Окончательно принимаем RТ= 10м, b1=8м, b2=2 м.
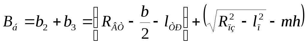
При боковой проходке, ее ширина определяется по формуле:
,
где m=0,5м – коэффициент откоса;
h =2,5м – глубина котлована;
Rпз – наибольший радиус резания на уровне подошвы забоя;
b3- расстояние от оси стоянки экскаватора до нижней кромки забоя;
![]()
![]()
Учитывая размеры котлована, принимаем Вб=7,17м, b3=5,17м.
Суточная производительность экскаватора определяется с помощью ЕНиР Е-2:
Псут = (100 / 2,0) *8* 2 *1 = 800 м3/сут.
здесь с погрузкой в транспортные средства 2,0 – норма из ЕниР, маш.-час. / 100 м3;
8 – продолжительность рабочей смены, ч;
1 – число рабочих смен в сутки;
1 – число ведущих машин в комплекте.
Псут = (100 / 1,8) *8* 2 *1 = 889 м3/сут.
здесь навымет 1,8 – норма из ЕниР, маш.-час. / 100 м3;
12. Техника безопасности при производстве земляных работ. При производсте работ соблюдать правила техники безопасности СНиП 12-03-2001, 12-04-2002 «Безопасность труда в строительстве».
1. Производство земляных работ в зоне действующих подземных коммуникаций следует осуществлять под непосредственным руководством прораба или мастера, а в охранной зоне кабелей, находящихся под напряжением, или действующего газопровода, кроме того, под наблюдением работников электро – или газового хозяйства.
2. Места прохода людей через траншеи должны быть оборудованы переходными мостиками, освещаемыми в ночное время.
3. Грунт, извлеченный из котлована или траншеи, следует размещать на расстоянии не менее 0,5м от бровки выемки.
4.Валуны и камни, а также отслоение грунта, обнаруженные на откосах, должны быть удалены.
5. Погрузка грунта на автосамосвалы должна производиться со стороны заднего или бокового борта.
6.При разработке грунта взрывным способом необходимо соблюдать Единые правила безопасности при взрывных работах, утвержденные Гостехнадзором РФ.

Рис.2.2. Технологическая схема разработки котлована.

Рис.2.3. Разрез 1-1
III. Калькуляция трудовых затрат.
Таблица.2.
|
№ п/п |
Наименование работ |
Ед.изм. |
Кол-во |
ЕНиР |
Норма времени на единицу |
Трудоемкость |
состав звена (разряд,кол-во |
||||
|
чел.-ч |
маш.-ч |
чел.-дн |
маш.-дн |
||||||||
|
1 |
2 |
3 |
4 |
5 |
6 |
7 |
8 |
9 |
10 |
||
|
1 |
Разработка грунта |
В самосвал |
100 куб.м |
10,88 |
Е2-1-11 |
|
2,6 |
|
3,56 |
машинист-6р.-1 |
|
|
В отвал |
2,89 |
|
2,1 |
|
0,97 |
||||||
|
2 |
Предварительная планировка дна котлована бульдозером |
1000 кв.м |
0,43 |
Е2-1-35 |
|
0,41 |
|
0,02 |
машинист-5р.-1 |
||
|
3 |
Окончательная планировка дна котлована |
бульдозером |
1000 кв.м. |
0,43 |
Е2-1-36 |
|
0,49 |
|
0,03 |
машинист-5р.-1 |
|
|
вручную |
100 кв.м. |
1,28 |
Е2-1-60 |
16,5 |
|
2,65 |
|
Землекоп 3р.-1 |
|||
Итого: Σ…2,65 Σ…4,58.
IV. Контроль и качество выполненных работ.
Таблица 3. Операционный контроль качества
|
№ п/п |
Наименование операций, подлежащих контролю |
|||||
|
производителем работ |
мастером |
состав |
способы |
время |
привлекаемые службы |
|
|
1 |
2 |
3 |
4 |
5 |
6 |
7 |
|
1 |
Положение в пространстве и размеры сооружения |
|
Расположение в плане |
Визуально |
В процессе работ |
|
|
2 |
|
Положение в пространстве и размеры сооружения |
Положение в пространстве и размеры, отметки бровок, насыпи и дна выемки, уклоны откосов выемки |
Измерительный |
В процессе работ, по окончанию работ |
Геодезическая |
|
3 |
|
Оценка свойств грунтов основания |
Плотность, влажность, состав грунта и т.д. |
Взятие проб |
По окончании работ |
Строительная лаборатория |
По окончанию работ составляется акт приемки. Предельные отклонения при приемке не должны превышать величин указанных в СНиП 3.02.01-87 «Земляные сооружения, основания и фундаменты».
