Трубчатые системы распределения воды градирен относятся к системам большого сопротивления, в которых разбрызгивающие сопла располагаются с постоянным шагом (обычно 0,5-1 м). Равномерность распределения воды в таких системах достигается за счет существенно большего сопротивления проходу воды в соплах, чем изменение пьезометрического напора в трубопроводе за счет потерь на трение и восстановление скоростного напора при изменении скорости движения воды.
Методы расчета трубчатых систем
распределения воды основаны на общеизвестных законах гидравлики при движении
жидкости по трубопроводу с переменной массой. Расчет напорных
водораспределительных систем заключается в определении таких диаметров труб и
скорости движения воды в них, при которых обеспечиваются примерно одинаковые
напоры воды перед соплами и не происходит засорение труб взвешенными частицами
[9].
.3.1 Водоразбрызгивающие сопла
Современные требования к разбрызгивающим соплам градирен в части экономии энергозатрат и равномерности распределения воды по оросителю могут быть сформированы следующим образом: они должны обеспечивать развитый факел разбрызгивания воды с радиусом 1,5-2 м при 5-30 кПа и не подвергаться засорению при концентрации взвешенных веществ в оборотной воде около 100-150 мг/л в присутствии механических включений (окалины, продуктов коррозии стали и т.п.).
По принципу действия сопла разделяются на центробежные, струйно-винтовые и ударные. Большое разнообразие сопел обусловлено, с одной стороны, поиском конструкции, которая при малом напоре воды и достаточной производительности обеспечивала бы требуемые гидравлические характеристики, а с другой - стремлением каждой фирмы иметь свою конструкцию сопла, чтобы изготавливать все элементы градирен на собственном производстве и по патентным соображениям.
Сопла ранее изготовлялись, в основном, литыми из чугуна или цветного металла. В последние годы в нашей стране и за рубежом для изготовления сопел стали применять пластмассу - полиэтилен, полистирол и др.
Сопла из пластмасс не подвергаются коррозии в условиях работы градирен, проще и дешевле в изготовлении и имеют меньшую шероховатость внутренней поверхности, что при прочих равных условиях увеличивает их пропускную способность. Пластмассовые сопла обладают также более устойчивыми гидравлическими характеристиками.
При проектировании водораспределительных систем градирен сопла подбирают с учетом их пропускной способности, габаритов факелов разбрызгивания при располагаемом напоре воды и степени загрязненности оборотной воды. Во всех случаях расположение сопел на трубах водораспределительной системы должно обеспечивать равномерное распределение воды по площади оросителя.
Эффективность работы сопел в градирне определяется их основными технологическими (гидравлическими) характеристиками, зависящими от заданного напора перед соплами: расхода воды через сопло, радиуса факела разбрызгивания, распределения воды в зоне факела.
Иногда в качестве водоразбрызгивающих сопел для градирен, если это экономически оправдано, применяются форсунки широкого назначения, например форсунка каскадная высокопроизводительная типа ФГ. Согласно проекту, форсунка ФГ предназначена для среднего и грубого распыления жидкости в градирнях, скрубберах, конденсаторах, а также для распыления загрязненной жидкости большой температуры с частицами размером до 10-15 мм. Форсунка изготавливается из нержавеющей стали или металла, защищенного от коррозии специальным покрытием.
При выборе типа сопел слудет учитывать, что при
тонком распыливании воды капли мелких фракций могут уноситься уходящим из
градирни воздухом или же полностью испаряться, что увеличивает потерю воды и
приводит к увлажнению воздуха, ухудшающему охлаждению остальных капель [9].
3.3.2 Системы распределительных труб и лотков
В градирнях могут применяться трубчатые или лотковые системы распределения воды. Напорные трубчатые системы в сравнении с лотковыми безнапорными создают меньшее сопротивление проходу воздуха, менее чувствительны к колебаниям расхода воды и проще в эксплуатации. По этой причине в нашей стране примерно с 1970г. градирни проектируются и строятся с трубчатыми водораспределительными системами. Однако за рубежом лотковые водораспределительные системы широко используются. Они более экономичны по энергозатратам на подачу воды на градирни. Схема трубопроводов в плане принимается соответственно форме поперечного сечения градирни. При работе этих систем происходит снижение расхода в направлении движения воды по трубопроводу (лотку) вследствие попутного его оттока через разбрызгивающие сопла (насадки).
Гидравлический расчет систем
заключается в определении диаметров магистральных и распределительных труб при
заданном напоре воды в начале системы, при которых обеспечивается относительно
равномерное распределение расходов воды по трубам и через разбрызгивающие
сопла. Характерной особенностью истечения воды через разбрызгивающие сопла
некоторых конструкций является неполное заполнение водой выходного отверстия
(несовершенное сжатие струи). Степень равномерности распределения расходов воды
между соплами зависит от соотношения потерь напора (сопротивления) в них и по
длине распределительной трубы. При этом степень равномерности можно повысить
увеличением потерь в соплах или уменьшением их по длине трубы. Потери напора в
соплах можно повышать путем уменьшения числа сопел или их производительности.
Снизить потери напора по длине трубы можно увеличением площади ее поперечного
сечения. Контролируют скорость движения воды: в магистральных трубах она должна
быть около 1,5-2 м/с, в распределительных - не более 1,5 м/с. Распределительные
трубы могут быть стальными, асбестоцементными и пластмассовыми; магистральные -
преимущественно стальными [9].
.
ПОКАЗАТЕЛИ ВОДЯНОГО ОХЛАЖДЕНИЯ ОБОРУДОВАНИЯ ТУРБИННОГО ЦЕХА
Градирни предназначены для охлаждения циркуляционной воды, нагретой в конденсаторах турбин, маслоохладителях и газоохладителях турбогенераторов и питательных насосов. Охлаждение воды в градирнях происходит за счет испарения части воды теплом, отнимаемым от основной массы воды, вследствие чего температура неиспарившейся воды снижается. Теоретическим пределом охлаждения воды является температура конденсации водяных паров в воздухе, т.е. температура по мокрому термометру.
Сооружения и оборудование подразделяются на две автономные системы техводоснабжения 1-ой и 2-ой очереди.
В состав 1-ой очереди входят:
градирни № 1,2;
цирк. водоводы с арматурой и колодцами: всасывающий А и Б и сбросной А и Б - с узлом подпитки от коллекторов сырой воды А и Б;
циркуляционные насосы (ЦН) типа Д6300-27-3 .. - 2 шт.;
циркуляционные насосы (ЦН) типа 32Д-19 - 4 шт.;
насосы технической воды (НТВ) типа 12 НДС - 3 шт.;
типа 200Д60 - I шт.;
насосы газоохладителей (НГО) типа К290-30 -2 шт.;
насосы газоохладителей (НГО) типа 8K-I2 - 4 шт.
В состав 2-ой очереди входят:
градирни № 3,4,5;
лотки и водоводы, шандорные камеры;
цирк. водоводы с арматурой и колодцами: сбросной А и Б, напорный А и Б - с узлом подпитки от коллекторов речной воды А и Б.
Оборудование ЦНС-1 (циркуляционная насосная станция):
. насосы (ОЦН) типа ОПВ 3-87-КЭ - 1 шт.;
. дренажные насосы типа 6K-I2 - 2 шт.; С-569 - 2 шт.;
. насосы газоохладителей типа 12Д-19 ~ б шт.;
. здание ЦНС и камера переключений.
Оборудование ЦНС-2:
Примечание: для изучения оборудования ЦНС-2 использовать "Инструкцию по эксплуатации оборудования ЦНС-2".
