Материал: Понятие антоцианов

Внимание! Если размещение файла нарушает Ваши авторские права, то обязательно сообщите нам

Понятие антоцианов




 

 

 

 

 

РЕФЕРАТ

Понятие антоцианов


Введение

антоциан биосинтез растение фотолабильный

В одной старинной книге описан простой фокус с алыми тюльпанами. Фокусник накрывает букет плотным непрозрачным колпаком, шутит, просит сосредоточиться и всячески тянет время. Когда колпак снимается, тюльпаны оказываются синими.

Секрет опыта - в антоцианах. Именно эти вещества придают частям растений красный, вишневый, розовый, сиреневый, синий, фиолетовый или голубой цвет.

А теперь разгадка секрета фокуса с тюльпанами: вместо воды в вазу налили нашатырный спирт, обладающий щелочными свойствами. Он легко испаряется и проникает в ткани растения, изменяя цвет антоцианов на синий. За редким исключением антоцианы названы по тем растениям, из которых впервые выделены.

Раньше аптекари использовали антоцианы для выявления кислой и щелочной реакции.

В последнее время как в российских, так и в зарубежных СМИ появляются сообщения о «чудо-фруктах», «чудо-овощах» и «чудо-цветах» с необычной окраской, которая либо не встречается у данных видов растений, либо встречается, но очень редко. Так, например, немалый фурор среди российской общественности произвела новость о создании уральскими селекционерами сорта картофеля «Чудесник» с фиолетовой окраской мякоти. И хотя на российском рынке фиолетовая морковь и перец являются чем-то необычным и очень редким, за рубежом овощами с фиолетовой окраской уже никого не удивить. Среди «чудес» науки, которые поражают воображение многих людей, можно упомянуть голубые розы, впервые созданные в 2004 году австралийской компанией Флориген (Florigene) при поддержке японского холдинга Сантори.

Приведенные примеры растений с необычной для нас окраской различных органов объединяет то, что все они были искусственно созданы человеком с помощью манипуляций с окраской, которая обусловлена растительными пигментами - антоцианами. Однако без всестороннего исследования природы антоциановой окраски и генетической составляющей биосинтеза антоциановых соединений манипуляция с окраской у различных видов растений была бы невозможна.

Антоцианы (от греч. ἄνθος - цветок и κυανός - синий, лазоревый) - окрашенные растительные гликозиды, содержащие в качестве агликона антоцианидины - замещенные 2-фенилхромены, относятся к флавоноидам.

Рис. 1 Керацианин - рутинозил-3-цианидин, антоциан, содержащийся в костянках вишен (Cerasus)

антоциан биосинтез растение фотолабильный

Антоцианы - водорастворимые пигменты вакуолей растений, которые могут быть красных, фиолетовых или синих цветов и их оттенков в зависимости о кислотности. Они могут присутствовать у растений в генеративных (цветках, пыльце) и вегетативных (стеблях, листьях, корнях) органах, а также в плодах и семенах [1]. При этом данные соединения могут либо постоянно присутствовать в клетке, либо появляться на некоторое время на определенной стадии развития растений или при действии стресса. Последнее обстоятельство навело ученых на мысль, что данные соединения нужны не только для окраски цветов и плодов для привлечения насекомых-опылителей и распространителей семян, но и для борьбы с различными типами стрессов [2].


1. Строение и свойства


Антоцианы являются гликозидами, содержащими в качестве агликона-антоцианидина гидрокси- и метоксизамещённые соли флавилия (2-фенилхроменилия), у некоторых антоцианов гидроксильные ацетилированы. Углеводная часть связана с агликоном обычно в положении 3, у некоторых антоцианов - в положениях 3 и 5, при этом в роли углеводного остатка могут выступать как моносахариды глюкоза, рамноза, галактоза, так и ди- и трисахариды.

Будучи пирилиевыми солями, антоцианы легко растворимы в воде и полярных растворителях, малорастворимы в спирте и нерастворимы в неполярных растворителях.

