В
крайнем сечении корпуса (т.е. при
,
где L
– длина летательного аппарата) должны
выполняться равенства:

,



где
=9010
кг-
масса сухой конструкции;
-
масса топлива в рассматриваемый момент
времени;
m=68123,8 кг - масса ЛА в рассматриваемый момент времени;
Тогда получаем:
Н.
Суммируя
эпюры
и
, получим значение:
Н.

Н.
.
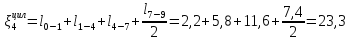
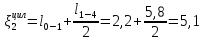
По
эпюре значение
Н.

Н.
По
эпюре
,


Погрешность
построения эпюр
и
,
как видно из эпюр, равны нулю, следовательно:

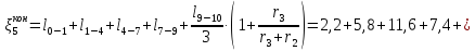
Нормальная
перегрузка
вычисляется по формуле:
,
где P=1760 кН – сила тяги двигателя летательного аппарата;
– нормальная
аэродинамическая сила;
–
угол
поворота двигателя;
m=68123,8 кг – масса летательного аппарата на расчётный момент времени;
м/с2
– ускорение свободного падения.
Полная нормальная аэродинамическая сила рассчитывается по формуле
,
где
– суммарное значение всех полных
нормальных аэродинамических сил на
конических участках;
– суммарное
значение всех полных нормальных
аэродинамических сил на цилиндрических
участках.


где
– удлинение цилиндра;
-
площади основания конуса.
На рисунке 11 изображена схема ЛА с обозначением необходимых для определения нормальной аэродинамической силы участков и расположение оснований, необходимых для расчета и приведенных для наглядности.

Рисунок 11 – Схема ЛА с обозначением расположения участков и оснований конусов
Н,
где
- площади основания конуса.
Н,
где
-
площади основания конуса.
Н,
где
-
площади основания конуса.
Н,
где
– удлинение цилиндрического участка
1-4,
–
площадь
основания цилиндрического участка 1-4,

Н,
где
– удлинение цилиндрического участка
7-9,
–
площадь
основания цилиндрического участка 7-9,

Полная нормальная аэродинамическая сила:


Нормальная
перегрузка
в этом случае:

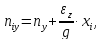
Угловое
ускорение
можно найти из уравнения вращательного
движения летательного аппарата вокруг
оси z
,
где
– момент всех внешних сил;
кг
м2
– массовый
момент инерции летательного аппарата
относительно оси z.
Момент всех внешних сил определяется по формуле:
,
где
м
– расстояние от носка до центра масс
летательного аппарата для расчётного
момента времени;
=
29,2 м
– координата точки приложения тяги
двигательной установки;
–
координата
точки приложения равнодействующей
нормальной аэродинамической силы.
Координата точки приложения равнодействующей нормальной аэродинамической силы определяется по формуле:

где
–
координата центра давления i-го
конического
участка от носка аппарата;
где
–
координата центра давления i-го
цилиндрического
участка от носка аппарата.
м;
м;
м;
м;

м
где
м
– длина участка 0-1,
=
5,8 м
– длина участка 1-4,
=
6,4 м
– длина
участка 4-7,
=
7,4 м
– длина
участка 7-9,
=
4,0 м
– длина
участка 9-10,
м,
м,
м
– радиусы
оснований конусов.
Получаем
координату приложения
:


Момент внешних сил


Угловое ускорение:
.
Поперечная
перегрузка
определяется по формуле:

где
расстояние
от центра масс ракеты до i-го
сечения.
Эпюра
представлена на рисунке 12.
Рисунок
12 – Посторенние эпюры

Значения эпюр M и Q по длине летательного аппарата находим с помощью программы QM.exe. Распечатка результатов работы программы приведена ниже. Эпюры представлены на рисунке 13.

