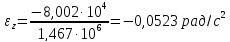
м/с2
– ускорение свободного падения.
Полная нормальная аэродинамическая сила рассчитывается по формуле
,
где
– суммарное значение всех полных
нормальных аэродинамических сил на
конических участках;
– суммарное
значение всех полных нормальных
аэродинамических сил на цилиндрических
участках.


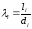
где
– удлинение цилиндра;
-
площади основания конуса.
На рисунке 9 изображена схема ЛА с обозначением необходимых для определения нормальной аэродинамической силы участков и расположение оснований, необходимых для расчета и приведенных для наглядности.

Рисунок 9 – Схема ЛА с обозначением расположения участков и оснований конусов
Н,
где
- площади основания конуса.
Н,
где
-
площади основания конуса.
Н,
где
– удлинение цилиндрического участка
1-4,
–
площадь
основания цилиндрического участка 1-4,

Н,
где
– удлинение цилиндрического участка
6-10,
–
площадь
основания цилиндрического участка
6-10.

Полная нормальная аэродинамическая сила:

Нормальная
перегрузка
в этом случае:

Угловое
ускорение
можно найти из уравнения вращательного
движения летательного аппарата вокруг
оси z
,
где
– момент всех внешних сил;
кгм2
– массовый
момент инерции летательного аппарата
относительно оси z.
Момент всех внешних сил определяется по формуле:
,
где
м
– расстояние от носка до центра масс
летательного аппарата для расчётного
момента времени;
=
23,8 м
– координата точки приложения тяги
двигательной установки;
–
координата
точки приложения равнодействующей
нормальной аэродинамической силы.
Координата точки приложения равнодействующей нормальной аэродинамической силы определяется по формуле:

где
–
координата центра давления i-го
конического
участка от носка аппарата;
где
–
координата центра давления i-го
цилиндрического
участка от носка аппарата.
м;
м;
м;
м,
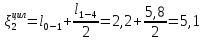
где
м
– длина участка 0-1,
=
5,8 м
– длина участка 1-4,
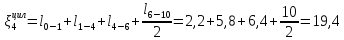
=
6,4 м
– длина
участка 4-6,
=
10,0 м
– длина
участка 6-10,
м,
м
– радиусы
оснований конусов.
Получаем
координату приложения
:

Момент внешних сил


Угловое ускорение:

Значения эпюр M и Q по длине летательного аппарата находим с помощью программы QM.exe. Распечатка результатов работы программы приведена ниже. Эпюры представлены на рисунке 10 и рисунке 11.

Рисунок 10 — Эпюра перерезывающей силы Q

Рисунок 11 — Эпюра изгибающего момента М
Bulanov 1406
KУPCOBOЙ ПPOEKT ПO PACЧETУ
Л.A. HA ПPOЧHOCTЬ
PACЧET HAГPУЗOK
ЗHAЧEHИE CEKУHДЫ ПOЛETA 46.00000
CKOPOCTЬ ПOЛETA, M/C 350.0000
CKOPOCTЬ BETPA, M/C 47.00000
УГOЛ OTKЛOHEHИЯ TЯГИ, ГPAД 4.500000
ПЛOTHOCTЬ BOЗДУXA, KГ/M**3 .5390000
ЧИCЛO MAXA 1.129000
ЗHAЧEHИE ПEPEPEЗЫB. CИЛЫ, KH 1.000000
ИЗГИБAЮЩИЙ MOMEHT, KH*M 1.000000
KOHTPOЛЬHOE CEЧEHИE 1
HOMEP BAPИAHTA 3
MACCA ЛETATEЛЬHOГO AППAPATA, KГ 41161.040
KOOPДИHATA ЦEHTPA MACC, M 15.165
MACCOBЫЙ MOMEHT ИHEPЦИИ, KГ*M**2 1.5288E+06
ПOПEPEЧHAЯ AЭPOДИHAMИЧECKAЯ CИЛA, KH 83.10
KOOPДИHATA ЦEHTPA ДABЛEHИЯ, M 9.768
ПOПEPEЧHAЯ ПEPEГPУЗKA .3575
УГЛOBOE УCKOPEHИE, 1 / C**2 -.0527
**********************************************************************************************
* * * * *
* * * ПEPEPEЗЫBAЮЩAЯ CИЛA Q, KH * ИЗГИБAЮЩИЙ MOMEHT M, KH*M *
* HOMEPA * ДЛИHA * * *
* CEЧ. * УЧ.,M * CЛEBA * B CEPEДИHE* CПPABA * CЛEBA * B CEPEДИHE* CПPABA *
* * * * * * * * *
**********************************************************************************************
* * * * * * * * *
* 0, 1 * 2.200E+00 * 0.000E+00 * 5.823E+00 * 2.329E+01 * 0.000E+00 *-2.135E+00 *-1.708E+01 *
* 1, 2 * 1.000E+00 * 2.130E+01 * 2.179E+01 * 2.228E+01 *-1.569E+01 *-2.646E+01 *-3.748E+01 *
* 2, 3 * 7.501E-01 * 1.687E+01 * 1.724E+01 * 1.760E+01 *-3.749E+01 *-4.388E+01 *-5.042E+01 *
* 3, 4 * 1.050E+00 * 1.760E+01 * 1.398E+01 * 1.032E+01 *-5.042E+01 *-5.871E+01 *-6.509E+01 *
* 4, 5 * 3.000E+00 * 5.330E+00 * 6.795E+00 * 8.257E+00 *-6.807E+01 *-7.716E+01 *-8.845E+01 *
* 5, 6 * 2.200E+00 * 8.257E+00 * 1.327E+01 * 1.877E+01 *-8.845E+01 *-1.003E+02 *-1.178E+02 *
* 6, 7 * 1.652E+00 * 1.559E+01 * 2.005E+01 * 2.478E+01 *-1.136E+02 *-1.283E+02 *-1.468E+02 *
* 7, 8 * 2.548E+00 * 2.478E+01 * 1.975E+01 * 1.283E+01 *-1.468E+02 *-1.753E+02 *-1.963E+02 *
* 8, 9 * 1.400E+00 * 7.334E+00 * 8.415E+00 * 9.494E+00 *-1.975E+02 *-2.030E+02 *-2.093E+02 *
* 9,10 * 1.713E+00 * 9.282E+00 * 1.063E+01 * 1.198E+01 *-2.093E+02 *-2.178E+02 *-2.275E+02 *
* 10,11 * 3.687E+00 * 1.198E+01 *-2.011E+01 *-5.312E+01 *-2.275E+02 *-2.201E+02 *-1.527E+02 *
* 11,12 * 1.000E+00 *-6.127E+01 *-6.052E+01 *-5.978E+01 *-1.545E+02 *-1.241E+02 *-9.401E+01 *
* 12,13 * 2.200E+00 *-3.270E+00 *-1.633E+00 * 4.945E-06 *-3.595E+00 *-8.987E-01 *-6.150E-04 *
* * * * * * * * *
**********************************************************************************************