Циркуляционная вода из градирен поступает к циркуляционным насосам, насосами подается в напорные цирк. водоводы. Вода проходит по трубкам конденсатора турбин, снимает тепло и далее поступает на градирни, охлаждается и так постоянно циркулирует. Часть цирк. воды подается на маслоохладители турбин.
На газоохладители вода подается насосами НГО. На 1-ой очереди НГО и НТВ (для турбины №3) воду забирают из всасывающих цирк. водоводов, а на 2-ой очереди - из напорных цирк. водоводов.
В машзале на отм. -1.00м по ряду Б проходят 2 коллектора технической воды: напорный и сбросной - для охлаждения маслоохладителей и воздухоохладителей:
питательных электронасосов (ПЭН) и охлаждения подшипников насосов. В напорный коллектор вода поступает от насосов НТВ и циркуляционных насосов (ЦН).
Градирни №1,2 брызгальные, башенные, каждая с площадью орошения 1280 м2, производительностью 9200 м3/ч каждая и охлаждающей способностью 8°С.
Высота градирни 49,5м, диаметр вписанной окружности бассейна 40м.
Градирня состоит из следующих основных элементов:
вытяжной башни, служащей для создания тяги воздуха, обеспечивающего вынос водяных паров, с которыми отводится тепло охлаждаемой воды;
водораспределительного устройства состоящего из радиальных трубопроводов, подключенных к центральному стояку на различных отметках;
разбрызгивающего устройства состоящего из 2050 эвольвентных сопел, номинальный напор воды перед соплами 4,0 м вод. ст.;
водосборного бассейна для сбора: охлаждаемой воды и содержания запаса воды в циркуляционной системе. Для опорожнения и сброса переливных вод каждая половина градирни оборудована соответствующим устройством.
Отвод охлаждающей воды от каждой половины градирни производится самотечными лотками, в которых установлены сороудерживающие решетки. К всасывающим патрубкам циркуляционных насосов вода транспортируется по двум безнапорным трубопроводам ф1200 мм, проложенных в земле.
Из приемной камеры циркуляционными насосами
охлажденная вода подается на самоочищающиеся фильтры, где задерживаются крупные
частицы взвеси для исключения возможности забивания форсунок потребителей и
далее на потребителя.
Таблица 1 - Качество воды
Ингредиенты
Подпиточная
вода, мг/л-мгэкв/л
Оборотная
вода, мг/л-мгэкв/л
С2
В
Общий
растворенный сухой остаток
До
2
От
250 до 550 включ.
Растворенный
кислород
От
1 до 2 включ.
-
Окись
кремния
0,4
-
Общее
железо
0,1
0,01
Жесткость
0
От
100 до 140 включ.
Щелочность
-
От
35 до 60 включ.
СО2
0
От
0 до 0,1 включ.
Органические
вещества
0
0
Взвешенные
вещества
-
<10
рН
8±0,5
От
7 до 7,5 включ.
Таблица 2 - Характеристика оборудования
Наименование
групп насосов
Насосы
подачи воды на охлаждение турбоустановки
Марка,
тип
Д6300-27-3,
З2Д-19
Количество
6
Производительность,
м3/ч
6000
Напор,
м.в.ст.
21
Число
оборотов
590
Мощность,
кВт
320
Наличие
АВР
Система
автоматического включения резервного насоса при понижении давления в падающем
трубопроводе
Самоочищающиеся фильтры
Предназначены для удаления из воды крупных
механических примесей.
Тип фильтра - напорный.
Способ управления фильтрами - автоматический по
перепаду давления или от реле времени.
Способ подачи промывной воды - обратная промывка
исходной водой.
Место отвода промывной воды - в коллектор отвода
промывных вод на горизонтальные отстойники промывки песчаных фильтров.
Количество фильтров - 2 шт
Качество воды - С2
5.
АНАЛИЗ технического состояния градирни и решения по ее реконструкции
В настоящее время нарушений
покрытия бетонного каркаса градирни не обнаружено. Распределительные лотки
забиты шламом, вода, минуя форсунки, переливом стекает на деревянные оросители,
большая часть которых полностью вышли из строя. Деревянные жалюзи на окнах
отсутствуют (демонтированы). Приемные окна в бетонном полу градирни забиты деревянными
остатками оросителей, что затрудняет проход воды в чашу градирен.
Температура охлажденной воды на выходе из
градирни составляет 280С. В соответствии с требованиями технического
регламента для охлаждения оборудования, а также двигателей необходимо обеспечить
температуру охлажденной воды tх=20
0С. Это обуславливает необходимость выполнения работ по
реконструкции градирни с установкой более совершенного оборудования.
В основном эффективность процесса охлаждения
оборотной воды на градирнях определяется насадочными устройствами
(оросителями), призванными обеспечить необходимую поверхность контакта фаз при
минимальных аэро- и гидродинамическом сопротивлениях.
В настоящее время известно большое многообразие
конструкций оросителей градирен, однако ввиду того, что в промышленности
наблюдается тенденция замены изделий из традиционных материалов (древесина,
асбестоцемент) на полимерные изделия с различными размерами и формами сечения,
спрос на которые возрастает как на внутреннем, так и на мировом рынке, возникает
необходимость создания новых высокоэффективных и технологичных конструкций
оросителей градирен из полимерных материалов. При этом оросительные устройства
в каждом конкретном случае должны соответствовать техническим требованиям,
предъявляемыми государственными и отраслевыми стандартами в отношении
охлаждающей способности при минимальных затратах. Необходимо учитывать и ряд
других показателей - долговечность, изнашиваемость материала, прочность и массу
оросителя, легкость установки, доступность ремонтов и осмотров, а также наличие
в охлаждаемой воде взвешенных веществ и агрессивных примесей.
Строительные решения по
реконструкции градирни в Турбинном цехе ООО «ЛУКОЙЛ-Волгоградэнерго» Волжской
ТЭЦ предполагают использование существующего каркаса градирни с выбраковкой
дефектных элементов и их заменой и включают следующие мероприятия:
замену существующего
деревянного опорного каркаса под ороситель и водоуловитель на металлический;
устройство сеток под ороситель
и водоуловитель;
устройство опорных конструкций
для крепления трубопроводов водораспределительной системы;
монтаж зимнего ограждения
градирни и ветровой перегородки;
- монтаж полимерного оросителя
для обеспечения нормативного значения температуры охлажденной воды;
монтаж полимерного
водоуловителя для обеспечения нормативного капельного уноса (0,001% расхода
охлаждающей воды).
Перед началом
строительно-монтажных работ существующие деревянные конструкции градирни
демонтируются.
Для крепления трубопроводов
водораспределительной системы устраивается балочная клетка.
Поверх водораспределительной
системы укладывается сетка с шагом ячей 400×400 мм,
на которой размещаются блоки водоуловителя.
Под ороситель запроектирована
балочная клетка, поверх которой укладывается металлическая сетка с шагом ячей
200×200
мм.
Зимнее ограждение градирни
выполнено в виде навесных щитов из стального профилированного листа.
Ветровая перегородка
запроектирована из поливинилхлоридных экструзионно-профилированных листов
ЭПЛ-200 по ТУ 2247-002-0206888-99.
Листы ЭПЛ-200 крепятся шурупами
к деревянному антисептированному брусу, образующему пояс каркаса. Деревянный
каркас антисептируется водным раствором и крепится кронштейнами к несущим
конструкциям градирни.
Материал металлоконструкций сталь С245 и С235 по
ГОСТ 27772-88. После монтажа все металлоконструкции, предварительно очищенные
от ржавчины, покрываются тремя слоями лака ХС-76 по двум слоям грунта ХС-010.