Рисунок 13 — Эпюра перерезывающей силы Q и изгибающего момента M
Gorozhankina 1412/1408
KУPCOBOЙ ПPOEKT ПO PACЧETУ
Л.A. HA ПPOЧHOCTЬ
PACЧET HAГPУЗOK
ЗHAЧEHИE CEKУHДЫ ПOЛETA 52.00000
CKOPOCTЬ ПOЛETA, M/C 540.0000
CKOPOCTЬ BETPA, M/C 65.00000
УГOЛ OTKЛOHEHИЯ TЯГИ, ГPAД 3.000000
ПЛOTHOCTЬ BOЗДУXA, KГ/M**3 .3528000
ЧИCЛO MAXA 1.831000
ЗHAЧEHИE ПEPEPEЗЫB. CИЛЫ, KH 1.000000
ИЗГИБAЮЩИЙ MOMEHT, KH*M 1.000000
KOHTPOЛЬHOE CEЧEHИE 1
HOMEP BAPИAHTA 4
MACCA ЛETATEЛЬHOГO AППAPATA, KГ 68123.840
KOOPДИHATA ЦEHTPA MACC, M 19.159
MACCOBЫЙ MOMEHT ИHEPЦИИ, KГ*M**2 3.7401E+06
ПOПEPEЧHAЯ AЭPOДИHAMИЧECKAЯ CИЛA, KH 260.55
KOOPДИHATA ЦEHTPA ДABЛEHИЯ, M 18.942
ПOПEPEЧHAЯ ПEPEГPУЗKA .5278
УГЛOBOE УCKOPEHИE, 1 / C**2 -.2322
**********************************************************************************************
* * * * *
* * * ПEPEPEЗЫBAЮЩAЯ CИЛA Q, KH * ИЗГИБAЮЩИЙ MOMEHT M, KH*M *
* HOMEPA * ДЛИHA * * *
* CEЧ. * УЧ.,M * CЛEBA * B CEPEДИHE* CПPABA * CЛEBA * B CEPEДИHE* CПPABA *
* * * * * * * * *
**********************************************************************************************
* * * * * * * * *
* 0, 1 * 2.200E+00 * 0.000E+00 * 8.189E+00 * 3.274E+01 * 0.000E+00 *-3.004E+00 *-2.402E+01 *
* 1, 2 * 1.000E+00 * 3.001E+01 * 3.065E+01 * 3.129E+01 *-2.211E+01 *-3.727E+01 *-5.276E+01 *
* 2, 3 * 7.501E-01 * 2.853E+01 * 2.901E+01 * 2.948E+01 *-5.281E+01 *-6.360E+01 *-7.457E+01 *
* 3, 4 * 1.050E+00 * 2.948E+01 * 2.774E+01 * 2.583E+01 *-7.457E+01 *-8.959E+01 *-1.037E+02 *
* 4, 5 * 3.000E+00 * 2.246E+01 * 2.434E+01 * 2.621E+01 *-1.058E+02 *-1.409E+02 *-1.788E+02 *
* 5, 6 * 1.700E+00 * 2.621E+01 * 3.114E+01 * 3.636E+01 *-1.788E+02 *-2.032E+02 *-2.319E+02 *
* 6, 7 * 0.000E+00 * 3.556E+01 * 3.556E+01 * 3.556E+01 *-2.314E+02 *-2.314E+02 *-2.314E+02 *
* 7, 8 * 2.700E+00 * 3.556E+01 * 4.446E+01 * 5.418E+01 *-2.314E+02 *-2.853E+02 *-3.518E+02 *
* 8, 9 * 3.445E+00 * 5.418E+01 * 6.770E+01 * 8.261E+01 *-3.518E+02 *-4.566E+02 *-5.858E+02 *
* 9,10 * 3.755E+00 * 8.261E+01 * 4.631E+01 *-4.860E+00 *-5.858E+02 *-7.092E+02 *-7.504E+02 *
* 10,11 * 3.200E+00 *-4.951E+01 *-4.705E+01 *-4.470E+01 *-7.752E+02 *-6.980E+02 *-6.246E+02 *
* 11,12 * 1.927E+00 *-4.591E+01 *-4.411E+01 *-4.234E+01 *-6.246E+02 *-5.812E+02 *-5.396E+02 *
* 12,13 * 2.273E+00 *-4.234E+01 *-8.484E+01 *-1.292E+02 *-5.396E+02 *-4.675E+02 *-3.460E+02 *
* 13,14 * 4.000E+00 *-9.688E+01 *-5.182E+01 * 2.893E-05 *-2.028E+02 *-5.297E+01 *-2.224E-02 *
* * * * * * * * *
**********************************************************************************************