Содержание
1.Введение
. Постановка задачи
. Уравнения переходного процесса
. Расчет режима цепи до коммутации
. Начальные условия
. Расчет установившегося режима
. Определение корней характеристического уравнения
.1 Вывод характеристического уравнения
.2 Корни характеристического уравнения
. Начальные условия для тока в индуктивности
. Раcчет постоянных интегрирования для тока в индуктивности L3
. Переходные токи и напряжения на элементах цепи
. Проверка уравнений Кирхгофа
. Проверка начальных условий
. Оценка продолжительности переходного процесса
14. Графики токов в электрической цепи
. Графики тока и напряжения на ёмкости
. Графики тока и напряжения на индуктивности
Литература
1. Введение
Расчет переходных процессов выполняется в ходе анализа и проектирования различных электроэнергетических, электротехнических, радиотехнических и электронных устройств и систем. Это позволяет избежать возникновения аварийных ситуаций при переходе от одного установившегося режима к другому, а также обеспечить своевременное отключение оборудования в аварийном состоянии.
Уравнения переходных процессов составляют по законам теории электрических цепей, возможно с учетом условий и предположений практического характера. В линейных цепях, параметры которых не зависят от токов и напряжений на отдельных элементах, переходные процессы описываются системами линейных, алгебраических и обыкновенно дифференцируемых уравнений. Их решение складывается из функций, описывающих установившейся режим и экспоненциальных функций, которые являются собственными функциями системами однородных дифференциальных уравнений, соответствующих данной системе уравнений.
Каждая экспоненциальная функция имеет два параметра: коэффициент и показатель (в общем случае комплексный). Показателями являются характеристические числа однородной системы уравнений (корни алгебраического уравнения с теми же коэффициентами, что и у дифференциального уравнения, полученного из системы однородных дифференциальных уравнений). Остается определить коэффициенты экспоненциальных функций; их количество обычно равно числу реактивных элементов в цепи, в которой происходит переходный процесс. Таким образом, уравнения, описывающие переходный процесс в линейной цепи поддаются алгебраизации (могут быть сведены к выводу и решению системы линейных алгебраических уравнений).
Наиболее распространенные методы алгебраизации дифференциальных уравнений объединяются под названием «метод переменных состояния». Различают два варианта метода переменных состояния: классический и современный (матричный).
В классическом варианте выбирается одна переменная состояния, например электрический ток в одной из ветвей цепи. Для определения коэффициентов требуется найти начальные значения этой переменной и (n-1) её производной, где n - число реактивных элементов в цепи, обычно равное порядку системы дифференциальных уравнений. Это позволяет составить систему линейных алгебраических уравнений относительно коэффициентов в выражении искомого тока, после ее решения можно определить этот ток, а затем и остальные переходные токи.
С увеличением количества переменных состояния аналитические выкладки становятся все более громоздкие, расчеты с большим трудом поддаются программированию, применение классического метода становится нерациональным.
В матричном методе в качестве переменных состояния используются переходные токи в индуктивностях и напряжения на емкостях. Переменная состояния становится вектором, его начальное значение определяется по законам коммутации. Расчеты легко программируются с использованием матричной алгебры.
Курсовая работа выполняется либо классическим
методом (аналитические преобразования несложны, для вычисления достаточно
калькулятора), либо матричным методом переменных состояния (матричные
вычисления легко программируются в системе MathCAD или MathLab). В отчете
используется классический метод.
2. Постановка задачи
Задана схема коммутации в электрической цепи и
параметры ее элементов.
Рис.1. Схема коммутации электрической цепи
= 10 Ом;= 106 мкФ
е1 = 10 В; е2 = 20 В;= 63,8 мГн
цепь коммутация ток индуктивность
Определить переходные токи в ветвях
электрической цепи до коммутации и после коммутации.
