон, из муки 1 - го сорта

262

34,1

7,7

3,0

50

100

1

2

горох

298

14,0

20,5

2,0

54,3

100

1

3

Подсолнечное рафинированное масло

449,5

0,05

0

49,95

0

50

20

4

Колбаса варенная

257

60,8

12,8

22,2

1,5

100

1

5

Огурцы парниковые

5,5

42,15

0,35

0,5

1,35

50

1

6

Томаты грунтовые

11,5

35,35

0,55

0,10

2,5

50

1

7

Квас

25

-

0,2

0

5,0

100

1

Итого на 20 человек нам понадобиться: 1) Батон, из муки 1 - го сорта - 4 кг 2) Подсолнечное рафинированное масло - 50г. 3) Колбаса варенная - 2кг 4) Огурцы парниковые - 1кг 5) Томаты грунтовые - 1кг 6) Квас - 2литра 7) горох - 2кг


Таблица 8. Химический состав и энергетическая ценность продуктов, Ужин во второй день

№ п/п

Продукт

Энергетическая ценность, ккал

Вода, г.

Белки, г.

Жиры, г.

Углеводы, г.

г.

на чел.

1

2

3

4

5

6

7

8

9

Ужин

1

Хлеб, ржаной из обойной муки

181

47,0

6,6

1,2

35,3

100

1

2

Судак

97

-

21,3

1,3

-

100

2

3

Пшено

116

4,6

3,83

1,1

22,4

33,3

1

4

Картофель

80,00

-

2,00

0,40

18,10

100

1

5

Лук репчатый

82,00

-

2,8

0,00

20,8

200

20

6

Лук зеленый

38,00

-

2,6

0,00

10,4

200

20

7

Морковь желтая

60,00

-

2,6

0,2

15,8

200

20

8

Соль

-

-

-

-

-

5

20

9

Четыре горошины черного перца

-

-

-

-

-

-

20

10

Масло сливочное несоленое

374

-

0,25

41,25

0,40

50

20

11

Лимон

16,5

18,5

0,45

0,05

1,5

50

20

12

Какао-порошок

380,00

-

12,90

56, 20

3,50

100

20

13

Крекеры

439

8,5

9,2

14,1

66,2

100

2

14

Яблоки летние

45,00

-

0,40

0,40

11,80

100

1

Итого на 20 человек нам понадобиться: 1) Хлеб, ржаной из обойной муки - 2кг 2) Судак 1 кг. 3) Пшено - 666 г. 4) Картофель - 2 кг. 5) Лук репчатый - 200г. 6) Лук зеленый - 200г. 7) Морковь желтая - 200г. 8) Соль - 80г. 9) Четыре горошины черного перца - 50г. 10) Масло сливочное несоленое - 50г. 11) Лимон - 1шт 12) Какао-порошок - 100г. 13) Крекеры - 1г 14) Яблоки летние - 2кг


Таблица 9. Химический состав и энергетическая ценность продуктов, завтрак на 3-ий день

№ п/п

Продукт

Энергетическая ценность, ккал

Вода, г.

Белки, г.

Жиры, г.

Углеводы, г.

г.

на чел.

1

2

3

4

5

6

7

8

9

Завтрак

1

Батон, из муки 1 - го сорта

262

34,1

7,7

3,0

50

100

1

2

Молоко сгущенное с сахаром

160

-

3,6

4,25

28,00

50

2

3

Масло сливочное

748

16,0

0,5

82,5

0,8

100

5

4

Каша рисовая

330

14,0

7,0

1,0

71,8

100

1

5

Компот из сухофруктов

60

-

0,4

-

15,1

100

5

6

Сыр голландский

352

-

26

26,8

-

100

5

7

Батон, из муки 1 - го сорта

262

34,1

7,7

3,0

50

100

1

8

Бананы

89

-

1,5

0,1

21

100

1

Итого на 20 человек нам понадобиться: 1) Батон, из муки 1 - го сорта - 4 кг 2) Молоко сгущенное с сахаром - 1кг. 3) Масло сливочное - 400г. 4) Каша рисовая - 2кг. 5) Компот из сухофруктов - 400г. 6) Сыр голландский - 400г. 7) бананы - 2 кг


Таблица 10. Химический состав и энергетическая ценность продуктов, Обед на 3-ий день

№ п/п

Продукт

Энергетическая ценность, ккал

Вода, г.

Белки, г.

Жиры, г.

Углеводы, г.

г.

на чел.