Серьезный прогресс в области охлаждения воды в
градирнях произошел в последние 30 лет и выразился в предложении широкой гаммы
высокоэффективных оросителей из пластических масс, долговечных, негорючих,
обеспечивающих высокую степень охлаждения воды.
ИК-110 «ороситель косой дождь
модернизированный», разветвленная сетчатая поверхность тепло-массообмена,
позволяет сократить объем, транспортные расходы, и стоимость поставки.
Вертикальное расположение сетчатых трубок предотвращает забивку механическими
примесями. Кроме этого, согласно заключения НИИ «ВОДГЕО», ОКД-м имеет лучшие
теплотехнические характеристики по сравнению с ранее выпускаемыми оросителями.
Габаритные размеры (мм): 690×680×430;
вес
5.0 кг;
Удельная поверхность тепло-массообмена 95 м2/м3.
Ороситель градирни высотой С практической точки зрения, предлагаемая
конструкция оросителя градирен имеет следующие преимущества:
высокая прочность;
долговечность, самый высокий срок службы;
способность выдерживать низкие температуры и
перепады температур;
простота монтажа и эксплуатации;
снижение трудозатрат на монтаж и эксплуатацию
градирен;
малый вес;
высокая функциональность (-120 до +120 возможность продажи как вторичного сырья после
окончания срока службы;
отсутствие металлических элементов;
не подвержен биообрастанию;
экологически чистый материал.
Водоуловитель - каплеотбойник (ИК-100) выполнен
из гофрированных полиэтиленовых пластин. Расстояние между пластинами 65 мм.
Одна сторона пластины шириной 85 мм имеет козырек, выступающий на 10 мм под
углом 90°.
Укладка водоуловителей (каплеотбойников)
производится на арматурную сетку «козырьком» вверх.
Работы по монтажу оборудования и трубопроводов
производятся согласно СНиП 3.05.05-84 и ПБ 03-585-03 «Правил устройства и
безопасной эксплуатации технологических трубопроводов». Фланцевые соединения
комплектуются прокладками из материала ПОН по ГОСТ 481-80. Металлоконструкции
выполняются согласно СНиП 3.03.01-87 и СНиП 111-18-75. После монтажа все
трубопроводы и металлоконструкции, предварительно очищенные от ржавчины,
покрываются тремя слоями лака ХС-76 по двум слоям грунта ХС-010.
6.
ТЕПЛОВОЙ
РАСЧЕТ ГРАДИРНИ
Градирня представляет собой теплообменный
аппарат, в котором теплоноситель - вода передает тепло охлаждающему агенту -
воздуху путем непосредственного контакта. Для обеспечения необходимой площади
поверхности контакта градирня оборудуется специальным элементом - оросительным
устройством (оросителем).
Охлаждение воды в градирни
представляет собой сложный гидроаэротермический процесс тепло- и массообмена
между соприкасающимися потоками воды и воздуха. Эффективность охлаждения воды в
градирне зависит от интенсивности действия двух процессов: теплообмена и
массообмена. Теплообмен происходит при соприкосновении воды с воздухом, а
массообмен - в результате испарения воды с ее развернутой поверхности. Оба
процесса протекают одновременно в общем гидродинамическом поле скоростей воды и
воздуха, образуя при взаимодействии единый процесс переноса тепла.
Общий процесс теплопереноса
сопровождается изменением энтальпий (теплосодержаний) воздуха на границе и в
ядре потока по пути его движения в оросителе градирни (например, по высоте
оросителя при противотоке).
Тепловой расчет производится как при
проектировании новых градирен, так и при привязке типовых проектов градирен с
учетом местных метеорологических условий, требований к температурам охлажденной
воды и гидравлических нагрузок.
Определение количества тепла, передаваемого
оборотной воде от технологических установок, является необходимым условием для
теплотехнических расчетов охлаждения воды на градирне.
Баланс тепла, отдаваемого в градирне водой и
воспринимаемого воздухом, представляется в следующем виде:
где Материальный баланс (баланс влаги)
определяется равенством между количеством испарившейся жидкости и приращением
влагосодержания воздуха:
где Определение технологических параметров градирни
осуществляется с помощью трех видов расчета: аэродинамического, теплового и
гидравлического.
Методики расчета вентиляторной градирни изложены
в [9].
Задача теплового расчета заключается в
определении необходимого количества воздуха, подаваемого вентиляторной
установкой на градирню, обеспечивающего охлаждение горячей воды до заданной
температуры (при выбранной компоновке оросителя). Наиболее широкое
распространение и общее признание во всем мире здесь получил метод Меркеля. При
расчете градирни использован сжатый современный вариант метода с учетом
допущений, принятых самим Меркелем.
Процесс тепломасообмена между водой и воздухом в
оросителе градирни может быть упрощенно описан следующим уравнением:
где Коэффициент где Уравнение (7.5) показывает зависимость
коэффициент массоотдачи .1 Тепловой расчет существующей градирни
Исходные данные для расчета:
Параметры атмосферного воздуха приняты
по данным для города Волгограда из условий 5% обеспеченности:
Технологический расчет можно условно
разделить на два этапа. На первом этапе определяется удельный расход водуха λ, на втором -
плотность орошения Первый этап. Для определения
величины λ
вычисляются
вспомогательные величины Y, U и R по
формулам:
где где 6.1.1 Удельная энтальпия насыщенного
воздуха у поверхности воды на входе в градирню
где .1.2 Удельная энтальпия воздуха в
ядре потока при входе в градирню
где 6.1.3 Удельная энтальпия насыщенного
воздуха у поверхности воды на выходе из градирни
где .1.4 Удельная энтальпия насыщенного
воздуха у поверхности воды при ее средней температуре
.1.5 Поправка к удельной энтальпии воздуха
где .1.6 Вспомогательная величина по формуле (6.6)
.1.7 Поправочный коэффициент по формуле (4)
.1.8 Вспомогательная величина по формуле (6.7)
6.1.9 Технологические характеристики для
существующего пленочного оросителя из деревянных брусков
.1.11 По графику черт.23 [10] в
зависимости от вспомогательных величин .1.12 Удельный расход воздуха
Второй этап. На втором этапе
технологического расчета определяется плотность орошения (удельный расход воды)
Для башенных градирен:
В этом уравнении где где где
где где Уравнение (6.15) является
кубическим, выраженным в канонической форме. Для определения где 6.1.13 Гидравлическая нагрузка на
градирню (расход оборотной воды)
где .1.14 После определения плотности
орошения необходимо проверить соответствие аэродинамических сопротивлений на
градирни напору, развиваемому вентилятором. Для этой цели вычисляется подача
воздуха вентилятором где Номинальная подача составляет 436.25
тыс. 6.1.15 Скорость движения воздуха в
свободном сечении градирни
6.1.16 Определение объемного
коэффициента массоотдачи Теоретических методов для
определения где где где где .1.17 Тепловая нагрузка на градирню
по формуле (6.3)
.2 Тепловой расчет модернизированной
градирни
Исходные данные для расчета:
Параметры атмосферного воздуха
приняты по данным для города Волгограда из условий 5% обеспеченности:
Основным конечным технологическим
показателем работы градирен является температура охлажденной воды.
Определение температуры охлажденной
воды Нахождение искомой величины может
быть выполнено только итерационным методом (подбором), посколько эта величина
входит в обе части уравнения и может быть разделена. Для решения этого
уравнения может быть применен любой из трех способов расчета: с помощью ПЭВМ по
специально составленным программам, по графикам или «вручную».