Рис. 2 Общая структура антоцианов

Таблица 1. Общая структура антоцианов

Антоцианы

R1

R2

R3

R4

R5

R6

R7

Аурантинидин

- H

-OH

- H

-OH

-OH

-OH

-OH

Цианидин

- OH

-OH

- H

-OH

-OH

-H

-OH

Дельфинидин

-OH

-OH

-OH

-OH

-OH

-H

-OH

Европинидин

-OCH3

-OH

-OH

-OH

-OCH3

-H

-OH

Лютеолинидин

-OH

-OH

-H

-H

-H

-OH

Пеларгонидин

-H

-OH

-H

-OH

-OH

-H

-OH

Мальвидин

-OCH3

-OH

-OCH3

-OH

-OH

-H

-OH

Пеонидин

-OCH3

-OH

-H

-OH

-OH

-H

-OH

Петунидин

-OH

-OH

-OCH3

-OH

-OH

-H

-OH

Розинидин

-OCH3

-OH

-H

-OH

-OH

-H

-OCH3


Первые опыты по изучению антоциановых соединений и их химической природы были проведены известным английским химиком Робертом Бойлем еще в 1664 г., когда он впервые обнаружил, что под действием кислот синий цвет лепестков василька изменялся на красный, под действием же щелочи лепестки зеленели. Строение антоцианов установлено в 1913 немецким биохимиком Р. Вильштеттером. В 1913-1915 гг. Р. Вильштеттер и А. Штоль опубликовали серию работ, проливших свет на вопрос о сущности природной окраски антоцианов. Из цветков различных растений они выделили индивидуальные пигменты и описали их химическое строение. Оказалось, что антоцианы в клетках находятся преимущественно в виде гликозидов.

Агликоны антоцианов (базовые молекулы-предшественники), получившие название антоцианидинов, связаны преимущественно с сахарами глюкозой, галактозой, рамнозой [3]. В растениях из антоцианидинов наиболее широко распространен цианидин. Например, красящее вещество василька цианин представляет собой 3,5-диглюкозид цианидина. В состав красящих веществ плодов вишни, сливы, земляники, винограда, брусники и других ягод входят гликозиды цианидина. В одном и том же растении очень часто встречается целая серия антоцианов, построенных на основе одного или нескольких антоцианидинов. Так, в цветках и клюбнях картофеля обнаружено до 10 антоцианов [4].

Все антоцианы (которых известно более 500, и число это растет [5]) имеют общий С15-углеродный скелет, образованный двумя бензольными кольцами А и В, соединенными С3-фрагментом. При этом от других флавоноидных соединений антоцианы отличаются наличием положительного заряда и двойной связи в С-кольце (рис. 2). Несмотря на огромное разнообразие антоциановых соединений, все они представляют собой производные шести основных антоцианидинов: пеларгонидина, цианидина, пеонидина, дельфинидина, петунидина и мальвидина, которые отличаются боковыми радикалами R1 и R2 (рис. 2, табл. 1). Поскольку при биосинтезе (о нем речь пойдет чуть ниже) пеонидин образуется из цианидина, а петунидин и мальвидин - из дельфинидина, можно выделить три основных антоцианидина: пеларгонидин, цианидин и дельфинидин, которые, таким образом, являются предшественниками всех антоциановых соединений (табл. 2).

Таблица 2. Антоцианидины, являющиеся предшественниками всех антоциановых соединений. R1, R2 - боковые радикалы В-кольца (рис. 2)

Антоцианидин

R1

R2

Цвет

цианидин (Cy)

ОН

Н

пурпурный

пеонидин(Pn)

ОСН3

Н

пурпурно-синий

пеларгонидин (Pg)

Н

Н

красно-оранжевый

мальвидин (Mv)

ОСН3

ОСН3

пурпурный

дельфинидин (Dp)

ОН

ОН

синий

ОСН3

ОН

пурпурный


Первый химический синтез осуществлен в 1928 английским химиком Р. Робинсоном.

Антоцианы и антоцианидины обычно выделяются из кислых экстрактов растительных тканей при умеренно невысоких значениях pH, в этом случае агликоновая антоцианиновая часть антоциана либо антоцианин существуют в форме флавилиевой соли, в которой электрон гетероциклического атома кислорода участвует в гетероароматической π-системе бензпирилиевого (хроменилиевого) цикла, который и является хромофором, обуславливающем окраску этих соединений - в группе флавоноидов они являются наиболее глубоко окрашенными соединениями с наибольшим сдвигом максимума поглощения в длинноволновую область.

На окраску антоцианидинов влияет число и природа заместителей: гидроксильные группы, несущие свободные электронные пары обуславливают батохромный сдвиг при увеличении их числа. Так, например, пеларгонидин, цианидин и дельфинидин, несущие в 2-фенильном кольце, соответственно, одну, две и три гидроксильные группы, окрашены в оранжевый, красный и пурпурный цвета. Гликозилирование, метилирование или ацилирование гидроксильных групп антоцианидинов приводит к уменьшению или исчезновению батохромного эффекта.

В силу высокой электрофильности хроменилиевого цикла структура и, соответственно, окраска антоцианов и антоцианидинов обуславливается их чувствительностью к pH: в кислой среде (pH < 3) антоцианы (и антоцианидины) существуют в виде пирилиевых солей, при повышении pH до ~4-5 происходит присоединение гидроксид-иона с образованием бесцветного псевдооснования, при дальнейшем повышении pH до ~6-7 происходит отщепление воды с образованием хиноидной формы, которая, в свою очередь, при pH ~7-8 отщепляет протон с образованием фенолята, и, наконец, при pH выше 8 фенолят хиноидной формы гидролизуется с разрывом хроменового цикла и образованием соответствующего халкона:

Рис. 3 Зависимость структуры и цвета антоцианов от pH среды

1. Красная пирилиевая соль;

. Бесцветное псевдооснование;

. Синяя хиноидная форма;

. Пурпурный фенолят хиноидной формы;

. Жёлтый халкон.

