Материал: Планирование деятельности фирмы

Внимание! Если размещение файла нарушает Ваши авторские права, то обязательно сообщите нам

Качественные показатели конкурентоспособности характеризуют потребительские свойства и научно-технический уровень товара. Они подразделяются на классификационные и оценочные. Классификационные показатели характеризуют принадлежность изделия к определенной классификационной группе и определяют назначение, область применения и условия использования данного товара. Оценочные показатели характеризуют качество товара. Они применяются для нормирования требований к качеству и сравнения различных образцов товаров, отнесенных к одному классу по квалификационным показателям. Набор оценочных показателей может быть разнообразным. Однако при планировании конкурентоспособности в первую очередь следует выделять такие параметры продукции, которые характеризуют ее соответствие утвержденным или принятым в торговой практике стандартам качества, например экологическую чистоту, безопасность для здоровья человека и т.д.

Экономические показатели конкурентоспособности характеризуют суммарные затраты потребителя на удовлетворение его потребности посредством данного товара, составляющие цену потребления. Цена потребления включает затраты на приобретение товара (покупку, аренду) и расходы на эксплуатацию изделия в период срока его службы (ремонт, обслуживание, энергообеспечение).

Цена потребления является для потребителя решающим мотивом покупки и основным показателем конкурентоспособности. Структура цены потребления зависит от особенностей товара. Расчеты показывают, что расходы, возникающие в процессе потребления, по многим видам изделий существенно превышают продажную цену. Так, в цене потребления бытового холодильника последняя занимает всего лишь 10%, для автомобилей - в среднем 15%, тракторов - 19%.

. Планирование цены

Цена является важнейшим фактором, определяющим объем продаж и выручку от реализации продукции. Поэтому планирование объема продаж включает этап планирования цены. При установлении цен предприятие должно стремиться к такому их уровню, который бы обеспечивал максимальный объем дохода при оптимальном объеме выпуска продукции и достигнутом уровне издержек производства. Цена на товар в условиях рынка складывается под влиянием спроса и предложения. Однако это не исключает участия государства в регулировании цен на отдельные виды товаров. Государственное регулирование цен осуществляется посредством контроля за необоснованным их завышением. С этой целью правительство может устанавливать декларирование цен на продукцию, вводить предельные коэффициенты повышения цен и предельные уровни рентабельности, исходя из экономической и социальной значимости товаров. Данные факторы существенно влияют на процесс планирования цены.

. Прогнозирование величины продаж

Расчет количества продаж того или иного изделия является заключительным этапом планирования продаж. К сожалению, приходится констатировать, что ни отечественная, ни зарубежная теория не выработала абсолютно надежных методов расчета количества продаж. Методика определения объема продаж (поставок) в рамках централизованной системы планирования и управления экономикой, хотя и имела четкие алгоритмы расчетов, основанные на межотраслевых балансах, но ей был присущ крупный недостаток, состоящий в том, что применяемые в расчетах нормативы потребностей не учитывали вкусы и желания людей. Потребности людей не изучались, а навязывались им извне, что порождало хронические диспропорции между спросом и предложением. Количественно измерить спрос чрезвычайно сложно, а порой и невозможно вследствие того, что он порождается огромным количеством субъективных, порой противоречивых и неподдающихся формализации и оценке, факторов.

а) основанные на экспертных оценках;

б) экономико-статистические.

Рассмотрим некоторые аспекты применения указанных средств в практике расчетов.

. Методы экспертных оценок.

Этот метод предполагает изучение мнений специалистов предприятий-производителей и потребителей продукции, торгово-посреднических фирм, предприятий розничной торговли, консалтинговых организаций о возможных объемах продаж продукции предприятия в планируемом периоде. На их основе экспертным путем определяется три вида прогноза продаж: оптимистический, пессимистический и рациональный (вероятный).

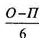
Ожидаемый объем продаж изделия в плановом периоде(OП)рекомендуется определять по формуле:


Где О, В, П - объемы продаж - соответственно оптимистический, вероятный, пессимистический.

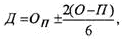
Так как любой прогноз носит вероятностный характер, то рассчитывается доверительный интервал возможного объема продаж по формуле:


Где  - стандартное отклонение оценок продаж

Основным фактором успеха при расчете объемов продаж при данном методе является квалификация экспертов. Поэтому эксперты должны знать особенности продукции, рынок, конкурентов и их продукцию, тенденции научно-технологического развития динамику цен, итоги работы отрасли в предшествующем периоде.

. Экономико-статистические методы.

Данные методы включают обширный арсенал различных количественных средств. Наиболее часто на практике применяются методы регрессионного и корреляционного анализа; скользящей средней; взвешенной скользящей средней (экспоненциального сглаживания); следящего сигнала.