Предположим, температура охлажденной
воды на выходе из градирни .2.1 Удельная энтальпия насыщенного
воздуха у поверхности воды на выходе из градирни
где .2.2 Удельная энтальпия насыщенного
воздуха у поверхности воды при ее средней температуре
где .2.3 Поправка к удельной энтальпии воздуха
6.2.4 Поправочный
коэффициент по формуле (6.4)
.2.5 Скорость движения воздуха в
свободном сечении градирни
.2.6 Плотность воздуха
.2.7 Относительный расход воздуха в
градирне
.2.8 Удельная энтальпия воздуха в
ядре потока при выходе из градирни
.2.9 Средняя разность удельных энтальпий воздуха
по формуле (6.35)
6.2.10 Технологические характеристики для
полимерного оросителя «косой дождь модернизированный» (ОКД-м)
.2.11 Температура охлажденной на градирне воды
по формуле (6.37)
Следовательно, температура охлажденной на
градирне воды при замене оросителя на полимерный составит 18.2 .2.12 Перепад температур воды по формуле (6.34)
.2.13 Объем оросителя
.2.14 Коэффициент испарения по формуле (6.33)
.2.15 Объемный коэффициент массоотдачи по
формуле (6.31)
.2.16 Тепловая нагрузка по формуле (6.3)
При выполнении тепловых расчетов существующей и
модернизированной градирен был подсчитан расход оборотной воды (гидравлическая
нагрузка на градирню), который равен 1736.5 м3/ч. В соответствии с
требованиями технологического регламента, температура на выходе из данной
градини не соответствует требуемым условиям производства и составляет 20 7. Аэродинамический
расчет градирни
7.1 Аэродинамический
расчет существующей градирни
Задачей аэродинамического
расчета является определение аэродинамического сопротивления градирни. Расчет
выполнен на основе усовершенствованной методики, разработанной НИИ ВОДГЕО [9].
Общее сопротивление градирни где Подсчет сопротивления секции
производится по формуле
где где где 0.2 - коэффициент удельного
сопротивления дождя под оросителем, отнесенный к скорости воздуха в свободном
горизонтальном сечении;
qж = 15.84 м3/(м2∙ч)
- плотность орошения.
Коэффициент аэродинамического
сопротивления при подаче воды на градирню:
Коэффициент сопротивления градирни (секции):
Полное аэродинамическое сопротивление градирни:
.2 Аэродинамический расчет модернизированной
градирни
Задачей аэродинамического
расчета является определение аэродинамического сопротивления градирни. Расчет
выполнен на основе усовершенствованной методики, разработанной НИИ ВОДГЕО [9].
Общее сопротивление градирни Где Подсчет сопротивления секции производится
по формуле (7.2)
где где где 0.2 - коэффициент удельного
сопротивления дождя под оросителем, отнесенный к скорости воздуха в свободном
горизонтальном сечении;
Коэффициент аэродинамического
сопротивления при подаче воды на градирню:
Коэффициент сопротивления градирни (секции):
Полное аэродинамическое сопротивление градирни:
Необходимо проверить соответствие
аэродинамических сопротивлений на градирни напору, развиваемому вентилятором.
Для этой цели вычисляется подача воздуха вентилятором где Номинальная подача вентилятора
составляет 436.25 тыс. Скорость движения воздуха в
свободном сечении градирни
В результате аэродинамического
расчета существующей и модернизированной градирен было определено общее
аэродинамического сопротивление и количество воздуха равно 479491 м3/ч.
Аэродинамическое сопротивление градирни считается соответствующим напору. Также
была найдена скорость движения воздуха в свободном сечении градирни, равная
2.43 м/с.
8.ПОКАЗАТЕЛИ МАТЕРИАЛЬНОГО БАЛАНСА
ПОТЕРЬ ВОДЫ В ГРАДИРНЕ
При охлаждении воды в градирнях
всегда происходит потеря воды за счет испарения и уноса капельной влаги с
уходящим воздухом. Количество испарившейся воды может быть подсчитано исходя из
уравнения теплового и материального баланса:
где Количество испарившейся воды может
быть выражено также и через расход и влагосодержание воздуха, кг/с (кг/ч):
где Решая совместно эти уравнения,
получим следующую формулу для определения количества испарившейся воды:
Этой формулой удобно
пользоваться при испытаниях действующих градирен в натуре или опытных установок
в лабораторных условиях, когда требуется определить относительно точные
количества испарившейся воды.
При проектировании систем
оборотного водоснабжения для определения расхода добавочной воды (для
восполнения ее потерь) можно исходить из предположения, что все тепло
отнимается от воды только за счет испарения и тогда можно написать
где Отсюда количество испарившейся
воды в процентах от общего расхода циркуляционной воды будет определяться
формулой
где При средних температурах воды в
градирнях коэффициент Количество испарившейся воды в
процентах от общего расхода циркуляционной воды для существующей градирни:
Количество испарившейся воды в
процентах от общего расхода циркуляционной воды для модернизированной градирни:
Восходящий поток влажного воздуха
при прохождении через градирню увлекает мелкие капли и выносит их за ее
пределы. Вынос капель воды вызывает увлажнение расположенных поблизости от
градирен сооружений, а также потери воды в системе оборотного водоснабжения
предприятия. Для снижения потерь воды вследствие уноса капельной влаги с
уходящим воздухом градирнях всех типов предусматриваются водоуловители.
Потери воды в результате уноса Величина этих потерь может быть
установлена только экспериментально, однако проведение опытов затруднено из-за
небольшой величины уноса по отношению к общему расходу воды. Для брызгальных
градирен градирен принимаются потери за счет уноса в размере 1.0-1.5%
циркуляционного расхода воды. При неисправностях водораспределителя (лоткового)
и водоуловителя размер этих потерь значительно возрастает. По данным натурных
испытаний каплеотбойника (ИК-100) производства ООО «ИРВИК», который будет
использоваться в модернизированной градирне Резервуары градирен, как правило,
выполняются с гидроизоляцией. Потери воды на фильтрацию при этом малы, и их при
расчете обычно не учитывают.
Величина потери на продувку Количество добавочной воды.
Количество воды, добавляемой в
систему Кроме того, оборотная вода часто
расходуется на технологические и другие нужды предприятия, что компенсируется
соответствующим увеличением количества добавляемой в систему воды дополнительно
к 9. ОХРАНА ОКРУЖАЮЩЕЙ СРЕДЫ
Экологические требования по защите окружающей
среды, в частности, от воздействия промышленных объектов постоянно возрастают.
Градирню рассматривают в двух аспектах - как источник шума и как источник
выбросов аэрозолей вместе с выходящим из нее насыщенным воздухом в атмосферу.
При согласовании строительства вентиляторных
градирен санитарная инспекция прежде всего рассматривает их как источник шума.
Градирни должны отвечать требованиям защиты окружающей среды от шума в
соответствии с допустимыми санитарными нормами.
При размещении градирен на жилых или
производственных территориях с нормируемым уровнем шума, требуется производить
акустический расчет и при необходимости предусматривать мероприятия по снижению
шума [9].
.1 Шумовые характеристики градирен
Градирня как источник шума представляет собой
сооружение, в котором шум может создаваться движением воды (шум «дождя») - на
частотах 500-8000 Гц. В зависимости от конструкций и размеров градирни в
создаваемом ею шуме может преобладать один из указанных источников, или они
могут быть равны по мощности звука. Дополнительные шумы могут возникнуть также
при колебаниях и вибрациях отдельных элементов градирни (оболочки, диффузора и
т.п.).[9].
При больших размерах секции значительную долю в
общий шум, создаваемый градирней, может вносить шум «дождя», особенно на
высоких частотах. Разница в шуме градирни с различными типами капельных и
пленочных оросителей несущественна и колеблется в пределах 3 дБ.