Образование комплексов с катионами металлов также влияет на окраску, одновалентный катион К+ даёт пурпурные комплексы, двухвалентные Fe2+, Mg2+ и Ca2+ - синие, на цвет также может влиять адсорбция на полисахаридах.

Антоцианы гидролизуются до антоцианидинов в 10% соляной кислоте, сами антоцианидины устойчивы при низких значениях pH и разлагаются при высоких.

. Биосинтез антоцианов [6]

Антоцианы синтезируются из своих агликонов, антоцианидинов (пеларгонидин, цианидин и дельфинидин) после объединения с гликозильной, ацильной и метильной группами в различных комбинациях. Получаемое в результате таких модификаций структурное разнообразие антоцианов позволяет объяснить многообразие окрасок цветов, плодов и др. Увеличение числа гидроксильных групп в кольце В антоцианов, возрастание количества ароматических ацильных групп, повышение рН в вакуоли клетки, наличие сопигментов (обычно флавонов и флавонолов) и иногда ионы металлов способствуют изменению окраски частей растения к синему цвету.

Вопрос биосинтеза исследован на сегодняшний день достаточно полно, чему немало поспособствовали мутанты различных видов растений с нарушенным биосинтезом антоцианов. Было установлено, что на биосинтез антоцианов (а, следовательно, и на формируемый оттенок у растения) влияют мутации в трех типах генов [7]:

.        кодирующих ферменты, участвующие в цепи биохимических превращений (структурные гены),

.        определяющих транскрипцию структурных генов в нужное время в нужном месте (регуляторные гены) и

.        кодирующих транспортеры антоцианов в вакуоли (известно, что антоцианы, находящиеся в цитоплазме, окисляются и формируют агрегаты бронзового цвета, которые являются очень токсичными для клеток растений [8]).

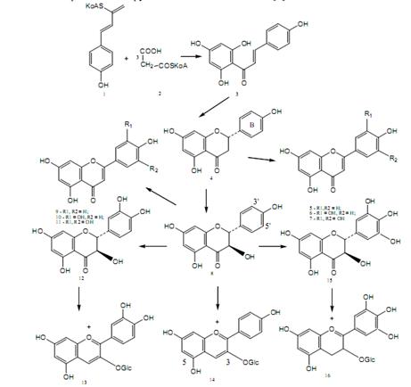
Биосинтез антоцианов в настоящее время достаточно полно описан в литературе [9-11]. На рис. 3 представлена схема образования наиболее часто встречающихся окрашенных антоцианов: антоцианидин (цианидин, пеларгонидин, дельфинидин) 3-глюкозидов. Антоцианидин 3-глюкозиды в определенных условиях в дальнейшем могут быть модифицированы при добавлении гликозильной, ацильной или метильной групп. Метилирование цианидин глюкозида приводит к получению пеонидин (3’ - О-метилцианидин) глюкозида и таким же образом из дельфинидин глюкозида синтезируются петунидин (3’ - О-метил дельфинидин) и мальвидин (3’, 5’ - О-диметил дельфинидин) глюкозиды [9].

Общим предшественником всех антоцианов является 4, 2', 4', 6'-тетрагидрокси-халкон (3), образующийся в результате катализируемой ферментом халкон синтазой конденсации малонил-кофермента А (2) и кумарил-кофермента А (1), который далее под действием халкон изомеразы превращается в 5, 7, 4'-тригидроксифлаванон (нарингенин, (4)). При воздействии на (4) флавон синтазы образуются следующие флавоны: апигенин (5), лутеолин (6), трицетин (7). Флавонон 3-гидроксилаза в свою очередь преобразует (4) до дигидрокемпферола (8), из которого под действием флавонол синтазы синтезируются флавонолы: кемферол (9), кверцетин (10), мирицетин (11). Два цитохром Р450 - содержащих фермента флавоноид 3’ - гидроксилаза и флавоноид 3’, 5’ - гидроксилаза катализируют 3’ и 5’ - гидроксилирование дигидрофлавонолов и в итоге определяют положение гидроксильной группы в кольце В антоциана [11].