1

2

4

5

6

7

8

9

Обед

1

Хлеб, ржаной из обойной муки

181

47,0

6,6

1,2

35,3

100

1

2

Макаронные изделия из первого сорта

335

13,0

10,7

1,3

68,6

100

1

3

Подсолнечное рафинированное масло

449,5

0,05

0

49,95

0

50

20

4

Свинина тушенная

349

51,1

14,9

32,2

-

100

4

5

Огурцы парниковые

5,5

42,15

0,35

0,5

1,35

50

1

6

Томаты грунтовые

11,5

35,35

0,55

0,10

2,5

50

1

7

Чай без сахара

0

-

0

0

0

100

1

Итого на 20 человек нам понадобиться: 1) Батон, из муки 1 - го сорта - 4 кг 2) Подсолнечное рафинированное масло - 50г. 3) свинина тушенная - 5 банок 4) Огурцы парниковые - 1кг 5) Томаты грунтовые - 1кг 6) Чай без сахара - 100г. 7) Макаронные изделия из первого сорта - 2кг


Таблица 11. Химический состав и энергетическая ценность продуктов, ужин на 3-ий день

№ п/п

Продукт

Энергетическая ценность, ккал

Вода, г.

Белки, г.

Жиры, г.

Углеводы, г.

г.

на чел.

1

2

3

4

5

6

7

8

9

Ужин

1

Хлеб, ржаной из обойной муки

181

47,0

6,6

1,2

35,3

100

1

2

Говядина 1 - ой категории

218

64,5

18,6

16,0

-

100

1

3

Макаронные изделия из высшего сорта, яичные

345

13,0

11,3

2,1

68,1

100

1

4

соль

-

-

-

-

-

5

20

5

Лук репчатый

82,00

-

2,8

0,00

20,8

200

20

6

Лук зеленый

38,00

-

2,6

0,00

10,4

200

20

7

Апельсины

40,00

48,6

0,90

0, 20

10,30

100

1

8

Компот из груш (консервир.)

70,00

-

0, 20

0,00

20,60

100

1

Итого на 20 человек нам понадобиться: 1) Хлеб, ржаной из обойной муки - 2кг 2) Говядина 1 - ой категории - 2кг 3) Макаронные изделия из высшего сорта, яичные - 2кг 4) соль - 80г. 5) Лук репчатый - 200г 6) Лук зеленый - 200г 7) Апельсины - 2 кг 8) Компот из груш (консервир.) - 2 литра

3.3 Сравнительный анализ полученных результатов


В ходе нашего исследования нами была проведена методика анкетного опроса по Т. Элерсу, до проведения сплава по реке Белая и после.

Для определения уровня мотивации к достижению успеха нами использовалась методика анкетного опроса "Мотивация к успеху" Т. Элерса, представляющая 41 утверждение, на которые испытуемому необходимо дать один из 2 вариантов ответов "да" или "нет". Результаты исследования представлены в таблице 1.

Таблица

Результаты исследования уровня мотивации у студентов

Уровни мотивации

До эксперимента

После эксперимента

Низкий

60%

30%

Средний

35%

50%

Умеренно высокий

5%

20%

Слишком высокий

0%

0%


Исходные результаты исследования уровня мотивации свидетельствуют о том, что у студентов преобладает низкий уровень мотивации. Это подтверждает данные представленные в литературных источниках. После проведения водного сплава произошло улучшение уровня мотивации к достижению успеха. Так, количество студентов с низким уровнем мотивации снизилось с 60 % до 30 %, а количество студентов с умеренно высоким уровнем мотивации выросло с 5 до 20 %.

Таким образом, результаты нашего исследования свидетельствуют о том, что водный сплав по реке, позволил повысить уровень мотивации у студентов специализации "Рекреация и спортивно-оздоровительный туризм". Это позволяет сделать вывод о том, что водный туризм обладает огромным потенциалом, и способен оказывать влияние не только на физическое состояние участников сплава, но и на психологическое.

Практическая значимость: результаты данного исследования могут быть использованы преподавателями ВУЗа и ССУЗа для организации водных сплавов с целью повышения физического и психологического состояния студентов.

Выводы


1. Туризм - исключительно ценное средство физического воспитания и активного отдыха человека на природе. В туристских походах учащиеся закаляют свой организм, укрепляют здоровье, развивают выносливость, силу и другие физические качества, приобретают прикладные навыки и умения ориентирования на местности, преодоления естественных препятствий, самообслуживания и др.

Особые условия туристской деятельности способствуют воспитанию нравственных качеств личности: взаимоподдержки, взаимовыручки организованности и дисциплины, принципиальности, чуткости и внимания к товарищам, смелости, стойкости и мужества, чувства долга и ответственности, высоких организаторских качеств.