Шум, создаваемый градирней, оценивается по ее
шумовой характеристике. Шумовой характеристикой вентиляторной градирни принято
считать уровни звукового давления на среднегеометрических частотах октавных
полос в диапазоне 63-8000 Гц на расстоянии 1 м от звукоактивных поверхностей.
Звукоактивная поверхность - часть поверхности
градирни с наибольшим излучением шума (входные окна, корпус вентилятора, выход
из диффузора).
9.1.1 Основные мероприятия по
снижению шума градирен
Уровень шума градирен, как
правило, не певышает допустимого по санитарным нормам для территорий
промышленных предприятий уже на расстоянии 10м, поэтому их можно размещать в
любом месте промышленного предприятия без проведения каких-либо мероприятий по
защите от шума. Однако если поблизости находятся жилые или другие здания,
уровень шума для которых ограничен санитарными нормами, следует предусматривать
мероприятия для снижения уровня шума в расчетных точках до значений, допустимых
санитарными нормами.
Эти мероприятия необходимо
предусматривать на стадии проектирования и привязки к местности, что обходится
обычно в 2-3 раза дешевле, чем обеспечение защиты от шума после пуска градирен
в эксплуатацию.
Борьба с шумом градирен
осуществляется по следующим основным направлениям:
уменьшение шума в источнике
(градирне) конструктивными и административными методами (создание и применение
малошумного источника, регламентация времени его работы и мест расположения на
территории);
снижение шума на пути его
распространения в городской среде от источника (градирни) до объекта
шумозащиты;
устройство шумозащиты
непосредственно на объекте конструктивно-строительными методами,
обеспечивающими повышение звукоизолирующих качеств ограждающих конструкций,
зданий и сооружений.
устройство удлиненных
диффузоров с непрерывным течением потока при покрытии внутренней поверхности
диффузора звукопоглощающим материалом с пластмассовой пленкой для защиты от
воды;
размещение градирен с выходом
звуковой энергии в сторону, противоположную рассматриваемому помещению.
В качестве мероприятий по
борьбе с шумом на путях его распространения могут быть рекомендованы:
удаление от жилых домов на
достаточное расстояние;
устройство между градирней и
рассматриваемым объектом экранов в виде насыпей, ограждений, стенок, полос
зеленых насаждений;
использование глушителей [9].
.2 Воздействие выбрасываемых из
градирен аэрозолей на окружающую среду
Работающая градирня выбрасывает
в атмосферу нагретый до 35-45 °С насыщенный водяными парами воздух, содержащий
капли воды размером 100-
мкм в количестве 0,5-1 г на 1 м3
воздуха. С парами в атмосферу поступает примерно 95% тепла, отводимого от
охлаждаемого оборудования, а оставшаяся часть тепла отводится в водоисточники с
продувочной водой. Интенсивность теплового потока на выходе из градирни в
зависимости от тепловой нагрузки может достигать 250-300 кВт/м2. Он
создает факел тумана (паровой факел), поднимающийся на высоту до 150-300 м и
распространяющийся в направлении ветра на 2-10 км. Наличие парового факела
является неотъемлемым признаком мокрых градирен, работающих по принципу
испарительного охлаждения воды.
При работе на промплощадке
большого количества мокрых градирен и определенном сочетании погодных условий
группа факелов может формировать в районе предприятия местный микроклимат с
повышенной влажностью атмосферного воздуха. Кроме того, при наличии в
атмосферном воздухе газообразных примесей выходящая из градирни влага может с
ними взаимодействовать и образовывать вредные для окружающей среды соединения.
При требованиях к работе
охладителей, исключающих видимость паровых факелов, применяются сухие или
гибридные градирни.
При использовании для подпитки
оборотных систем городских и промышленных сточных вод, а также сильно
минерализованных природных вод (например, морской воды) градирни могут быть
источником вредного воздействия на окружающую среду - атмосферу, почву, водные
объекты.
Вредное воздействие происходит
в результате выброса капель оборотной воды в атмосферу, осаждения их на почву и
на поверхность воды водных объектов. Капли воды распространяются в атмосфере в
районе градирен и увлажняют поверхность земли и близрасположенные сооружения, а
в зимний период вызывают их обледенение, поэтому в СНиП приведены допустимые
минимальные расстояния от градирен до ближайших сооружений.
Градирни размещают по отношению
к жилым застройкам с учетом розы ветров. При этом следует предусматривать
санитарно-защитные зоны.
Зона выпадения капельной влаги
на поверхности земли имеет форму элипса с большой осью, проходящей через центр
градирни в направлении ветра. Наибольшая интенсивность выпадения капель на
поверхность земли в этой зоне находится на большой оси элипса на расстоянии
примерно двух высот градирни. Размер зоны зависит от высоты градирни, скорости
ветра, степени турбулентности воздуха в приземном слое, концентрации и
крупности капель, а также от температуры и влажности атмосферного воздуха.
При использовании в системах
оборотного водоснабжения с градирнями очищенных сточных вод остаточные примеси
вредных веществ и токсичных ингибиторов коррозии могут повлиять на
санитарно-гигиенические условия в зоне выброса и распространения водного
аэрозоля, выносимого из градирен.
На основе экспериментальной и
расчетной оценки токсичности аэрозолей оборотных вод устанавливаются
гигиенические нормативы - ориентировочные безопасные уровни воздействия
аэрозолей (ОБУВ). Такие нормативы должны учитываться при определении
допустимого выноса капельной влаги из градирен при расчетах минимальной
санитарно-защитной зоны от градирен до жилой зоны.
Возможен контроль загрязнения
атмосферы в районе расположения градирни и по аэрозолям отдельных компонентов,
которые встречаются в оборотной воде при использовании сточных вод, при этом их
концентрация не должна превышать ПДК.
Эпидемическая безопасность в
районе градирен обеспечивается обработкой сточных вод, используемых в системах
оборотного водоснабжения различными реагентами или безреагентными методами
обеззараживания воды. Допускается обработка оборотной воды гипохлоридом натрия,
озоном, озоном с хлором [9].
10.ТЕХНИКА БЕЗОПАСНОСТИ ПРИ
ЭКСПЛУАТАЦИИ ГРАДИРНИ
. Всe колодцы в схеме
циркуляционного тех. водоснабжения должны быть надежно закрыты крышками и
должны иметь таблички с наименованием задвижек, расположенных в них.
. Проемы шандорных камер имеют
надежное перекрытие из рифленого железа, смотровые окна в шандорной камере ЦНС
ограждены и имеют сетчатое перекрытие. Открывать перекрытие шандорных проемов и
шандорных камер ЗАПРЕЩАЕТСЯ.
. Камеры напорных задвижек
градирен и камера переключении ЦНС имеют стационарное освещение. Неисправности
в цепях освещения, а также замена ламп производится электромонтером.
. Осмотр градирен, ЦНС,
шандорных камер и камер переключений разрешается производить единолично.
Проверку работы разбрызгивающих устройств градирен разрешается производить
только в присутствии второго лица.
. Вce переключения и отключения
по выводу в ремонт цирк. водоводов производятся по программам.
. Допуск к работам ремонтных,
монтажных и строительных бригад производится по нарядам, согласно установленных
правил допуска к работам.
. Поддон бака для хранения
суточного запаса масла должен быть чистым и сухим. Пролитое масло должно
убираться немедленно.
. Обкалывание льда с
периферийных частей градирни производить с разрешения начальника смены цеха
специальным шестом и в присутствии наблюдающего.
. Камера переключений должна
быть закрыта на замок
. Средства пожаротушения должны
храниться в установленном месте, неисправные и пустые огнетушители должны
своевременно заменяться исправными.