Рисунок 3 - Схема биосинтеза антоцианов

Субстрат-специфичная дегидрофлавонол 4-редуктаза часто определяет структуру антоцианидинов, которые накапливаются в различных растениях, в зависимости от того какой из дигидрофлавонолов: дигидрокемферол (8), дигидрокверцетин (12) или дигидромирицетин (15) преимущественно образуется в растении. Антоцианы из дигидрофлавонолов синтезируются под действием дегидрофлавонол 4-редуктазы, антоцианидин синтазы и антоцианидин 3-О - гликозилтрансферазы. Но при биосинтезе цианидин 3-глюкозида (имеющего окраску от красной до пурпурной) (13) и дельфинидин 3-глюкозида (окрашенный в фиолетовый цвет) (16), в отличие от пеларгонидин 3-глюкозида (имеющий цвет от оранжевого до красного) (14), на стадии гидроксилирования кольца В необходимо присутствие флавоноид 3’ - гидроксилазы и флавоноид 3’, 5’ - гидроксилазы соответственно.

Образованию антоцианов благоприятствуют низкая температура, интенсивное освещение.

Какую именно окраску будет иметь растение, зависит от многих факторов:

·              структуры и концентрации антоцианов (которая, кстати, зависит и от наличия стресса - засухи, интенсивного освещения, холода),

·              pH в вакуолях, где они накапливаются (см. выше описание опытов Роберта Бойля),

·              наличия ко-пигментов, стабилизирующих антоциановую окраску, а также

·              ионов металлов (алюминия, железа, магния, молибдена, вольфрама), с которыми антоцианы могут образовывать комплексы, меняя свой цвет на голубой.

·              Немаловажное значение также имеет локализация этих соединений в тканях растений.

3. Функции антоцианов в растении

Защита фотолабильных соединений

Антоцианы клеточных вакуолей предотвращают повреждение фотолабильных молекул избыточным светом. Подобный пример описан для Ambrosia chamissonis, растения семейства Сложноцветных, произрастающего на Калифорнийском побережье. Растение содержит большое количество тиарубрина A, который ядовит для насекомых, бактерий и грибов. Тиарубрин A фотонеустойчив; даже кратковременное облучение видимым или УФ светом делает его интактным. Клетки, содержащие цианидин 3-O-глюкозид и цианидин-3-O - (6’ - O-малонилглюкозил), защищают ткани A. chamissonis. Антоцианы поглощают избыточные кванты света, и, таким образом, вносят существенный вклад в повышение защитных функций растения.

Защита фотосинтетического аппарата

При слишком сильном освещении листья получают больше солнечного света, чем необходимо для осуществления фотосинтеза и в этом случае наблюдается характерное снижение эффективности процесса. В условиях избыточной освещенности происходит выработка радикальных форм кислорода, которые могут разрушить мембраны тилакоидов, повредить ДНК и денатурировать белки, связанные с фотосинтетическим электронным транспортом. Показано, что антоцианы во многих видах растений снижают частоту фотоингибирования, а так же ускоряют восстановление фотосинтетического аппарата. В Cornus stolonifera, например, 30-минутное интенсивное облучение белым светом снижало квантовую эффективность фотосинтеза на 60% в красных листьях, и почти на 100% в листьях зеленого цвета. Когда растения вернули в темное место, красные листья восстановили свой максимальный потенциал уже через 80 минут, в то время как зеленые не достигли первоначального уровня даже спустя шесть часов [6].

Антоцианы защищают листья при фотосинтезе путем абсорбции избыточных фотонов, которые иначе были бы поглощены хлорофиллом b. Хотя в целом красные листья поглощают больше света, их фотосинтетические ткани получают меньше квантов, чем зеленые листья, т.к. энергия, поглощенная вакуолью, не может быть передана хлоропластам. Следовательно, в окружающей среде с ограниченным освещением эффективность фотосинтеза красных листьев часто ниже, чем в тех же условиях у зеленых листьев. Однако при сильной освещенности, антоцианы служат в качестве оптического фильтра, предохраняющего от высокоэнергетических квантов уже насыщенную фотосинтетическую электронную транспортную цепь и повышают поглощение солнечной энергии в пределах видимой области (380-700 нм) в среднем на 8-12%. Поэтому антоцианы причисляют к нефотохимическим защитным механизмам, наряду с пигментами ксантофилового цикла. Недавние исследования, включающие использование в качестве объектов мутантов Arabidopsis thaliana, показали, что, в то время как ксантофилы играют большую роль в защите растений в течение краткосрочных световых стрессов, антоцианы более эффективны в долгосрочный период.

Данная гипотеза фотозащиты объясняет покраснение листьев многих лиственных деревьев осенью. При старении листьев, азот, связанный с хлоропластами ресорбируется в ветви. Антоцианы предохраняют разрушенный хлорофилл от воздействия световых лучей, таким образом, ограничивая формирование радикалов кислорода, которые могут подвергнуть опасности процесс ресорбции. В подтверждение данной гипотезы была показана более эффективная ресорбция азота в родительских формах, чем в лишенных антоцианов мутантах трех видов деревьев.