. Туризм создает благоприятную среду для воспитания трудовых и волевых навыков. В походе турист учится преодолевать препятствия, готовить пищу, рубить дрова, ставить палатку. Педагог учит этому своим личным примером.

Туристический поход помогает изучать историю, экономику, трудовую деятельность, быт и культуру населения, организовать поисковую работу, исследовать природу и концентрирует внимание на изучение тех особенностей, которые обусловлены местонахождением объектов или явлений в границах определенного, как правило, небольшого района вдоль туристского маршрута он расширяет кругозор учащихся средствами наглядного предметного познания окружающего мира.

. Туризм способствует воспитанию любознательности, волевых качеств. Знакомство с новыми районами, природой, встречи с людьми обогащают человека. Походная жизнь развивает наблюдательность, сообразительность, смелость решительность, самостоятельность.

. Туристские путешествия не только способствуют физическому закаливанию организма, снимают усталость, укрепляют нервную систему, они все больше становятся настоятельной потребностью человека как активный, насыщенный физическими нагрузками отдых.

Список литературы


1.      Вяткин Л.А., Сидорчук Е.В., Немытов Д.Н. Туризм и спортивное ориентирование: Учеб. Пособие для студ. высш. пед. учеб. заведений. - М.: Издательский центр "Академия", 2011. - 208с.

2.      Биржаков М.Б. Введение в туризм: Учебник для студентов вузов/ М.Б. Биржаков. - 8-е изд., перераб и доп. - М.; СПб.: Издат-во "Невский фонд", ИД "Герда", 2009., 512с.

.        Александрова А.Ю. Международный туризм: Учебник.М., Аспект Пресс, 2002, - 470 с.

.        Турим на новом этапе: Социальные аспекты развития туризма в СССР. - М.: Профиздат, 1983. - 295с

5.      Булыгина И.И., Гаранин Н.И. /Теория и практика физической культуры/М.: 2012. - 63с.

.        Власов А.А. Нагорный А.Г. Туризм. Учебно /методическое пособие.М., "высш. школа", 1977.95с.

.        Власов А.А. Организация туризма: Метод. рекомендации. - М., 1981. - 39с

8.      Туризм - школа воспитания. - Мн.: Полымя, 1982. - 80с.

.        Врачебный контроль за физическим воспитанием школьников С.В. Хрущев, "Медицина", 1977, 216 с.

.        Кравчук, Т.А. Теория и методика спортивно-оздоровительного туризма: учебное пособие/Т.А. Кравчук. - Омск. 2009. - 192с.

.        Линчевский Э.Э. Типология и психология туризма/Э.Э. Линчевский, Ю.Н. Федотов. - М.: Советский спорт, 2008. - 272с.

.        Селуянов В.Н., Федякин А.А. Биологические основы оздоровительного туризма. - М.: СпортАкадемПресс, 2010. - 123с.

.        Симаков, Вячеслав Иванович. Туристские походы выходного дня. - М.: Сов. Россия, 1984. - 128с.

.        Туризм в школе: Книга руководителей путешествия. - М.: ФиС., 1983. - 160с.

.        Квартальнов В.А., Солодухин И.Д. Методика и педагогика профессионального обучения и подготовки специалистов для целей туризма. - М., 2008. - 378 с.

.        Рыбалко Е.Ф. Возрастная и дифференциальная психология. Л.: ЛГУ, 1990.145с.

.        Ганопольский В.И., Безносиков Е.Я., Булатов В.Г. Туризм и спортивное ориентирование. М., 1987. - 206с.

.        Вилюнас, В.К. Психологические механизмы мотивации человека / В.К. Вилюнас. - М.: Изд-во Моск. ун-та, 2011. - 288с.

.        Булатова, Е.А. Проблемы формирования и развития мотивации достижения успеха у детей-сирот / Е.А. Булатова // Война как событие и событие / Нижегор. гос. архитектур. - строит. ун-т. - Н. Новгород, 2005. - С.242-247

.        Бондырева, С.К. Внутренний мир, сознание, духовность / С.К. Бондырева, Д.В. Колесов: методическое пособие. - М.: Московский психолого-социальный институт, 2009. - 28 с.

.        Ильин, Е.П. Мотивация и мотивы / Е.П. Ильин. - СПб.: Питер, 2002. - 508 с.

Приложение


Методика диагностики мотивации к достижению успеха Т. Элерса

Шкалы: уровень мотивации к достижению успеха

Назначение теста

Диагностика мотивации к достижению успеха.

Инструкция к тесту

Вам будет предложен 41 вопрос, на каждый из которых ответьте "Да" или "Нет".

Тест

. Когда имеется выбор между двумя вариантами, его лучше сделать быстрее, чем отложить на определенное время.