Метод регрессионного и корреляционного анализа - это способ нахождения объема продаж конкретного изделия, основанный на выявлении и установлении зависимости искомого показателя от других факторов. Например, можно установить зависимость изменения объема продаж бензина от объема продаж или производства запасных частей к автомобилям; объема продаж сахара от изменения численности населения в регионе и т.д. На основании статистической выборки по объему продаж планируемого товара(у)и различных факторов, влияющих на него (x12, х3,...,хn), за предшествующие плановому периоды составляется статистический ряд наблюдений и стандартные уравнения. Зависимость показателей может быть линейной, параболической, гиперболической и экспоненциальной.

Для выявления формы связи, тесноты связи и различных показателей, характеризующих пригодность исходного статистического материала для анализа и прогнозирования, разработаны соответствующие программы для ЭВМ.

Исследования, проведенные в Чикагском университете за много лет, выявили следующую линейную зависимость количества продаж любого товара (х) от его цены (у):

х=91,2099-4,7356х.

Эту зависимость с успехом используют в практических расчетах при планировании цен и объемов продаж. Конечно, форма взаимосвязи для отдельных товаров, товарных рынков, времени года, направления моды, качества продукции и других специфических факторов различна. Поэтому каждое предприятие для каждого конкретного товара должно иметь такие зависимости, что является надежным инструментом планирования производства товара. Из этого подхода видно, что фактически планирование продаж сводится к установлению цены исходя из выбранной стратегии.

К числу простых методов прогнозирования объема продаж относится расчет скользящей средней величины продаж, которая рассчитывается путем деления фактического объема продаж на продолжительность анализируемого периода. Планируемый объем продаж принимается равным этой величине. Например, предприятие рассчитывает объем продаж на планируемый месяц по этому методу. Для этого объем продаж за предшествующие 12 месяцев делится на количество месяцев, т.е. 12. В следующем месяце к исходной величине продаж добавляют фактические продажи за последний месяц и вычитают этот показатель за первый месяц ретроспективного периода.

Метод взвешенной скользящей средней (экспоненциального сглаживания) отличается от вышерассмотренного метода тем, что при расчете средней величины продаж за ретроспективный период в модель вводятся весовые коэффициенты, отражающие меру влияния различных факторов. Данный подход может применяться в случае, если при расчете планируемого объема продаж необходимо учесть не только фактические данные о продажах за предшествующий период, но и результаты прежнего прогноза на этот период. Тогда фактическим продажам за конкретный период и прогнозу за этот же период присваиваются весовые коэффициенты, дающие в сумме единицу. Наиболее точные результаты прогноза продаж достигаются в тех случаях, когда фактическая величина продаж рассматривается в сравнении с прогнозировавшейся ранее.

Метод «следящего сигнала» учитывает ошибку прогноза и рассчитывается путем деления абсолютной суммы отклонений (без учета знака) на среднее отклонение. Нормальное колебание «следящего сигнала» должно быть в пределах 3,0 - 7,0. Если этот показатель выходит за пределы норматива, то метод расчета планируемого показателя не адекватен условиям данного предприятия и подлежит усовершенствованию.

Планирование продаж основывается на прогнозе развития потребностей, которые может удовлетворить предприятие своими товарами. С этих позиций всех потребителей можно разделить на две группы: конечные потребители (приобретающие товар для личного потребления) и предприятия-потребители (оптовые покупатели, приобретающие товар для дальнейшей переработки или продажи). Поведение этих двух групп потребителей может различаться в зависимости от целей приобретения товара, способов принятия решений о покупке, источников получения информации о товаре, требований к послепродажному сервису. В силу этого методы прогнозирования продаж для различных потребителей также различаются. Для предприятий-потребителей расчеты носят более вероятностный характер, поскольку по своей сути являются прогнозами, построенными на других прогнозах.

В зависимости от типа потребителя выделяются два подхода к прогнозированию объемов продаж.

Для предприятий потребителей объем продаж рассчитывается на основе конечного использования их продукта. Прогнозирование объема продаж по данному методу базируется на прогнозах развития отраслей - потребителей продукции предприятий. Использование данного метода наиболее предпочтительно на предприятиях добывающей и энергетической промышленности, в машиностроении при изготовлении комплектующих деталей и сборочных единиц.

При планировании объема продаж в данном случае принимаются во внимание перспективы развития отраслей, производящих средства производства, научно-технологического прогресса в отраслях, потребляющих продукцию. Например, изменение технологии производства у потребителей может существенно сказаться на составе и номенклатуре применяемого оборудования.

При обосновании объема продаж изучаются также смежные отрасли, поставляющие аналогичные по потребительским свойствам виды продукции.

Объем продаж орудий и предметов труда определяется методом прямого счета, исходя из удельных норм их расхода у потребителей. Для предприятий с многономенклатурной продукцией могут применяться укрупненные нормы расхода.