Защита от ультрафиолетового излучения

Интерес к флавоноидам увеличился в последние годы благодаря наблюдениям, которые показали эффективность данных соединений при использовании их в качестве фильтра В лучей ультрафиолетового излучения (УФ-В). Продемонстрировано, что в тканях растений в ответ на УФ излучение стимулируется выработка антоцианов, имеющих в наличии ацильную группу, поглощающих в УФ области и снижающих степень повреждения ДНК в клеточных культурах при UV-B-излучении.

Несмотря на эти данные, существует противоположное мнение, о том, что функции антоцианов листьев не могут заключаться, прежде всего, в защите от УФ. В отличие от бесцветных флавоноидов, антоцианы обычно располагаются во внутренней мезофильной ткани, а не в эпидерме. Кроме того, неустойчивость к УФ свету часто наблюдается и при нормальном содержании антоцианов в тканях. Например, у мутанта Arabidopsis с повышенной чувствительностью к УФ радиации было обнаружено пониженное содержание одного из флавоноидов, в то время как количество антоцианов было нормальным. Точно также реакции мутантов Brassica rapa к дополнительной УФ-B обработке были по большей части независимы от уровня антоцианов в листьях.

Было отмечено, что повреждение ДНК после продолжительной УФ обработки наблюдалось больше в фиолетово окрашенной части риса, чем в зеленых частях растения. УФ-излучение разрушает связи в гетероциклических молекулах пиримидиновых азотистых оснований, которые являются субстратом для фотолиазы. Специфическая фотолиаза связывается с дефектным участком ДНК и после облучения расщепляет димер с образованием отдельных нуклеиновых оснований. ДНК-фотолиазы представляют собой группу ферментов, активируемых светом, с длиной волны 300 - 600 нм. Благодаря поглощению антоцианами части света в данной области, пигменты предотвращают фотоактивацию фотолиаз в листьях. Таким образом, их способность абсорбировать видимый свет лимитирует степень восстановления ДНК.

Дезактивация активных форм кислорода

Антоцианы снижают окислительную нагрузку на растение, выступая в качестве фильтра света желто-зеленой области спектра, так как большая часть свободных радикалов образуется в результате возбуждения хлорофилла. Растворы антоцианов нейтрализуют почти все виды радикальных форм кислорода и азота в четыре раза эффективнее, чем аскорбат и α-токоферол. Недавние экспериментальные данные показали, что этот антиокислительный потенциал действительно используется клетками растений. У Arabidopsis, например, сильное световое излучение и низкие температуры вызвали более сильное перекисное окисление липидов в мутантах, не содержащих антоцианы, чем у диких (родительских) форм растений. Подобным образом под действием γ-излучения только растения Arabidopsis, содержащие и антоцианы, и аскорбиновую кислоту сохраняли нормальную способность к росту и цветению.

Микроскопические исследования поврежденной кожицы листа показали, что красно-пигментированные клетки дезактивируют перекись водорода значительно быстрее зеленых клеток. Однако остается не ясным, являются скавенджерами красные таутомерные антоцианы, находящиеся в вакуоли клетки, или бесцветные таутомеры, содержащиеся в цитозоле. Обе формы обладают внушительным антиокислительным потенциалом. В системе in vitro с бесцветным таутомером цианидин 3 - (6-малонил) - глюкозида была показана способность данного соединения к дезактивации до 17% супероксид-радикалов, синтезированных освещенными хлоропластами. Учитывая их близость в клетке к источникам синтеза супероксиданион радикала, вероятно, что именно цитозольные антоцианы, а не расположенные в вакуоли, обеспечивают больший вклад в антиокислительную защиту.

Степень вклада антоцианов в антиоксидантную систему растения, среди других низкомолекулярных антиоксидантов у разных видов растений отличается. Например, в красных листьях у молодых растений Elatostema rugosum антоцианы являются преобладающим фенольным соединением. Напротив, красно- и зеленоокрашенные листья кроны Quintinia serrata содержат в качестве основного низкомолекулярного антиоксиданта гидроксикоричные кислоты. Таким образом, во многих случаях высокий уровень биосинтеза антоцианов бывает желательной, но не является обязательной предпосылкой для защиты от окислительного стресса.

Повышение устойчивости к стрессу

Стимулирование синтеза антоцианов листьев связано с влиянием многих различных стрессовых факторов окружающей среды. Антоцианы, например, связаны с повышением устойчивости к охлаждению и замораживанию, к загрязнению тяжелыми металлами, к засухе. Chalker-Scott приписывает главную роль антоцианам в качестве осморегуляторов клетки растения, поскольку большая часть субоптимальных условий окружающей среды включают прямой или косвенный водный стрессы. Другие исследователи предполагают, что фотопротекторные [12] или антиокислительные свойства антоцианов являются главными в ответе растения на стресс.

