Материал: Планирование и распределение прибыли

Внимание! Если размещение файла нарушает Ваши авторские права, то обязательно сообщите нам

В России налог на прибыль предприятий и организаций, введен с 1 января 1992 г. Налоговая ставка по налогу на прибыль с 1 января 2009 г. установлена в размере 20%, за исключением некоторых случаев, когда применяются иные ставки налога на прибыль. При этом одна часть налога, исчисленная по ставке в размере 2%, зачисляется в федеральный бюджет, а другая часть налога, исчисленная по ставке в размере 18%, зачисляется в бюджеты субъектов РФ. [1, 2]

Непосредственно из прибыли, полученной в результате финансово-хозяйственной деятельности и остающейся у предприятия после уплаты налога на прибыль, предприятия уплачивают некоторые местные налоги.

Прибыль, остающаяся в распоряжении предприятия после уплаты налога на прибыль, принято называть «чистой прибылью». Распределение прибыли осуществляется в соответствии со специально разработанной политикой, формирование которой представляет собой одну из наиболее сложных задач общей политики управления прибылью предприятия.

Распределение прибыли, остающейся после уплаты налогов, непосредственно реализует главную цель управления ею - повышение уровня благосостояния собственников предприятия (выплата дивидендов).

На предприятии распределению подлежит прибыль после уплаты налогов и выплаты дивидендов. Распределение этой части прибыли отражает процесс формирования фондов и резервов предприятия для финансирования потребностей производственного и социального развития.

В условиях рыночного хозяйства государство не вмешивается в процесс распределения прибыли, остающейся в распоряжении предприятия после уплаты налогов. Тем не менее, посредством предоставления налоговых льгот стимулирует направление прибыли на капитальные вложения производственного назначения и строительство жилья, на благотворительные цели, финансирование природоохранных мероприятий, расходов на содержание объектов и учреждений социальной сферы, на проведение научно-исследовательских работ. Законодательно установлен минимальный размер резервного капитала для акционерных обществ, регулируется порядок создания резерва по сомнительным долгам и под обесценение ценных бумаг.

Распределение прибыли, остающейся в распоряжении предприятия, регламентируется внутренними документами предприятия, как правило, в учетной политике. Некоторые аспекты распределительного процесса фиксируются в уставе предприятия.

В соответствии с уставом или решением распорядительного органа на предприятии создаются фонды:

%  фонд накопления;

%  фонд потребления;

%  резервный фонд (формируется в соответствии с социальной политикой организации).

Под фондом накопления понимаются средства, направляемые на производственное развитие предприятия. За счет средств фондов накопления финансируются главным образом капитальные вложения на производственное развитие.

Под фондами потребления понимаются средства, направляемые на осуществление мероприятий по социальному развитию (кроме капитальных вложений), материальному поощрению работников. Из фонда потребления также выделяются средства на мероприятия, направленные на охрану здоровья, организацию отдыха и культурно - массовых мероприятий.

Если же фонды не создаются, то в целях обеспечения планового расходования средств составляются сметы расходов на развитие производства, социальные нужды трудового коллектива, материальное поощрение работников и благотворительные цели. [16, с. 67]

К расходам, связанным с развитием производства и финансируемым из прибыли, относятся:

·        расходы на научно-исследовательские, проектные, опытно-конструкторские и технологические работы;

·        финансирование разработки и освоения новой продукции и технологических процессов;

·        затраты по совершенствованию технологии и организации производства, модернизации оборудования;

·        затраты, связанные с техническим перевооружением и реконструкцией действующего производства, расширением предприятия и новым строительством объектов;

·        расходы на проведение природоохранных мероприятий. В эту же группу расходов относят расходы по погашению долгосрочных кредитов банков и процентов по ним.

Накопленная прибыль предприятия может быть вложена им в уставные капиталы других предприятий, долгосрочные и краткосрочные финансовые вложения, перечисляться вышестоящим организациям, союзам, концернам, ассоциациям, в состав которых входит предприятие. Эти направления также считаются использованием прибыли на развитие.

Распределение прибыли на социальные нужды включает: расходы по эксплуатации социально-бытовых объектов, находящихся на балансе предприятия, финансирование строительства объектов непроизводственного значения, организации и развития подсобного сельского хозяйства, проведения оздоровительных, культурно-массовых мероприятий и т.п.