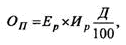
Объемы продаж конечным потребителям рассчитываются по«доли рынка предприятия».При прогнозировании объема продаж по этому методу используются данные о среднегодовых темпах роста емкости целевого рынка в прошедшем периоде, его емкости в предплановом году (текущем) и планируемой доли предприятия в общем объеме продаж. Расчет объема продаж (Од) ведется по формуле:


гдеЕр - емкость целевого рынка в отчетном году (единиц);

Ир - среднегодовой индекс роста емкости целевого рынка за прошедший период;

Д - планируемая доля предприятия на целевом рынке в прогнозируемом периоде (процент).

К основным факторам, оказывающим влияние на величину Ир к Д относятся тенденции изменения доходов населения, колебания деловой активности, сезонные изменения спроса, цикличность появления на рынке новых товаров-конкурентов, изменения в технологии производства.

Расчет объема продаж предметов потребления также может вестись методом прямого счета на основе рациональных норм потребления на душу населения, объемов заготовок сырья.

Эффективность применения того или иного метода прогноза продаж зависит от конкретных условий и специфики хозяйственной деятельности предприятия.

8. Практическая часть

ОАО «ПО «Cевмаш» - один из крупнейших судостроительных комплексов России (с 2008 года входит в состав ОАО «Объединенная судостроительная корпорация»), динамично развивающаяся верфь, успешно сочетающая многолетний опыт судостроения и современный подход в производстве. Генеральный директор Будниченко Михаил Анатольевич.

Севмаш выпускает продукцию, в создании которой находят применение уникальные научно-технические и производственные мощности предприятия.

Предприятие располагает крупнейшими в России стапельными местами в крытых эллингах общей площадью более 100 000 м2.

Возможности стапелей позволяют предприятию строить суда с шириной корпуса до 38 метров дедвейтом до 100 тысяч тонн, а различные плавучие технические сооружения и морские нефтедобывающие Севмашормы достигают по длине и ширине 126 и высоты 100 метров. Вес конструкций достигает 85 тысяч тонн.

Севмаш производит высокотехнологичное оборудование для различных отраслей промышленности и топливно-энергетического комплекса.

Мощности предприятия и опыт трудового коллектива дают возможность реализовывать высокотехнологичные и наукоёмкие проекты: от выпуска транспортно-упаковочных контейнеров для отработавшего ядерного топлива до создания современных атомных подводных лодок и морских инженерных сооружений.

Выполнение государственного оборонного заказа - основное направление деятельности северодвинской верфи. Масштабная кораблестроительная программа реализуется на предприятии с 1939 года. За свою историю Севмаш передал Военно-морскому флоту страны 132 атомных, 36 дизель-электрических подводных лодок и 45 надводных кораблей. Завод дал жизнь кораблям, установившим рекорды подводной скорости, глубины погружения, подводного водоизмещения. Атомные ракетоносцы, созданные корабелами верфи, стали основой морской составляющей ядерных сил России. С распадом Советского Союза Севмаш фактически остался единственным предприятием в России и на постсоветском пространстве, осуществляющем весь цикл строительства и испытаний подводных лодок с атомными энергетическими установками. В 2012 году Военно-морскому флоту передан головной атомный подводный крейсер «Юрий Долгорукий» (проект «Борей»). В 2013 году - атомоход «Александр Невский» (проект «Борей»). В декабре 2013 года подписан приемный акт о принятии Военно-морским флотом в опытную эксплуатацию АПЛ «Северодвинск» (проект «Ясень»). 17 июня 2014 года на этом современном подводном атомоходе поднят Военно-морской флаг. 27 июля 2014 года на Севмаше состоялась торжественная церемония закладки сразу трех современных атомных подводных кораблей «Князь Олег» (пр. «Борей-А»), «Красноярск» (пр. «Ясень-М»). В этот же день состоялась церемония закладки АПЛ «Хабаровск». Информация об этом событии нашла отражение на сайте администрации Президента (kremlin.ru). Проекты атомных подводных крейсеров разработаны санкт-петербургскими проектными организациями «Рубин» и «Малахит». 19 декабря 2014 года состоялась торжественная церемония подъема Андреевского флага еще на одном атомном подводном ракетном крейсере (АПРК) нового поколения «Владимир Мономах» (проект«Борей»). 26 декабря 2014 года состоялась закладка третьего корабля проекта «Борей» - «Генералиссимус Суворов». На стапелях строятся атомные подводные лодки «Казань», «Князь Владимир», «Новосибирск».

Кроме того, ведется подготовка тяжёлого атомного ракетного крейсера «Адмирал Нахимов» к ремонту и модернизации. На проведение этих работ Севмаш заключил контракт с Министерством обороны РФ в 2013 году.