Важной функцией антоцианов является их способность придавать цвет растениям или растительным продуктам, в которых они присутствуют. Они играют определенную роль в привлечении животных для опыления и переноса семян, следовательно, они имеют большое значение в развитии взаимоотношений растение-животное. Антоцианы наряду с флавоноидами могут повышать устойчивость растений к атакам насекомых. Однако окончательная роль антоцианов в растениях до сих пор неясна.

Исходя из всего рассмотренного, можно сделать вывод, что функции антоцианов состоят, прежде всего, в разнообразной, универсальной и эффективной защите растений в стрессовых ситуациях.

 

. Распространение в природе


Широко распространенными в растительном мире красящими веществами являются и антоцианы. В отличие от хлорофилла они не связаны внутри клетки с пластидными образованиями, а чаще всего растворены в клеточном соке, иногда встречаются в виде мелких кристаллов. Антоцианы легко извлечь из любых синих или красных частей растения. Если, к примеру, прокипятить нарезанный корнеплод столовой свеклы или листья краснокочанной капусты в небольшом количестве воды, то скоро она окрасится от антоциана в лиловый или грязно-красный цвет. Но достаточно к этому раствору прибавить несколько капель уксусной, лимонной, щавелевой или любой другой кислоты, как он сразу же примет интенсивную красную окраску. Присутствие антоцианов в клеточном соке растений придает цветкам колокольчиков синий цвет, фиалок - фиолетовый, незабудок - небесно-голубой, тюльпанов, пионов, роз, георгинов - красный, а цветкам гвоздик, флоксов, гладиолусов - розовый. Почему же этот краситель является таким многоликим? Дело в том, что антоциан в зависимости от того, в какой среде он находится (в кислой, нейтральной или щелочной), способен быстро изменять свой оттенок. Соединения антоциана с кислотами имеют красный или розовый цвет, в нейтральной среде - фиолетовый, а в щелочной - синий.

Поэтому в соцветиях медуницы лекарственной можно одновременно найти полураспустившиеся цветки с розоватым венчиком, расцветшие - пурпуровой окраски и уже отцветающие - синего цвета. Это обусловлено тем, что в бутонах клеточный сок имеет кислую реакцию, которая по мере распускания цветков переходит в нейтральную, а потом и в щелочную. Подобные изменения окраски лепестков наблюдаются и у цветков жасмина комнатного, незабудки болотной, синюхи голубой, льна обыкновенного, цикория обыкновенного и сочевичника весеннего. Возможно, такие «возрастные» явления в цветке частично связаны и с процессом его оплодотворения. Имеются сведения, что насекомые-опылители у медуницы посещают только расцветшие розовые и пурпурные цветки. Но только ли окраска венчика при этом служит для них ориентиром?
Разнообразие окраски цветков зависит от числа гидроксильных групп в молекулах антоцианов: с их увеличением окраска становится более синей (из-за наличия дельфинидина). При метилировании гидроксилов образуется пигмент мальвидин, придающий лепесткам красный цвет. Расцветка венчиков обусловливается и соединениями антоцианов с ионами различных металлов. Так, например, соли магния и кальция способствуют преобладанию синей окраски, а соли калия - пурпурной. Определенное разнообразие оттенков вносит и дополнительное присутствие желтых пигментов (халконов, флавонолов, флавонов, ауронов и т.п.).

Естественные красители содержатся не только в цветках, но и в других частях растений, играя многостороннюю роль. Взять хотя бы не бросающуюся в глаза окраску клубней картофеля. У клубней картофеля различная окраска кожуры, глазков, проростков и мякоти также зависит от содержания в них фенольных соединений, иначе называемых биофлавоноидами. Они имеют разнообразную гамму красок: белую, желтую, розовую, красную, синюю, темно-фиолетовую и даже черную. Картофель с черной окраской кожуры клубней растет на его родине на острове Чилоэ. Различная окраска картофельной кожуры и мякоти зависит от содержащихся в них следующих биофлавоноидов: белая - от бесцветных лейкоантоцианов или катехинов, желтая - от флавонов и флавоноидов, красная и фиолетовая - от антоцианов. Группа антоцианов наиболее многочисленна, насчитывает около 10 видов. В нее входят и дающие пурпурный и розовый цвета пионидин, пеларгонидин и мальвидин, и окрашивающие в синий цвет цианидин и дельфинидин, и бесцветный пигмент петунидин. Установлено, что окрашенные клубни картофеля, как правило, богаче необходимыми для нашего организма веществами. Так, например, клубни с желтой мякотью имеют повышенное содержание жира, каротиноидов, рибофлавина и комплекса флавоноидов.