К затратам на материальное поощрение относятся: выплата премий за достижения в труде, расходы на оказание материальной помощи, единовременные пособия ветеранам, пенсионерам, компенсация удорожания стоимости питания в столовых и другие. Выделяемые на эти цели средства формируют уровень обеспечения дополнительной социальной защищенности работников. В условиях низкой действенности государственных форм защиты занятых работников, эта роль распределительного механизма прибыли на предприятии позволяет дополнить их минимальную социальную защищенность.

Вся прибыль, остающаяся в распоряжении предприятия, разделяется на две части. Первая часть увеличивает имущество предприятия и участвует в процессе накопления, вторая - характеризует долю прибыли, используемой на потребление. При этом необязательно всю прибыль, направляемую на накопление, использовать полностью. Остаток прибыли, не использованной на увеличение имущества, имеет резервное значение и может быть использован в последующие годы для покрытия возможных убытков, финансирования различных затрат.

Совершенствование финансово-экономической работы на предприятии предполагает управление формированием, распределением и использованием прибыли как единым процессом.

3.3 Источники формирования прибыли и факторы, влияющие на распределение прибыли. Показатели рентабельности

В условиях рыночных отношений, как свидетельствует мировая практика, имеются три основных источника получения прибыли:

]  Первый и главный источник связан с основной производственно-хозяйственной деятельностью предприятия. Величина прибыли в данном случае зависит от:

·        специфики и особенностей выпускаемых продуктов и услуг, их жизненного цикла;

·        объемов продаж;

·        конъюнктуры рынка, конкурентных условий продажи своих товаров и услуг;

·        структуры снижения издержек производства.

]  Второй источник образуется за счет монопольного положения предприятия по выпуску той или иной продукции или (и) уникальности продукта.

]  Третий источник проистекает из инновационной деятельности предприятия. Его использование предполагает постоянное обновление выпускаемой продукции, обеспечение ее конкурентоспособности, рост объемов реализации и увеличение массы прибыли. Роль данного источника в последнее время резко возрастает благодаря компьютерным информационным технологиям, созданию глобальной информационной сети Интернет.

По характеру возникновения все факторы, влияющие на распределение прибыли можно разделить на две основные группы. Так выделяют внутренние и внешние факторы: [4, с. 640]

Внутренние факторы - это факторы, которые зависят от деятельности самого предприятия и характеризуют различные стороны работы данного коллектива. Внутренние факторы оказывают решающее воздействие на пропорции распределения прибыли, так как позволяют формировать их применительно к конкретным условиям и результатам хозяйствования данного предприятия.

К числу важнейших из этих факторов относятся:

Ò Менталитет собственников предприятия. Если собственники (акционеры) нуждаются в постоянном притоке текущих доходов или не приемлют риски, связанные с длительным ожиданием этих доходов в будущем периоде, они будут настаивать на обеспечении высокой доли потребляемой прибыли в процессе ее распределения (если их менталитет не будет учтен, они реинвестируют свой капитал в другие предприятия с более приемлемой для них дивидендной политикой).

Ò Уровень рентабельности деятельности. При низком уровне рентабельности хозяйственной деятельности (а соответственно и меньшей сумме распределяемой прибыли) свобода формирования пропорций ее распределения существенно ограничена.

Ò Стадия жизненного цикла предприятия. На ранних стадиях своего жизненного цикла предприятия вынуждены больше средств инвестировать в свое развитие, ограничивая размеры выплат собственникам. В то же время предприятия в стадии зрелости ведут не столь активную деятельность в сфере реального инвестирования, имеют возможность привлекать необходимые им кредитные ресурсы на более выгодных условиях, а следовательно, могут обеспечить более высокие размеры выплат.

Ò Уровень концентрации управления. Если в процессе оптимизации структуры капитала возникает необходимость существенного увеличения доли собственной его части, а собственников волнует угроза потери финансового контроля над управлением предприятием при привлечении капитала из внешних источников, то в процессе распределения прибыли уровень ее капитализации должен существенно повышаться.

Ò Уровень текущей платежеспособности предприятия. В условиях низкого уровня текущей платежеспособности, высокого объема неотложных финансовых обязательств предприятие не имеет возможности направлять большие размеры распределяемой прибыли на потребление.