. Я легко раздражаюсь, когда замечаю, что не могу на все 100% выполнить задание.

. Когда я работаю, это выглядит так, будто я все ставлю на карту.

. Когда возникает проблемная ситуация, я чаще всего принимаю решение одним из последних.

. Когда у меня два дня подряд нет дела, я теряю покой.

. В некоторые дни мои успехи ниже средних.

. По отношению к себе я более строг, чем по отношению к другим.

. Я более доброжелателен, чем другие.

. Когда я отказываюсь от трудного задания, я потом сурово осуждаю себя, так как знаю, что в нем я добился бы успеха.

. В процессе работы я нуждаюсь в небольших паузах для отдыха.

. Усердие - это не основная моя черта.

. Мои достижения в труде не всегда одинаковы.

. Меня больше привлекает другая работа, чем та, которой я занят.

. Порицание стимулирует меня сильнее, чем похвала.

. Я знаю, что мои коллеги считают меня дельным человеком.

. Препятствия делают мои решения более твердыми.

. У меня легко вызвать честолюбие.

. Когда я работаю без вдохновения, это обычно заметно.

. При выполнении работы я не рассчитываю на помощь других.

. Иногда я откладываю то, что должен был сделать сейчас.

. Нужно полагаться только на самого себя.

. В жизни мало вещей, более важных, чем деньги.

. Всегда, когда мне предстоит выполнить важное задание, я ни о чем другом не думаю.

. Я менее честолюбив, чем многие другие.

. В конце отпуска я обычно радуюсь, что скоро выйду на работу.

. Когда я расположен к работе, я делаю ее лучше и квалифицированнее, чем другие.

. Мне проще и легче общаться с людьми, которые могут упорно работать.

. Когда у меня нет дел, я чувствую, что мне не по себе.

. Мне приходится выполнять ответственную работу чаще, чем другим.

. Когда мне приходится принимать решение, я стараюсь делать это как можно лучше.

. Мои друзья иногда считают меня ленивым.

. Мои успехи в какой-то мере зависят от моих коллег.

. Бессмысленно противодействовать воле руководителя.

. Иногда не знаешь, какую работу придется выполнять.

. Когда что-то не ладится, я нетерпелив.

. Я обычно обращаю мало внимания на свои достижения.

. Когда я работаю вместе с другими, моя работа дает большие результаты, чем работы других.

. Многое, за что я берусь, я не довожу до конца.

. Я завидую людям, которые не загружены работой.

. Я не завидую тем, кто стремится к власти и положению.

. Когда я уверен, что стою на правильном пути, для доказательства своей правоты я иду вплоть до крайних мер.

Обработка и интерпретация результатов теста

Ключ к тесту

Вы получили по 1 баллу за ответы "да" на следующие вопросы: 2, 3, 4, 5, 7, 8, 9, 10, 14, 15, 16, 17, 21, 22, 25, 26, 27, 28, 29, 30, 32, 37, 41.

Вы также получили по 1 баллу за ответы "нет" на вопросы: 6, 13, 18, 20, 24, 31, 36, 38, 39.

Ответы на вопросы 1, 11, 12, 19, 23, 33, 34, 35, 40 не учитываются.

Подсчитайте сумму набранных баллов.

Интерпретация результатов теста

от 1 до 10 баллов: низкая мотивация к достижению успеха;

от 11 до 16 баллов: средний уровень мотивации к достижению успеха;

от 17 до 20 баллов: умеренно высокий уровень мотивации к достижению успеха;

свыше 21 балла: слишком высокий уровень мотивации к достижению успеха.

Люди, умеренно и сильно ориентированные на успех, предпочитают средний уровень риска. Те же, кто боится неудач, предпочитают малый или, наоборот, слишком большой уровень риска. Чем выше мотивация человека к успеху - достижению цели, тем ниже готовность к риску. При этом мотивация к успеху влияет и на надежду на успех: при сильной мотивации к успеху надежды на успех обычно скромнее, чем при слабой мотивации к успеху.

Людям, мотивированным на успех и имеющим большие надежды на него, свойственно избегать высокого риска.

Те, кто сильно мотивирован на успех и имеют высокую готовность к риску, реже попадают в несчастные случаи, чем те, которые имеют высокую готовность к риску, но высокую мотивацию к избеганию неудач (защиту). И наоборот, когда у человека имеется высокая мотивация к избеганию неудач (защита), то это препятствует мотивации к успеху - достижению цели.

Источники:

Методика диагностики мотивации к достижению успеха Т. Элерса / Розанова В.А. Психология управления - М., 1999. С.105-106.