За счет способности антоцианов менять свою окраску можно наблюдать изменение цвета клубней картофеля в зависимости от состояния погоды, интенсивности освещения, реакции почвенной среды, применения минеральных удобрений и ядохимикатов. При выращивании картофеля на торфяных почвах, например, клубни часто имеют синеватый оттенок, при внесении фосфорного удобрения они бывают белыми, сульфат калия может придать им розовый цвет. Окраска клубней нередко меняется и под влиянием ядохимикатов, содержащих медь, железо, серу, фосфор и другие элементы.

Сказочная осенняя окраска листьев с оранжевыми, красно-бурыми и красными оттенками тоже зависит от содержания в их клеточном соке антоцианов. Наиболее активному процессу их образования в этот период способствуют понижение температуры, яркое освещение и задержка по этим причинам в листве питательных веществ, особенно сахаров.

Искусственно ускорить образование антоцианов в листьях калины обыкновенной, черемухи обыкновенной, осины, бересклета бородавчатого или клена платановидного можно следующим путем. Весной на одной из их ветвей посередине ее длины снимают кольцо коры шириной в 2-2,5 см. Это приведет к усиленному накоплению углеводов в изолированной верхней части ветви и вызовет здесь более раннее и интенсивное покраснение листьев, чем ниже кольца или на неповрежденных ветвях.
Полагаем, что если уважаемый читатель пожелает повторить этот опыт, то постарается выполнить его с надлежащей аккуратностью и бережным отношением к живому дереву - нашему верному другу.

Антоцианы в клетках растений выполняют не только роль вещества, придающего их тканям яркую привлекательную окраску. Оказывается, что эти пигменты, появляющиеся в листьях и стеблях при воздействии пониженных температур, в ранневесенний и осенний периоды служат своего рода «ловушкой» солнечных лучей, избирательно работающим фильтром. В молодых побегах и листьях бузины красной, пырея ползучего, ржи озимой, лисохвоста лугового, мятлика лугового и некоторых других растений антоцианы ранней весной превращают световую энергию в тепловую и защищают их от холода.

Наблюдения свидетельствуют также о том, что фиолетовая окраска семян, листьев и стеблей у растений является индикатором на содержание в них легкоферментируемых углеводов - сахарозы, фруктозы и глюкозы, в значительной степени обусловливающих холодостойкость растений. По этому характерному показателю (тесту) в перспективе можно будет оперативно вести предварительный отбор на морозоустойчивость и повышенное содержание сахаров, что особенно необходимо при выведении новых сортов многолетних кормовых трав.

Следовательно, багряные оттенки, в которые окрашиваются многие наши деревья перед листопадом, не играют какой-либо особой физиологической роли, а являются лишь показателем затухания процесса фотосинтеза, предвестником наступления периода зимнего покоя растений.
Откуда же осенью появляются антоциан и ксантофилл? Оказывается, что в зеленых листьях деревьев с самого начала их жизни одновременно содержатся и хлорофилл, и антоциан (или ксантофилл). Однако антоциан и ксантофилл имеют менее интенсивную плотность окраски, поэтому они становятся заметными только после того, как под воздействием определенных условий окружающей среды произойдет разрушение зерен хлорофилла. В ноябре - декабре, когда образование хлорофилла сдерживается недостатком солнечного света и его неполным спектром, у комнатных роз молодые побеги и распускающиеся листья имеют ярко-красный цвет. При ярком солнечном освещении они сразу стали бы зелеными.

У некоторых растений изменение зеленой окраски листьев на красную носит обратимый характер. Наглядным примером этого является поведение многих видов алоэ, культивируемых в комнатных условиях. Зимой и ранней весной, пока солнечный свет еще сравнительно слаб, они окрашены в зеленый цвет. Но если эти растения в июне или июле выставить на яркое солнечное освещение, их листья станут красно-бурыми. Перенесение же растений в затененное место снова обеспечит быстрое возвращение листьям зеленой окраски.

Желтая окраска цветков происходит от содержащихся в них флавонов (каротина, ксантофилла и антохлора), которые в соединении со щелочами дают довольно широкий спектр оттенков от ярко-оранжевого до бледно-желтого.

Среди многообразия красок в растительном мире довольно значительное место занимает белый цвет. Но для того чтобы его создать, обычно не нужно никакого красящего вещества. Он обусловлен наличием воздуха в межклеточных пространствах растительных тканей, который полностью отражает свет, благодаря чему лепестки цветка кажутся белыми. Это можно наблюдать на примере цветущих растений нивяника обыкновенного, кувшинки белой, ландыша майского и др. За счет плотного опушения белую окраску имеют и растения эдельвейса альпийского, сушеницы топяной, жабника полевого, мать-и-мачехи. Содержащийся в омертвевших волосках воздух также в результате отражения света делает их опушенную поверхность белой. А белая окраска березовой коры, придающая в любое время года стволам березы нарядный вид, обусловливается наполняющими клетки перидермы снежно-белыми нитевидными кристаллами бетулина («березовой камфоры») [13].