Ò Численность персонала и действующие программы его участия в прибыли. Чем выше численность персонала, тем больше объем контрактных обязательств предприятия по участию персонала в прибыли, тем соответственно выше должна быть доля потребляемой части прибыли.

Ò Уровень рисков осуществляемых операций и видов деятельности. Если предприятие осуществляет большой объем отдельных хозяйственных операций с высоким уровнем риска, оно вынуждено больше средств направлять из прибыли на формирование резервного и других страховых фондов.

Внешние факторы - это факторы, которые не зависят от деятельности самого предприятия, но некоторые из них могут оказывать существенное влияние на темпы роста прибыли и рентабельности производства. Внешние факторы рассматриваются как своего рода ограничительные условия, определяющие границы формирования пропорций распределения прибыли.

К внешним факторам относятся:

² Правовые ограничения. Законодательные нормы определяют общие финансовые и процедурные вопросы, связанные с распределением прибыли. Они формируют приоритетность отдельных направлений ее использования (налоговых и других отчислений), устанавливают нормативные параметры этого использования (ставки налогов, сборов и других обязательных отчислений за счет прибыли; ставки минимальных отчислений в резервный фонд и т.п.).

² Налоговая система. Конкретные ставки отдельных налогов и система налоговых льгот существенным образом влияет на пропорции распределения прибыли. Если уровень налогообложения личных доходов граждан значительно ниже уровня налогообложения хозяйственной деятельности и имущества предприятия, это создает предпосылки к повышению доли потребления капитала.

² Темп инфляции. Этот фактор генерирует риск обесценения будущих доходов, формируя склонность собственников к росту текущих выплат.

² «Прозрачность» фондового рынка. В условиях высокой «прозрачности» фондового рынка необходимо учитывать последствия управленческих решений о распределении прибыли, их влияние на изменение реальной стоимости и рыночной котировки акций.

² Альтернативные внешние источники формирования финансовых ресурсов. Если предприятие имеет возможность привлекать финансовые ресурсы из внешних источников на условиях более низкой стоимости, чем средневзвешенная стоимость его капитала, оно может больший размер прибыли распределять среди собственников и персонала, так как его инвестиционные потребности будут удовлетворяться за счет более дешевых альтернативных внешних источников финансирования.

Принципы распределения прибыли и факторы, его обуславливающие, позволяют сформировать на предприятии конкретный тип политики распределения прибыли, в наибольшей степени удовлетворяющей цели и учитывающий возможности развития предприятия в предстоящем периоде. Более наглядно рассмотреть факторы, влияющие на распределение прибыль можно на схеме.

Для определения эффективности принимаемых решений используют показатели рентабельности - относительные величины, производные от прибыли.

При принятии решений, связанных с управлением процессами формирования прибыли, используются показатели рентабельности капитала, издержек, продаж и т.д. (Таблица 1):

Таблица 1

Показатель рентабельности

Формула

Пояснение

Рентабельность продукции (издержек), Рпр, %

Отношение прибыли от реализации продукции (Пр) к полной себестоимости реализованной продукции (С)

Рентабельность продаж, ROS, %

Отношение прибыли от реализации (Пр) к выручке от реализации без налогов, включаемых в цену продукции (В)

Рентабельность активов, ROA, %

Отношение прибыли (балансовой или чистой) (Пб или Пч) к средней стоимости активов за определенный период (Аср)




Рентабельность текущих активов, Рта, %

Отношение чистой прибыли предприятия (Пч) к средней стоимости текущих активов (оборотных средств) предприятия (Ат.ср)

Рентабельность собственного акционерного капитала, ROE, %

Отношение чистой прибыли (Пч) к средней стоимости собственного капитала предприятия (Кс) за определенный период


Рентабельность продукции характеризует выход прибыли в процессе реализации продукции на единицу издержек в основной деятельности предприятий.

Рентабельность продаж характеризует доходность основной деятельности предприятия. Менеджеры используют этот показатель для контроля над взаимосвязью между ценами, количеством реализованного товара и величиной издержек производства и реализации продукции.

Рентабельность активов служит для определения эффективности использования капиталов на разных предприятиях и в отраслях, поскольку дает общую оценку доходности вложенного в производство капитала, как собственного, так и заемного, привлекаемого на долгосрочной основе.