При проведении ремонтных работ
следует руководствоваться требованиями СНиП 12-03-2001 «Безопасность труда в
строительстве. Часть 1. Общие требования», СНиП 12-04-2002 «Безопасность труда
в строительстве. Часть 1. Строительное производство». Охлаждение воды заданного расхода до требуемой
температуры может быть обеспечено на градирнях различных типов и конструкций с
неодинаковыми затратами материальных и трудовых ресурсов и при неодинаковых
дополнительных нагрузках на окружающую среду. Поэтому при разработке новых и
привязке существующих проектов градирен к местным условиям строительства и
эксплуатации следует производить расчеты технико-экономических показателей
градирни для оценки эффективности ее реконструкции. Критерием выбора варианта
является минимум затрат, рассчитываемых с учетом фактора времени, или максимум
При оценке эффективности предлагаемого решения
используют обобщающие и частные показатели. К основным обобщающим показателям
экономической эффективности относят:
- годовой экономический эффект;
- расчетный коэффициент
эффективности капитальных затрат;
- срок окупаемости.
Капитальные вложения:
Продолжительность работы
турбоагрегата ст.№2 в летний период со средним расходом пара (по данным учета)
в конденсатор 200 т/ч составляет 3600 час/год. Дополнительная выработка
электроэнергии в год:
Экономия условного топлива:
где: Экономический эффект в
предварительных ценах т.у.т на 2015 г. (4768,99 руб/тут):
,99руб/тут*649,4тут/год=3097 тыс.руб
Экономический эффект от установки
влагоуловителя из ПВХ малого сопротивления при средней экономии воды 60 м3/ч и
предварительной стоимостью технической воды (с учетом индексации на 2015 г.)
6,2 руб/м3 составит: 60 м3/ч*8760ч*6,2 руб/м3=3258,24 тыс руб.
Суммарная экономия по реконструкции
градирен №1,2 составит:
тыс.руб+3258,24тыс руб.=6355,2 тыс.
руб.
Срок окупаемости проекта:
тыс. руб/6355,2 тыс.руб=7,6 лет
Таким образом, в результате
полученных технико-экономических показателей затраты на внедрение проекта
составят ЗАКЛЮЧЕНИЕ
До проведения реконструкции градирни
на станции на протяжении многих лет существовала ситуация, при которой работа
башенной брызгальной градирни и циркуляционной системы охлаждения в целом не
обеспечивала достаточной температуры охлажденной воды установку-потребитель.
Вследствие чего было предложено установить полимерный ороситель, а также
заменить внедрить полимерный водоуловитель.
В связи с реконструкцией градирни с
применением указанных комплектующих была увеличена тепловая нагрузка, предел
охлаждения оборотной воды смещен в зону более низких температур и составляет
18,2 Создание систем оборотного водоснабжения с
использованием градирен позволяет уменьшить затраты предприятий на потребление
и сброс технической воды, повысить КПД использования оборудования, благодаря
чему затраты на приобретение, транспортировку и монтаж градирни окупаются в
течение нескольких лет. Одновременно подобные системы позволяют решать
актуальные сегодня проблемы экологии.
СПИСОК ЛИТЕРАТУРЫ
1. Аксенов В.И., Ладыгичев М.Г. и
др. Водное хозяйство промышленных предприятий: Справочное издание: В 2-х
книгах. Книга 1/ Под ред. В.И. Аксенова - М.: Теплотехник, 2005.
2. Атанов Н.А.
Оборотное водоснабжение нефтеперерабатывающего завода. Учебное пособие. Самара:
Самарская государственная архитектурно-строительная академия. 2002.
3. Берман Л.Д. Испарительное
охлаждение циркуляционной воды.- М.: Госэнергоиздат, 1957.- 314 с.
4. Ведомственные
указания по технологическому проектированию производственного водоснабжения,
канализации и очистки сточных вод предприятий нефтеперерабатывающей
промышленности. ВУТП-97. М.: Министерство топлива и энергетики РФ, 1997.
5. Клевцов А.В., Радин В.П.,
Федорович Л.А. Расчет градирни/ Под ред. И.Н. Тамбиевой. - М.: Изд-во МЭИ,
1992. - 72с.
6. ПБ 03-585-03
«Правила устройства и безопасной эксплуатации технологических трубопроводов».
. Пономаренко В.С.,
Арефьев Ю.И. Градирни промышленных и энергетических предприятий: Справочное
пособие/ Под общ. ред. В.С. Пономаренко. - М.: Энергоатомиздат: 1998. - 376 с.:
ил.
. Пособие по
проектированию градирен (к СНиП 2.04.02-84). М.: ЦИТП Госстроя СССР, 1987г.
9. Правила техники безопасности при
обслуживании теплосилового оборудования электростанций. Атомиздат, 1972.
. РД 34.22.505. Методические
указания по эксплуатации башенных градирен.
11. СНиП
2.04.02-84* «Водоснабжение. Наружные сети и сооружения».
. СНиП 3.05.05-84
«Технологическое оборудование и технологические трубопроводы».
. СНиП 3.05.04-85
«Наружные сети и сооружения водоснабжения и канализации».
14. СНиП 23-01-99* «Строительная
климатология (с изменением №1)».
и строительстве.
15. Шабалин А.Ф. Оборотное
водоснабжение промышленных предприятий. - М., Стройиздат, 1996. 296 с.
![]()
= 1.020 м комплектуется из 4 ярусов
блоков ИК-110, ![]()
= 0.430 м, между которыми
устанавливаются дистанционные втулки, ![]()
= 0.100 м. Дистанционные втулки
устанавливаются между ярусами оросителей по четыре втулки на ороситель
равномерно по его торцевой поверхности.
),
крепость и пластичность;
![]()
, (6.1)
![]()
- удельная теплоемкость воды, (![]()
= 4.19 кДж/(кг
К) [1
ккал/(кг
0С)]);
![]()
- гидравлическая нагрузка на
градирню, кг/ч (кг/с);
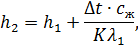
![]()
, ![]()
- температуры воды на входе в
градирню и выходе из нее, 0С;
![]()
- количество испарившейся воды,
кг/ч (кг/с);
![]()
- подача воздуха, кг/ч (кг/с);
![]()
- удельные энтальпии воздуха в ядре
потока при входе в градирню и выходе из нее, Дж/кг (ккал/кг);
![]()
(6.2)
![]()
, ![]()
- влагосодержания насыщенного
воздуха на входе в градирню и выходе из нее, кг/кг.
![]()
(6.3)
![]()
- поправочный коэффициент,
![]()
(6.4)
![]()
- удельная теплота парообразования,
![]()
= 2493 кДж/кг (595 ккал/кг);
![]()
- перепад температур воды, ![]()
= ![]()
, 0С;
![]()
- объемный коэффициент массоотдачи,
отнесенный к разности влагосодержаний, кг/(м3
ч
кг/кг);
![]()
- средняя разность удельных
энтальпий воздуха, Дж/кг (ккал/кг);
![]()
- объем оросителя градирни, м3.
![]()
определяют
экспериментально для каждого типа оросителя. Подсчет его значений производят по
формуле:
![]()
или ![]()
(6.5),
![]()
- эмпирический коэффициент,
характеризующий влияние конструктивных особенностей оросителя на его
охлаждающую способность, 1/м;
![]()
- отношение массового расхода
воздуха к расходу воды;
![]()
, кг/кг;
![]()
- показатель степени, характеризующий
зависимость объемного коэффициента массоотдачи от изменения массовой скорости
воздуха;
![]()
плотность орошения (удельная
гидравлическая нагрузка) градирни, м3/(м2
ч) [кг/(м2
ч)];
![]()
массовая скорость воздуха, кг/(м2
ч).