5. Применение


Антоцианы рассматривают как вторичные метаболиты и сильные антиоксиданты. Богаты антоцианами такие растения, как, например, черника, клюква, малина, ежевика, вишня, баклажаны.

Накопленный к настоящему времени багаж знаний об антоциановых соединениях открыл неисчерпаемые возможности для создания декоративных растений с необычной окраской, а также культурных видов растений с повышенным содержанием антоциановых пигментов.

Сейчас во всем мире ведется множество исследований по изучению действия антоцианов. Так, например, недавние исследования в США показали что употребление антоцианов в пищу помогает сократить риск поражения раком пищевода и прямой кишки. Другие исследования говорят, что антоцианы способствуют снижению воспалительных процессов в организме.

Благодаря выраженному антиоксидантному и сосудопротекторному действию, антоцианы представляют особый интерес для офтальмологов [14]. В медицине широко применяются антоцианы черники (в составе экстракта черники).

В пищевой промышленности антоцианы в виде добавки Е163 используются в качестве природных красителей. Добавка Е163 применяется в производстве кондитерских изделий, напитков, йогуртов и других пищевых продуктов. Краситель Е163 входит в список добавок, одобренных для применения в пищевой промышленности в России, Украине, странах Европы и других странах мира. Добавка Е163 (Антоцианы) имеет натуральное происхождение и нулевой уровень опасности (безопасна для здоровья). [15]

·  в медицине (в качестве антиоксидантов и добавок, препятствующих и снижающих темпы развитие раковых заболеваний);

·        в косметике (антоцианы обладают стабилизирующим эффектом и являются коллагенами);

·        в технике (в качестве краски для органических солнечных батарей из-за способности антоцианов поглощать свет и преобразовывать его в электроны).

Список источников

1.   Wheldale, M. The anthocyanin pigments of plants. - Cambridge University Press, 1916. - 320 pp.;

2.      Chalker-Scott, L. (1999). Environmental significance of anthocyanins in plant stress responses. Photochem. Photobiol. 70, 1-9;

3.      Карабанов, И.А. Флавоноиды в мире растений. - Минск: Ураджай, 1981. - с. 80;

4.      Харламова, О.А. Натуральные пищевые красители / О.А. Харламова, Б.В. Кафка., - М.: Пищевая промышленность (Качество и ассортимент), 1979, - 191 с.

5.      Andersen, O.M., Jordheim M. The anthocyanins. // Andersen O.M., Markham K.R. (Eds.). Flavonoids: chemistry, biochemistry and applications. - Boca Raton, FL: CRC Press, 2006. - P. 452-471;

6.      Макаревич, А.М. Функции и свойства антоцианов растительного сырья / А.М. Макаревич, А.Г. Шутова, Е.В. Спиридович, В.Н. Решетников // Труды БГУ, 2010. - т. 4, выпуск 2. - С. 1 - 11;

7.      Mol J., Grotewold E., Koes R. (1998). How genes paint flowers and seeds. Trends Plant Sci. 3, 212-217;

8.      Marrs K.A., Alfenito M.R., Lloyd A.M., Walbot V. (1995). A glutathione S-transferase involved in vacuolar transfer encoded by the maize gene Bronze-2. Nature 375, 397-400;

9.   Pascual-Teresa, S. Anthocyanins: from plant to health / S. de Pascual-Teresa, M.T. Sanchez-Ballesta // Phytochemistry Reviews. - 2008. - Vol. 7 - P. 281-299.

10.    Jaakola, L. Activation of flavonoid biosynthesis by solar radiation in bilberry (Vaccinium myrtillus L.) leaves / L. Jaakola [et al.] // Planta. - 2004. - Vol. 218 - P. 721-728

11.    Tanaka, Y. Flower colour and cytochromes P450 / Y. Tanaka // Phytochemistry Reviews. - 2006. - Vol. 5, №2/3. - Р. 283-291.

12. Рудаков, О.Б. Фракционный состав антоциановых красителей из растительных экстрактов и контроль над ними методом ВЭЖХ / О.Б. Рудаков [и др.] // Вестник ВГУ Серия: Химия. Биологя. Фармация. - 2004. - №1. - С. 85-93

13.    Антоцианы - красящие вещества в клетках растений. Материалы с сайта Удивительный мир растений - свободной энциклопедии URL: http://www.valleyflora.ru/7-1.html.

14.    Ставицкая Т.В. Применение экстракта черники в офтальмологии // Клиническая офтальмология. - 2002. - №2. - C. 86-87

15.    Е163 - Антоцианы [Электронный ресурс] / Электрон. дан. - [М.]. 2010-2013., URL: http://dobavkam.net/additives/e163 (Дата обращения: 04.05.2013)