Рентабельность текущих активов характеризует сумму прибыли, полученной с каждого рубля, вложенного в текущие активы.

Рентабельность собственного капитала занимает особое место среди показателей рентабельности и характеризует эффективность использования собственных средств акционеров, т.е. прибыль, остающуюся в распоряжении предприятия, полученную на каждый рубль вложений акционеров в данное предприятие. Значение этого показателя отражает степень привлекательности объекта для вложений средств акционеров. Чем выше это показатель, тем больше прибыли приходится на одну акцию, тем выше потенциальные дивиденды. [16, с. 66-67]

3.4 Пути улучшения распределения и использования прибыли в условиях рыночной экономики

Признание того факта, что в настоящее время у большинства российских предприятий существуют проблемы по управлению, формированию, распределению прибыли, требует рассмотрения определенных методов разрешения данных вопросов.

В современных условиях хозяйствования прибыль становится основным источником социально-экономического развития предприятий. Это явление сопровождается резким повышением заинтересованности последних в росте денежных доходов.

Чистый доход предприятия представляет собой сумму денежных средств, предназначенных для формирования фондов социального назначения и используемых для осуществления производственного и социального развития, материального поощрения работников.

Механизм распределения прибыли на предприятиях должен строится таким способом, чтобы способствовать созданию условий по наиболее рациональному использованию средств на развитие предприятия, принимая во внимание показатели уровней фондо- и энерговооруженности, оборачиваемости оборотных средств, производительности труда и т.д.

Эффективное использование прибыли возможно лишь при согласованности действий системы экономических рычагов. При этом первостепенное значение имеет реализация продукции. Во-первых, потому, что в процессе продажи товаром на рынке происходит возмещение израсходованных средств производства. Во-вторых, реализация продукции - это тот момент, когда произведенный продукт получает признание на рынке. Любая заминка в реализации вызывает нарушение ритмичности производства, а значит, ведет к снижению эффективности деятельности предприятия.

Прибыль отражает результаты всех видов деятельности предприятия - производственной, непроизводственной и финансовой. Это значит, что на размерах прибыли отражаются все стороны деятельности предприятия. Так, рост производительности труда означает снижение его затрат на единицу продукции. Соответственно при нормальных условиях работы должны относительно снижаться расходы на оплату труда в расчете на единицу продукции. Улучшение использования основных производственных фондов означает, что относительно сокращаются затраты на их содержание и эксплуатацию, уменьшаются амортизационные отчисления в себестоимости отдельных изделий. Это, как и экономия материальных затрат, увеличивает прибыль и эффективность ее использования.

Возможность получения «не заработанной» прибыли за счет экстенсивного пути (главным образом за счет изменения условий поставки продукции, повышения цен и др.) покрывает бесхозяйственность, усиливает невосприимчивость предприятий к достижениям НТП, осуществлению мероприятий по ресурсосбережению. Если темп роста стоимостных показателей превышает прирост продукции в натуральном выражении, это означает снижение эффективности использования ресурсов, что отражается в повышении материалоемкости, трудоемкости и, в конечном счете, - себестоимости продукции.

Руководству предприятий необходимо овладеть новыми методами распределения прибыли. Здесь должны учитываться интересы сразу нескольких сторон. Во-первых, государство заинтересовано как в создании условий, стимулирующих развитие производства, так и в реализации своих экономических функций, что обусловливает необходимость налогообложения, уменьшающего показатель прибыли на величину соответствующих налоговых отчислений. Во-вторых, кредиторы и акционеры должны быть уверены в платежеспособности фирмы, возвратности предоставленных ссуд.

Руководство же, стремится, как можно большую часть прибыли оставить нераспределенной, в качестве резерва, позволяющего укрепить основы самофинансирования. На руководство возлагается ответственность планировать распределение прибыли таким образом, чтобы не нанести ущерба ни одной из сторон и, в то же время, обеспечить благосостояние предприятия.

Как уже упоминалось, вся прибыль, остающаяся в распоряжении предприятия, разделяется на две части. Первая часть - это прибыль увеличивающая стоимость имущества, т.е. участвующая в процессе накопления, а вторая - прибыль, направляемая на потребление, не увеличивающая стоимость имущества.

Если прибыль не расходуется на потребление, то она остается на предприятии как нераспределенная прибыль прошлых лет и увеличивает размер собственного капитала предприятия.