![]()
от соотношения масс
взаимодействующих воды и воздуха, а также от конструктивных особенностей
оросителя градирни.
![]()
- температура горячей воды на входе
в градирню;
![]()
- температура охлажденной воды на
выходе из градирни;
![]()
- удельная теплоемкость воды;
![]()
![]()
удельная теплота парообразования;
![]()
= 287.14 ![]()
- газовая постоянная сухого
воздуха;
![]()
- барометрическое давление;
![]()
28.9
- температура атмосферного воздуха
по сухому термометру;
![]()
19.3
- температура атмосферного воздуха
по смоченному термометру;
![]()
37% = 0.37 - относительная
влажность атмосферного воздуха.
![]()
.
![]()
(6.6)
![]()
- энтальпия насыщенного воздуха у
поверхности воды при входе в градирню, Дж/кг (ккал/кг);
![]()
- энтальпия насыщенного воздуха у
поверхности воды при выходе из градирни, Дж/кг (ккал/кг);
![]()
- энатальпия воздуха в ядре потока
при входе в градирню, Дж/кг (ккал/кг);
![]()
- поправка к энтальпии, Дж/кг
(ккал/кг).
![]()
(6.7)
![]()
,
![]()
(6.8)
![]()
- показатель степени,
характеризующий зависимость объемного коэффициента массоотдачи от изменения
массовой скорости воздуха;
![]()
- эмпирический коэффициент,
характеризующий влияние конструктивных особенностей оросителя на его
охлаждающую способность, 1/м;
![]()
- высота оросителя градирни, м.
![]()
, (6.9)
![]()
- плотность насыщенного водяного
пара, определяемая в зависимости от ![]()
;
![]()
- давление насыщенного водяного
пара, определяемое в зависимости от ![]()
.
![]()
, (6.10)
![]()
- плотность насыщенного водяного
пара, определяемая в зависимости от ![]()
;
![]()
- давление насыщенного водяного
пара, определяемое в зависимости от ![]()
.
![]()
, (6.11)
![]()
- плотность насыщенного водяного
пара, определяемая в зависимости от ![]()
;
![]()
- давление насыщенного водяного
пара, определяемое в зависимости от ![]()
.
![]()
, (6.12)![]()
![]()
- плотность насыщенного водяного
пара, определяемая в зависимости от ![]()
;
![]()
- давление насыщенного водяного
пара, определяемое в зависимости от ![]()
.
![]()
, (6.13)
![]()
- энтальпия насыщенного воздуха у
поверхности воды при входе в градирню, Дж/кг (ккал/кг);
![]()
- энтальпия насыщенного воздуха у
поверхности воды при выходе из градирни, Дж/кг (ккал/кг).
![]()
- показатель степени,
характеризующий зависимость объемного коэффициента массоотдачи от изменения
массовой скорости воздуха;
![]()
- эмпирический коэффициент,
характеризующий влияние конструктивных особенностей оросителя на его
охлаждающую способность;
![]()
- коэффициент, учитывающий
дополнительные аэродинамические сопротивления от стекающей по оросителю воды;
![]()
1/м - коэффициент аэродинамического
сопротивления сухого оросителя;
![]()
м - высота оросителя.
![]()
Вспомогательная величина по формуле
(6.8)
![]()
и ![]()
определяется вспомогательная
величина ![]()
![]()
(6.14)
![]()
.
![]()
(6.15)
![]()
, ![]()
, ![]()
, ![]()
, ![]()
являются постоянными для выбранной
конструкции градирни и определяются при заданных расчетных условиях по
следующим формулам:
![]()
, (6.16)
![]()
удельный расход воздуха;
![]()
- ускорение свободного падения;
![]()
- плотность воздуха.
![]()
![]()
, (6.17)
![]()
- площадь орошения градирни
(секции);
![]()
- вспомогательная расчетная
величина
![]()
(6.18)
![]()
- вспомогательная расчетная
величина
![]()
(6.19)
![]()
- половина длины подоросительного
расстояния от воздуховходных окон до центра градирни
![]()
, (6.20)
![]()
- коэффициент аэродинамического
сопротивления градирни без оборудования (оросителя и водоуловителя)
определяется по черт. 29 [10] в зависимости от отношения площади воздуховходных
окон градирни (секции) ![]()
к площади градирни (секции) в плане
![]()
.
![]()
- коэффициент аэродинамического
сопротивления водоуловителя
![]()
при расчете градирен более
приемлемым является метод с использованием тригонометрических функций. Ниже
указывается последовательность вычислений ![]()
по этому методу применительно к
вентиляторным градирням. Для решения уравнения (6.15) вводятся вспомогательные
величины:
![]()
, (6.21)
![]()
![]()
(6.22)
![]()
(6.23)
![]()
(6.24)
![]()
(6.25)
![]()
![]()
(6.26)
![]()
(6.27)
![]()
(6.28)
![]()
- число секций градирни;
![]()
- площадь орошения градирни (секции).
![]()
исходя из формулы
![]()
(6.29)
![]()
удельный расход воздуха;
![]()
- плотность воздуха.
![]()
/ч. Отклонение от номинальной подачи
составляет 9.9% (допускается до ±20%), следовательно, аэродинамическое
сопротивление градирни считается соответствующим напору вентилятора.
![]()
(6.30)
![]()
![]()
на сегодняшний день не существует
из-за неизвестной площади поверхности контакта воды с воздухом в объеме
оросителя. Поэтому ![]()
находят экспериментально для
каждого типа оросителя по формуле
![]()
(6.31)
![]()
- коэффициент испарения
(безразмерный);
![]()
поправочный коэффициент;
![]()
- объем оросителя, м3
![]()
(6.32)
![]()
![]()
(6.33)
![]()
- перепад температур воды,
;
![]()
- удельная теплоемкость воды;
![]()
- средняя разность удельных
энтальпий воздуха, кДж/кг
![]()
(6.34)

(6.35)
![]()
- энтальпия насыщенного воздуха у
поверхности воды при входе в градирню, Дж/кг (ккал/кг);
![]()
- энтальпия насыщенного воздуха у
поверхности воды при выходе из градирни, Дж/кг (ккал/кг).
![]()
- энатальпия воздуха в ядре потока
при входе в градирню, Дж/кг (ккал/кг);
![]()
- удельная энтальпия воздуха в ядре
потока при выходе из градирни, кДж/кг (ккал/кг);
![]()
- поправка к энтальпии, Дж/кг
(ккал/кг).
![]()
- отношение количеств воды и
воздуха по массе, кг/кг
![]()
(6.36)
![]()
- температура горячей воды на входе
в градирню;
![]()
- удельная теплоемкость воды;
![]()
![]()
удельная теплота парообразования;
![]()
=287.14 ![]()
- газовая постоянная сухого воздуха;
![]()
- барометрическое давление;
![]()
- гидравлическая нагрузка на
градирню (расход оборотной воды);
![]()
- плотность орошения (удельный
расход воды);
![]()
- площадь орошения секции.
![]()
28.9
- температура атмосферного воздуха
по сухому термометру;
![]()
19.3
- температура атмосферного воздуха
по смоченному термометру;
![]()
37% = 0.37 - относительная
влажность атмосферного воздуха.
![]()
осуществляется по формуле:
![]()
(6.37)
![]()
![]()
(6.38)
![]()
- плотность насыщенного водяного
пара, определяемая в зависимости от ![]()
;
![]()
- давление насыщенного водяного
пара, определяемое в зависимости от ![]()
.
![]()
(6.39)
![]()
- средняя температура воды в
градирне,
![]()
![]()
- плотность насыщенного водяного
пара, определяемая в зависимости от ![]()
;
![]()
- давление насыщенного водяного
пара, определяемое в зависимости от ![]()
.