Таблица 4. Допустимые отклонения при приемке площадки
|
№№ пп. |
Характер отклонения |
Допускаемое значение отклонений |
|
1 |
2 |
3 |
|
1 |
Отклонения от меток бровки или оси сооружения |
0,05м |
|
2 |
Отклонения от заданного продольного уклона |
0,0005L |
|
3 |
Сужение земляного полотна (уменьшение расстояния от оси до бровки |
Не допускается |
|
4. |
Увеличение крутизны откосов |
То же |
V. Технико-экономические показатели.
Основные технико-экономические показатели приведены в таблице 8. Общая трудоемкость выполнения работ определяется как сумма строк по графе 8 таблицы 5. Общая потребность в машинах определяется как сумма строк по графе 9 таблицы 5.
Выработка ведущей машины определяется по формуле:
В=V/М , м3/см (15)
где V-объем земляных работ, м3;
М – потребность ведущей машины, маш-см. (Бульдозер Д-384). Продолжительность работ выполняется по календарному плану производства работ.
В=1464,08/4,53=323,20 м3/см
Таблица 5. Технико-экономические показатели.
|
№№ пп. |
Наименование показатели |
Значение |
|
1 |
2 |
3 |
|
1 |
Общая трудоемкость выполнения работ, чел.-дн |
2,65 |
|
2 |
Общая потребность в машинах, маш.-см |
4,58 |
|
3 |
Выработка ведущей машины, куб.м./см. |
323,20 |
|
4 |
Продолжительность выполнения работ, дн. |
2,995 |
VI. Материально-технические ресурсы.
Таблица 6.
|
№№ пп. |
Наименование |
Тип,марка, ГОСТ |
Кол-во |
Техническая характеристика |
Назначение |
|
1 |
2 |
3 |
4 |
5 |
6 |
|
1 |
Экскаватор |
ОЭ-4321 |
1 |
Мощность двигателя 58 кВт |
Отрывка котлована |
|
2 |
Ковш обратная лопата |
на экскаваторе |
1 |
Ёмкость 0,65куб.м. |
Отрывка котлована |
|
3 |
Автосамосвал |
КамАЗ-5511 |
5 |
Грузоподьемность 10т. |
Перевозка грунта |
|
4 |
Трактор |
Т-75 |
1 |
Мощность двигателя 58 кВт |
Зачистка дна котлована |
|
5 |
Бульдозер |
ДЗ-42 на тракторе |
1 |
Производительность 4000-4500 кв.м/ч |
Зачистка дна котлована |
|
6 |
Штыковая лопата |
- |
2 |
- |
Зачистка дна котлована |
|
7 |
Рулетка металлическая |
- |
1 |
- |
Контрольно-измерительные приборы |
|
8 |
Нивелир |
- |
1 |
- |
Контрольно-измерительные приборы |
|
9 |
Нивелирная рейка |
- |
1 |
- |
Контрольно-измерительные приборы |
|
10 |
Отвес |
ОТ400 ГОСТ 7948-80 |
1 |
- |
Перенос отметок |
VII. Календарный график производства работ.
Таблица 7.
|
№ п/п |
Наименование работ |
Ед. изм. |
Кол-во |
Обоснование |
Трудоемкость |
Принятые механизмы |
состав звена |
кол-во рабочих |
Число см. в сутки |
Прод. работ в дн. |
|||
|
На ед.изм. |
На весь объем |
||||||||||||
|
чел.-ч |
маш.-ч |
чел.-дн |
маш.-дн |
||||||||||
|
1 |
2 |
3 |
4 |
5 |
6 |
7 |
8 |
9 |
10 |
11 |
12 |
13 |
14 |
|
1 |
Разработка грунта В самосвал В отвал |
100 куб.м |
10,88 2,89 |
Е2-1-11 |
|
2,6 2,1 |
|
3,56 0,97 |
Эксав.ЭО-4321 |
машт-6р.-1 |
1 |
2 |
1,78 0,49
|
|
2 |
Предварительная планировка дна котлована бульдозером |
1000 куб.м |
0,43 |
Е2-1-35 |
|
0,41 |
|
0,02 |
Трактор Т-75, бульдозер ДЗ-42 |
машт-5р.-1 |
1 |
2 |
0,01 |
|
3 |
Окончательная планировка дна котлована бульдозером |
1000 кв.м. |
0,43 |
Е2-1-36 |
|
0,49 |
|
0,03 |
1 |
2 |
0,015 |
||
|
4 |
Окончательная планировка дна котлована вручную |
100 кв.м. |
1,28 |
Е2-1-60 |
16,5 |
|
2,65 |
|
|
Землекоп 3р.-1 |
2 |
2 |
0,66 |
Продолжение. Таблица 7.