Наличие нераспределенной прибыли увеличивает финансовую устойчивость предприятия, свидетельствует о наличии источника для последующего развития.

Важную роль в обеспечении финансовой устойчивости играет размер резервного капитала. В рыночном хозяйстве отчисления в резервный капитал носят первоочередной характер. Наличие и прирост резервного капитала обеспечивает увеличение акционерной собственности, характеризует готовность предприятия к риску, с которым связана вся предпринимательская деятельность, создание возможности выплаты дивидендов по привилегированным акциям даже при отсутствии прибыли текущего года, покрытия непредвиденных расходов и убытков без риска потери финансовой устойчивости. [16, с. 70]

В условиях рыночных отношений имеются три основных источника получения прибыли: первый и главный источник связан с основной производственно-хозяйственной деятельностью предприятия; второй источник образуется за счет монопольного положения предприятия по выпуску той или иной продукции или (и) уникальности продукта; третий источник проистекает из инновационной деятельности предприятия.

Прибыль предприятия находится под взаимодействием многочисленных факторов: внешних и внутренних.

Внутренние факторы - это факторы, которые зависят от деятельности самого предприятия и характеризуют различные стороны работы данного коллектива.

Внешние факторы - это факторы, которые не зависят от деятельности самого предприятия, но некоторые из них могут оказывать существенное влияние на темпы роста прибыли и рентабельности производства.

При принятии решений, связанных с управлением процессами формирования прибыли, используются показатели: рентабельность продукции (издержек); рентабельность продаж; рентабельность активов; рентабельность текущих активов; рентабельность собственного акционерного капитала.

Распределение прибыли - одно из обязательств предприятия. Прибыль распределяется в трех направлениях: государству - в виде налогов и сборов, предприятию - распределение чистой прибыли, собственникам - выплата дивидендов.

Для эффективного функционирования предприятию важно правильно распределить чистую прибыль, оставшуюся после уплаты налогов.

На предприятии создаются фонды: фонд накопления; фонд потребления; резервный фонд. Если же фонды не создаются, то в целях обеспечения планового расходования средств составляются сметы расходов на развитие производства, социальные нужды трудового коллектива, материальное поощрение работников и благотворительные цели.

4. Составление баланса доходов и расходов (финансового плана) промышленного предприятия

4.1 Исчисление и распределение амортизационных отчислений

Исчислим и распределим амортизационные отчисления (Таблица 2). Сумма амортизационных отчислений определяется исходя из среднегодовой стоимости амортизируемых основных фондов в планируемом периоде и средневзвешенной нормы амортизационных отчислений, приведенных в исходных данных (Таблица).

Данные к расчету амортизационных отчислений на основные производственные фонды


Февраль

Май

Август

Ноябрь

Плановый ввод в действие основных фондов, тыс. руб.

4 100



3 600

Плановое выбытие основных фондов, тыс. руб.


6 360

1 070



Стоимость основных производственных фондов, на которые начисляется амортизация, на начало года, ОПФнач - 15530 тыс. руб. Среднегодовая стоимость полностью амортизированного оборудования (в действующих ценах), ОПФп/а - 1030 тыс. руб. Средневзвешенная норма амортизационных отчислений, N - 14,0%.

Определим среднегодовую стоимость вводимых в действие и выводимых основных производственных фондов (ОПФ):


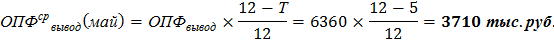
Определим среднегодовую стоимость амортизированных основных фондов (всего):


оответственно, сумма амортизационных отчислений будет равна:


Сумма амортизационных отчислений (за год), равная 1981 тыс. руб. является собственным источником финансирования производства.

Результаты расчетов сведем в (Таблицу).

Расчет плановой суммы амортизационных отчислений и ее распределение

№ п/п

Показатель

Сумма, тыс. руб.