![]()
(6.40)
![]()
(6.41)
![]()
(6.42)
![]()
- показатель степени,
характеризующий зависимость объемного коэффициента массоотдачи от изменения
массовой скорости воздуха;
![]()
- эмпирический коэффициент,
характеризующий влияние конструктивных особенностей оросителя на его
охлаждающую способность;
![]()
м - высота оросителя.
.
.
В результате реконструкции градирни путем замены деревянных оросителей и
водоуловителей на полимерные будет достигнута температура на выходе из градирни
18
,
что является допустимым и необходимым условием производства. В результате
количество тепла, отдаваемое в градирне водой и воспринимаемого воздухом,
увеличится с 50.5 МВт до 67.2 МВт.
![]()
определяется следующим образом:
![]()
(7.1)
![]()
- сопротивление входа в градирню,
включая воздухораспределитель, с учетом поворота потока воздуха в ороситель;
![]()
- сопротивление оросителя;
![]()
- сопротивление водораспределителя;
![]()
- сопротивление водоуловителя;
![]()
- сопротивление подхода воздуха от
водоуловителя до обечайки;
![]()
- сопротивление, добавляемое при
подаче на градирню воды. Это сопротивление зависит от гидравлической нагрузки,
типа оросителя, водораспределителя и размеров секции;
- коэффициент,
учитывающий влияние формы секции в плане на общее сопротивление градирни.
![]()
(7.2)
![]()
скорость движения воздуха в
свободном сечении градирни;
![]()
плотность воздуха;
![]()
коэффициент сопротивления градирни
(секции), определяемый как сумма коэффициентов сопротивления всех элементов,
находящихся на пути прохождения воздуха.
![]()
(7.3)
![]()
коэффициент сопротивления входа в
градирню, включая воздухораспределитель, с учетом поворота потока воздуха в
ороситель;
![]()
коэффициент сопротивления
оросителя;
![]()
высота оросителя;
![]()
коэффициент сопротивления
водораспределителя;
![]()
коэффициент сопротивления
водоуловителя;
![]()
коэффициент сопротивления при
подходе воздуха к вентилятору по пути от водоуловителя до обечайки;
![]()
коэффициент аэродинамического
сопротивления при подаче воды на градирню, определяемый по формуле
![]()
(7.4)
![]()
- половина длины
воздухораспределителя;
![]()
коэффициент сопротивления дождя в
оросителе, принимаемый для пленочного деревянного оросителя равным 0.075;
![]()
- коэффициент сопротивления дождя в
водораспрелительном устройстве, принятый для трубчатого водораспределителя с
тангенциальными пластмассовыми соплами ВОДГЕО по данным натурных исследований
равным 0.1;
![]()
высота дождя в водораспределителе,
равная 1.6 м;
![]()
коэффициент размерности для
перехода к безразмерному значению ![]()
, при единицах измерения, принятых в
данном случае, равен 1ч/м2;
![]()
определяется по формуле (8.1)
![]()
- сопротивление входа в градирню,
включая воздухораспределитель, с учетом поворота потока воздуха в ороситель;
![]()
- сопротивление оросителя;
![]()
- сопротивление водораспределителя;
![]()
- сопротивление водоуловителя;
![]()
- сопротивление подхода воздуха от
водоуловителя до обечайки;
![]()
- сопротивление, добавляемое при
подаче на градирню воды. Это сопротивление зависит от гидравлической нагрузки,
типа оросителя, водораспределителя и размеров секции;
- коэффициент,
учитывающий влияние формы секции в плане на общее сопротивление градирни.
![]()
скорость движения воздуха в
свободном сечении градирни;
![]()
плотность воздуха;
![]()
коэффициент сопротивления градирни
(секции), определяемый как сумма коэффициентов сопротивления всех элементов,
находящихся на пути прохождения воздуха
![]()
коэффициент сопротивления входа в
градирню, включая воздухораспределитель, с учетом поворота потока воздуха в
ороситель;
![]()
коэффициент сопротивления
оросителя;
![]()
высота оросителя;
![]()
коэффициент сопротивления
водораспределителя;
![]()
коэффициент сопротивления
водоуловителя;
![]()
коэффициент сопротивления при
подходе воздуха к вентилятору по пути от водоуловителя до обечайки;
![]()
коэффициент аэродинамического
сопротивления при подаче воды на градирню, определяемый по формуле (8.4)
![]()
- половина длины
воздухораспределителя;
![]()
коэффициент сопротивления дождя в
оросителе, принимаемый для пленочного деревянного оросителя равным 0.366;
![]()
- коэффициент сопротивления дождя в
водораспрелительном устройстве, принятый для трубчатого водораспределителя с
тангенциальными пластмассовыми соплами ВОДГЕО по данным натурных исследований
равным 0.1;
![]()
высота дождя в водораспределителе,
равная 1.6 м;
![]()
коэффициент размерности для
перехода к безразмерному значению
![]()
, при единицах измерения, принятых в
данном случае, равен 1ч/м2;
![]()
плотность орошения.
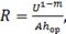
![]()
исходя из формулы
![]()
удельный расход воздуха;
![]()
- площадь орошения градирни
(секции), ![]()
![]()
- плотность воздуха.
![]()
/ч. Отклонение от номинальной подачи
составляет 9.9% (допускается до ±20%), следовательно, аэродинамическое
сопротивление градирни считается соответствующим напору .
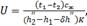
![]()
и ![]()
расход воды
на входе и выходе из градирни, кг/с;
![]()
- удельная теплоемкость воды;
![]()
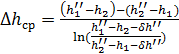
- температура воды на входе в
градирню и выходе из нее,
;
![]()
энтальпия воздуха в ядре потока при
входе в градирню и выходе из нее, кДж/кг (ккал/кг);
![]()
расход воздуха, кг/с.
![]()
, ![]()
- влагосодержания насыщенного
воздуха на входе в градирню и выходе из нее, кг/кг.
![]()
![]()
удельная теплота парообразования.
![]()
![]()
будет равен примерно 0,171 ![]()
. В действительности благодаря
наличию теплоотдачи соприкосновением, особенно значительной при низких
температурах наружного воздуха, величина этого коэффициента уменьшится. При
температуре атмосферного воздуха по сухому термометру ![]()
28.9
по СНиП коэффициент ![]()
.
![]()
в значительной мере зависят от
конструкций водораспределителя и каплеуловителя градирни, а также от скорости
движения воздуха в градирне над оросителем.
![]()
.
![]()
с целью ограничения солесодержания
охлаждающей воды определяется в зависимости от качества добавочной (свежей)
воды и способа водоподготовки. Эти потери предусматривают для поддержания
расчетной концентрации растворимых в оборотной воде солей, не выпадающих в
осадок.
![]()
равно общей сумме потерь воды в
системе:
![]()
.
![]()
(11.1)
де ![]()
стоимость всех видов строительных
работ и монтажа оборудования;
![]()
стоимость оборудования.
тыс. кВтч/год (11.2)
тут/год (11.3)
гут/кВтч - удельный расход топлива
на отпуск электроэнергии по конденсационному циклу в летние месяцы .
![]()
руб. Срок окупаемости
капиталовложений будет 7.6 лет.
![]()
. Применение полимерного оросителя
решило проблему неравномерности распределения воды в градирне. А также
сократился расход подпиточной воды с установкой более эффективных пластиковых водоуловителей,
повысилась надежность оборудование вследствие сокращения простоев в работе.
Укладка оросителей и водоуловителей на специальные площадки предотвращает их
обрушение в бассейн вследствие длительной эксплуатации.