3. Уравнения переходного процесса
Рис.2. Схема электрической цепи после коммутации
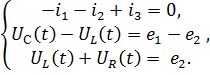
Система уравнений Кирхгофа
4. Расчёт режима цепи до коммутации
Рис.3. Эквивалентная схема электрической цепи в установившемся режиме до коммутации
Первая и третья ветви разомкнуты
.
По первому закону Кирхгофа
.
По второму закону Кирхгофа для
контура
.
5. Начальные условия
По первому закону коммутации
(0) = i2ДК= 0
По второму закону коммутации
(0) = UC1ДК = -10B
6. Расчет установившегося режима после
коммутации
Рис.4. Эквивалентная схема электрической цепи в
установившемся режиме после коммутации
По первому закону Кирхгофа
у = 0; i2у = i3у.
По второму закону Кирхгофа для контура II
следовательно,
=
7. Определение корней характеристического
уравнения
.1 Вывод характеристического уравнения
Определитель системы уравнений Кирхгофа:

.000068·p2 +0.064 ·p +10= 0.
.2 Корни характеристического уравнения
;
.
8. Начальные условия для тока в индуктивности
Независимые начальные условия:
по первому закону коммутации
(0)=
=0
по второму закону коммутации
=
(0)=
-10
Найдём зависимое начальное условие:
Второе уравнение системы уравнений Кирхгофа при
t=0
где
=
следовательно
9. Расчет постоянных интегрирования для тока в
индуктивности
Решение ищем в виде:
(t)=
+
=0
![]()
+
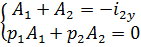
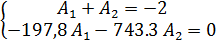
Получим систему уравнений
Проверка постоянных интегрирования
(0)=
Получили переходный ток на индуктивности
(t)=
10. Переходные токи и напряжения на элементах
цепи
Система уравнений Кирхгофа
Напряжение на индуктивности
=
=
= 0 В
Напряжение на конденсаторе найдем из
второго уравнения п.2
=
Найдем ток
из третьего
уравнения п.2
Найдем ток
из первого
уравнения п.2
Найдем напряжение на резисторе из
третьего уравнения п.2
=
= 20 В.
11. Проверка уравнений Кирхгофа
Проверка первого уравнения
|
|
|
|
|
|
|
0 |
0,714 |
-2,713 |
|
|
-2 |
2,725 |
-0,725 |
|
|
2 |
-3,439 |
3,438 |
|
Σ |
0 |
0 |
Проверка второго уравнения
;
|
|
|
|
|
|
|
-10 |
34,39 |
-34,38 |
|
|
0 |
-34,39 |
34,38 |
|
Σ |
-10 |
0 |
0 |
Проверка третьего уравнения
|
|
|
|
|
|
|
0 |
34,39 |
-34.38 |
|
|
20 |
-34,39 |
34,38 |
|
Σ |
20 |
0 |
0 |
12. Проверка начальных условий
(0)=
А
В
13. Оценка продолжительности переходного
процесса
=
=
с,
Тпер =5
14. Графики токов в электрической цепи
Рис.5. Графики токов в электрической цепи
15. Графики тока и напряжения на ёмкости
Рис.6. Графики тока и напряжения на ёмкости
16. Графики тока и напряжения на индуктивности
Рис.7. Графики тока и напряжения на
индуктивности
Список литературы
Бессонов Л.А. Теоретические основы электротехники. Электрические цепи: учебник для бакалавров/- 11-е изд., перераб. и доп. - М: Юрайт, 2012. - 701с.
Электротехника и электроника. Часть 1. Электрические и магнитные цепи: электронное мультимедийное учебное пособие. Авторы Волков Ю.С., Белов Н.В., Щедрин О.П. Издательство: МГОУ, 2010г. Доступ: knigafund.ru
Теоретические основы электротехники. Справочник по теории электрических цепей: учебное пособие для вузов./Ю.А. Бычков [ и др.]; под ред. Ю.А. Бычкова, В.М. Золотницкого, Э.П. Чернышева.- СПБ: Питер, 2008. - 342с.