1

Стоимость амортизируемых основных производственных фондов на начало года

2

Среднегодовая стоимость вводимых основных фондов

3 717

3

Среднегодовая стоимость выбывающих основных производственных фондов

4 067

4

Среднегодовая стоимость полностью амортизированного оборудования (в действующих ценах)

1 030

5

Среднегодовая стоимость амортизированных основных фондов (в действующих ценах) - всего

14 150

6

Средняя норма амортизации

14%

7

Сумма амортизационных отчислений - всего

1 981

8

Использование амортизационных отчислений на капитальные вложения

1 981

.2 Расчет сметы затрат на производство продукции

Рассчитаем смету затрат на производство продукции (Таблица 3). При определении производственной себестоимости товарной продукции необходимо обратить внимание на особенности учета изменения остатков незавершенного производства и остатков расходов будущих периодов при их увеличении или сокращении. Изменение остатков незавершенного производства определяется после расчета потребности предприятия в оборотных средствах (Таблица), где прирост (+) или снижение (-) норматива по незавершенному производству и является изменением по строке 8 сметы.

Смета затрат на производство продукции общества с ограниченной ответственностью, тыс. руб.

№ п/п

Статья затрат

Всего на год

В том числе на IV квартал

Пояснения

1

Материальные затраты (за вычетом возвратных отходов)

33 000

8 250


2

Затраты на оплату труда

17 440

4 360


3

Амортизация основных фондов*

1 981

495

Табл.2 п. 7

4

Прочие расходы - всего* В том числе:

5 914

1 479

п. 4.1+п. 4.2+ +п. 4.3

4.1

Уплата процентов за краткосрочный кредит

360

100


4.2

Налоги, включаемые в себестоимость* В том числе:

5 294

1 314

п. 4.2.1+п. 4.2.2

4.2.1

Единый социальный налог (26%)*

4 534

1 134

п. 2*26%

4.2.2

Прочие налоги

760

180


4.3

Арендные платежи и другие расходы

260

65


5

Итого затрат на производство*

58 335

14 584

п. 1 + п. 2+п. 3 + п. 4

6

Списано на непроизводственные счета

715

267


7

Затраты на валовую продукцию*

57 620

14 317

п. 5 - п. 6

8

Изменение остатков незавершенного производства*

+400

+100

Табл.5 п. 2 гр. 8

9

Изменение остатков по расходам будущих периодов

20

5


10

Производственная себестоимость товарной продукции*

57 200

14 212

п. 7 - п. 8 - п. 9

11

Внепроизводственные (коммерческие) расходы

5 266

1 413


12

Полная себестоимость товарной продукции*

62 466

15 625

п. 10 + п. 11




13

Товарная продукция в отпускных ценах (без НДС и акцизов)

88 000

24 000


14

Прибыль на выпуск товарной продукции*

25 534

8 375

п. 13 - п. 12

15

Затраты на 1 рубль товарной продукции*

0,71

0,65

п. 12 / п. 13

*Определить

Расчеты к (Таблице):

пункт 3 - амортизация основных фондов:

ê 

ê 

пункт 4 - прочие расходы - всего:

ê 

пункт 4.2 - налоги, включаемые в себестоимость:

ê 

ê 

пункт 4.2.1 - единый социальный налог (26%):

ê 

ê 

пункт 5 - итого затрат на производство:

ê 

ê 

пункт 7 - затраты на валовую продукцию:

ê 

ê 

пункт 8 - изменение остатков незавершенного производства:

ê 

ê 

пункт 10 - производственная себестоимость товарной продукции:

ê 

ê 

пункт 12 - полная себестоимость товарной продукции:

ê 

ê 

пункт 14 - прибыль на выпуск товарной продукции:

ê 

ê 

пункт 15 - затраты на 1 рубль товарной продукции:

ê 

ê 

4.3 Расчет потребности в собственных оборотных средствах на конец планируемого года и их прироста

Рассчитаем потребность в собственных оборотных средствах на конец планируемого года и их прирост (Таблица), используя данные (Таблица).

Потребность в оборотных средствах по статьям «Производственные запасы», «Незавершенное производство», «Готовая продукция» определяется исходя из нормы запаса в днях и однодневного (планового) оборота по соответствующим статьям затрат на производство на IV квартал. Используя данные по смете (Таблица), рассчитаем величину однодневного (планового) оборота:

õ  по производственным запасам - исходя из величины материальных затрат;

õ  по незавершенному производству - исходя из себестоимости валовой продукции;

õ  по готовой продукции - исходя из производственной себестоимости товарной продукции.

Величину остатков по счету «Расходы будущих периодов» на конец периода исчислим на основе данных сметы (Таблица), где в строке 9 указано изменение этих остатков. Данные о величине остатков на начало года приведены в (Таблице).

Если при расчете потребности в оборотных средствах выявляется ее снижение на конец года, то средства, высвобождающиеся из оборота, направляются на покрытие расходов, осуществляемых из прибыли.

Данные к расчету потребности в оборотных средствах

№ п/п

Показатель

Сумма, тыс. руб.

1

Изменение расходов будущих периодов

20

2

Прирост устойчивых пассивов

230

3

Норматив на начало года:


3.1

Производственные запасы

3 935

3.2

Незавершенное производство

236

3.3

Расходы будущих периодов

15

3.4

Готовая продукция

501

4

Нормы запаса в днях:


4.1

Производственные запасы

25

4.2

Незавершенное производство

4

4.3

Готовые изделия

7

Расчет потребности предприятия в оборотных средствах

№ п/п

Статья затрат

Норматив на начало года, тыс. руб.

Затраты IV кв., тыс. руб., всего

Затраты IV кв., тыс. руб./ день

Нормы запасов, дни

Норматив на конец года, тыс. руб.

Прирост (+), снижение (-)

1

2

3

4

5

6

7

8

1

Производственные запасы

3 935

8 250

92

25

2 300

- 1 635

2

Незавершенное производство

236

14 317

159

4

636

+ 400

3

Расходы будущих периодов

15

35

+ 20

4

Готовые изделия

501

14 212

158

7

1 106

+ 605

5

Итого

4 687

4 077

- 610

Источники прироста

6

Устойчивые пассивы

+ 230

7

Прибыль

- 840

Расчеты к (Таблице):

пункт 1 - производственные запасы:

ê 

ê 

ê 

ê 

ê 

ê 

пункт 2 - незавершенное производство:

ê 

ê 

ê 

ê 

ê 

ê 

пункт 3 - расходы будущих периодов:

ê 

ê 

ê 

пункт 4 - готовая продукция:

ê 

ê 

ê 

ê 

ê 

ê 

пункт 5 - итого:

ê 

ê 

ê 

пункт 6 - устойчивые пассивы:

ê 

пункт 7 - прибыль:

ê 

Заключение

На основе выше изложенного можно сделать следующие выводы.

Прибыль является стержнем и главной движущей силой экономики рыночного типа, основным побудительным мотивом деятельности предпринимателей.

В наиболее обобщенном виде прибыль представляет собой выраженный в денежной форме чистый доход предпринимателя на вложенный капитал, характеризующий его вознаграждение за риск осуществления предпринимательской деятельности, представляющий собой разницу между совокупным доходом и совокупными затратами в процессе осуществления этой деятельности.

Прибыль как экономическая категория выполняет определенные функции: прибыль как критерий и показатель эффективности деятельности предприятия (наличие прибыли на предприятии означает, что его доходы превышают все расходы, связанные с его деятельностью); прибыль обладает стимулирующей функцией, одновременно являясь финансовым результатом и основным элементом финансовых ресурсов предприятия; прибыль является одним из источников формирования бюджетов разных уровней.

Планирование прибыли, с переходом к рыночной экономике занимает центральное место в стратегическом управлении коммерческим предприятием. Планирование прибыли может осуществляться методами: метод прямого счета (применяется на предприятиях с небольшим ассортиментом продукции); аналитический метод (применяется при большом ассортименте выпускаемой продукции, а также как дополнение к прямому методу в целях его проверки и контроля); совмещенный (комплексный) метод (совмещение метода прямого счета и аналитического метода); метод, основанный на эффекте производственного (операционного) рычага (базируется на принципе разделения затрат на условно-постоянные и условно-переменные затраты); метод на основе бюджетирования (разрабатываются компьютерно-ориентированные модели финансового планирования прибыли).

На каждом предприятии должен быть найден оптимальный вариант распределения прибыли. Большую роль в этом должен сыграть анализ хозяйственной деятельности. В процессе анализа необходимо изучить факторы изменения величины налогооблагаемой прибыли, суммы выплаченных дивидендов, процентов, налогов из прибыли, размера чистой прибыли, отчислений в фонды предприятия.

Доля чистой прибыли, оставшаяся в распоряжении предприятия после уплаты налогов и других обязательных платежей, должна быть достаточной для финансирования расширения производственной деятельности, научно-технического и социального развития предприятия, материального поощрения работников.

Нераспределенная прибыль, безусловно, является наиболее важным источником нового собственного капитала. Но при этом нераспределенная прибыль также является остатком, который получается после выделения из прибыли средств для выплаты дивидендов. Акционеры обычно ожидают прибыли от своих капиталовложений либо в виде дивидендов, либо в виде увеличения размера капитала. Финансовые управляющие должны принимать решение о том, вывести ли прибыль корпорации из-под контроля компании или реинвестировать ее внутри самой компании, когда это более прибыльно.

Являясь основным источником собственных средств фирмы, с одной стороны, прибыль рассматривается как результат деятельности фирмы, с другой, - как основа дальнейшего развития предприятия, расширения его производственной базы и источником финансирования социальной сферы. За счёт прибыли выполняются также часть обязательств предприятия перед бюджетом, банками и другими предприятиями и организациями. Из прибыли выплачиваются дивиденды и другие доходы учредителям и собственникам предприятия. По прибыли кредиторы судят о возможностях предприятия по возврату заёмных средств, инвесторы о целесообразности инвестиций в предприятие, поставщики о его платежеспособности.

Подводя итог, следует добавить, что показатели прибыли становятся важнейшими для оценки производственной и финансовой деятельности предприятия. Они характеризуют степень его деловой активности и финансового благополучия.

Таким образом, цель курсовой работы по изучению сущности прибыли, ее планирования, формирования и распределения на предприятии достигнута и задачи решены.


Список литературы

прибыль рыночный экономика

1.   Налоговый Кодекс Российской Федерации ч. 2, гл. 25 «Налог на прибыль организаций», N110-ФЗ от 06.08.2001 г.

2.   Положение по бухгалтерскому учету (ПБУ) 18/02 «Учет расчетов по налогу на прибыль» (№114н от 19 ноября 2002 г.).

3    Анализ финансово-экономической деятельности предприятия. Любушин Н.П., Лещева В.Б., Дьякова В.Г. - М.: ЮНИТИ, 2000 г.

4    Бланк И.А. Управление прибылью. - 2-е изд., расш. и доп. - К.: Ника-Центр, 2002, - 752 с.

      Бурмистрова Л.А. Финансы организаций (предприятий). - М.: ИНФРА-М, 2009. 240 с.

6.   Как определять плановую потребность предприятия в оборотных средствах - Литвин М.И., Финансы. - 2005 г.

7.   Ковалева А.М., Лапуста М.Г., Скамай Л.Г. Финансы фирмы. - М.: ИНФРА-М, 2005. - 521 с.

8.      Об анализе оборотных средств. Фащевский В.М., Бухгалтерский учет. - 2006 г.

.        Павлова Л.Н. Финансы предприятий. - М.: Финансы, ЮНИТИ, 1998. - с. 639.

.        Управление предприятием. Плеханов Ю.В., Проблемы теории и практики управления. 2002 г.

.        Финансовый менеджмент. Российская практика. Стоянова Е.С. - М.: Перспектива, 2004 г.

.        Финансы в управлении предприятием, Под ред. Ковалевой - М.: Финансы и статистика, 2005 г.

.        Финансы предприятий: Учебное пособие, Под ред. Бородиной - М.: Банки и биржи, ЮНИТИ, 2001 г.

.        Финансы организаций (предприятий): Учебник. Лапуста М.Г., Мазурина Т.Ю., Скамай Л.Г. - М.: ИНФРА-М, 2007 г.

.        Финансы организаций (предприятий): Учебное пособие Мазурина Т.Ю. - М.: РИОР, 2007 г.

.        Финансы организаций (предприятий) / Под ред. Н.В. Колчиной. - М.: ЮНИТИ-ДАНА, 2011 - 407 с.

.        Финансы предприятий. В схемах и таблицах: пособие. Т.Н. Кондратьева - Минск: высшая школа, 2007 г.

.        Экономика организаций (предприятий) учебник/ под ред. Сафронова Н.А., - 2-е изд., перераб. и доп. - М.: экономист, 2007. - 618 с.

.        Экономика предприятия учебник для вузов. - 2-е изд., перер. и доп. / под ред. Грузинова В.П., - М.: ЮНИТИ-ДАНА, 2002. - 795 с.