Материал: Озонохемилюминесцентный анализ

Внимание! Если размещение файла нарушает Ваши авторские права, то обязательно сообщите нам

Озонохемилюминесцентный анализ

Введение

В связи с развитием химической, нефтехимической, медицинской, и других видов промышленности, использующих органические соединения как сырье, в последнее время резко возросли темпы загрязнения поверхностных и подземных источников водопотребления различными органическими отходами - нефтепродуктами, фенолами, диоксинами, и т.д. Такие загрязнения делают источники водоснабжения непригодными для хозяйственного использования.

Для принятия мер по ликвидации загрязнения или для составления прогноза экологической ситуации, зачастую требуется информация о динамике содержания загрязнителей в течение длительного периода времени. Стандартные методы контроля органических соединений (метод БПК, метод бихроматного окисления, метод определения общего органического углерода) требуют длительного времени для получения результата анализа, химических реактивов не могут быть полностью автоматизированы. Требуются новые методы контроля загрязнений, которые дают возможность получать информацию в реальном времени.

В 1998 г. в СПб НИЦЭБ РАН началась разработка озонохемилюминесцентного метода контроля органических соединений. Была доказана и практически реализована возможность создания на основе метода прибора, позволяющего производить контроль содержания органических соединений в реальном времени. Дальнейшему исследованию озонохемилюминесцентного метода посвящена данная дипломная работа.

1.Аналитический обзор интегральных методов определения содержания органических соединений (ОС) в природных водах

.1 Важность контроля динамики содержания органики в водных объектах

Установлено, что большинство загрязнений водной среды органическими соединениями при нормальных условиях самоочищения водоемов и водотоков находится в концентрациях, достаточно малых, чтобы вызывать озабоченность. Когда же эти концентрации превысят некие пороговые значения, возникают проблемы, масштабы которых зависят от достигнутого уровня концентрации. Для органических соединений эти утверждения не всегда являются правильными. Так, при добыче нефти ее утечка представляет собой обычное явление для многих водных систем в течение ряда лет и создает проблемы для тех районов, где ее конечная концентрация превышает определенный пороговый уровень. Но имеются и другие примеры, когда появление органических веществ в водной системе является крайне нежелательным, а необходимые процессы разложения многих из них либо вообще не идут, либо проходят сравнительно медленно в биологическом масштабе времени. Органические загрязнения, поступающие в водные системы, как в виде растворов, так и во взвешенном состоянии, содержат широкий набор веществ, получаемых из многочисленных и разнообразных источников. Содержание их в незагрязненных водах сравнительно невелико, но в загрязненных системах их содержание зависит от характера сброса и от физических и химических свойств воды, в которую производят сброс, что, приводит к большому разнообразию условий.

За последние несколько лет в водной среде было идентифицировано большое число различных загрязнителей, в том числе инсектициды, пестициды, детергенты, фенолы, белковые ферменты, аминокислоты, карбоновые кислоты, гуминовые кислоты, витамины [1]. Все они оказывают заметное влияние на живые организмы, находящиеся в воде; некоторые из них составляют необходимую часть любой системы и нередко могут играть роль питательных веществ для фитопланктона и бактерий. Но также известно, что пестициды и детергенты нередко вызывают тяжелые последствия для биоты, априори представляющиеся несоизмеримыми с их содержанием. Это вызвано действием соединений этих классов на клеточные мембраны гидробионтов Перенос органических веществ в биосфере в сильной степени зависит от природы веществ и их переработки. Так, сточные воды, содержащие некоторое количество углеводов, жиров и жирных кислот, часто сливают непосредственно в водную систему, тогда как пестициды и промышленные органические вещества обычно попадают в эту систему в виде стока с сельскохозяйственных угодий и с атмосферными осадками. Во многих районах дождевая вода часто содержит заметные количества хлорорганических инсектицидов. Отходы промышленных производств органических продуктов также иногда сбрасываются непосредственно в водные системы. При различных способах введения, органические вещества распределяются в водной системе в зависимости от специфики данного водоема, подобно тому, как это происходит с металлами. Важнейшую роль при этом играют поверхностная пленка, основная масса воды, осадок и биологический круговорот.

В местах сброса между антропогенными веществами и веществами природного геохимического фона происходит взаимодействие, но большинство реакций и образующихся соединений изучены не полностью. Известно, например, что такие металлы, как железо, медь и цинк, легко образуют комплексные соединения, но скорости их образования, диссоциации и переноса не определены. Между различными металлами и органическими соединениями существует также конкуренция, приводящая к преимущественному образованию определённых соединений, поэтому фактически во всех случаях идентификация примесей выполнена не вполне корректно. Также не исследованы скорости разложения и окисления различных соединений, состав продуктов разложения и их влияние на рассматриваемую часть системы.

Распределение органических веществ может охватывать большие области в зависимости от индивидуальных свойств компонента. Нефть, например, растекается по поверхности воды до тех пор, пока ее не будет что-либо ограничивать или пока не образуется очень тонкая пленка. Эта пленка значительно увеличивает размеры поверхностной зоны, в которой протекают различные реакции. Плёнка проявляет свойства, отличающиеся от свойств нефти в большом объеме. Ряд соединений растворяются в воде и будут перенесены за счет движения водных масс, причем некоторые вещества адсорбируются на поверхности донных осадков. Оставшиеся в растворе химические продукты быстро вовлекаются в биологический цикл и переносятся различными организмами. Распределение и степень переноса во всех случаях зависят от местных условий и могут колебаться в широких пределах, начиная от концентрирования и кончая максимально равномерным распределением. Эти свойства, в свою очередь, зависят от скорости и характера движения воды и осадка, от химических и биохимических свойств рассматриваемых соединений.

Помимо скорости и направления движения, общего эффекта концентрации или рассеивания, важным и часто упускаемым моментом является период существования определенного соединения. Обычно он исчисляется отрезком времени, необходимым для разложения данного соединения или для изменения его состава настолько, чтобы оно больше не могло представлять потенциальную или реальную проблему загрязнения. Это время в сильной степени зависит от ряда переменных: характеристики воды и биологической активности. Для одного и того же соединения время его существования может заметно меняться в зависимости от местных условий. Периоды нахождения большинства веществ, классифицируемых как загрязнения, в настоящее время являются только более или менее обоснованными. Некоторые соединения, например пестициды и полихлорбифенилы, вызывают беспокойство, так как они имеют чрезвычайно длительный период "жизни" и сохраняют биологическую активность. Первоначально предполагали, что эти вещества фактически не разлагаются. Это, конечно, наивное предположение, подобное тому, будто металлическая ртуть, сброшенная в водную систему, является безвредной. Инсектициды и пестициды не утрачивают свои свойства при изменении их месторасположения, напротив, они продолжают действовать, пока не будут полностью удалены из системы. Необходимо исследовать химические и биохимические реакции упомянутых веществ в течение периода их нахождения в системе. Эти реакции отражают химическую природу веществ и зависят от многих факторов. Они определяют суммарное как кратковременное, так и долговременное влияние на гидросферу и знание этих процессов необходимо, чтобы правильно использовать водные системы в роли приемника отходов. Однако большинство процессов не известно, потому что не известны компоненты сбросов, поэтому особенно важно развитие методов, способных контролировать суммарное загрязнение водной среды органическими соединениями в реальном времени. В случае регистрации аномальных значений общей загрязненности, может быть отобрана проба для детального анализа с помощью аппаратуры высокого разрешения (хроматографы, масс-спектрометры и т. п.) Поэтому важны разработки и исследования областей применимости новых методов контроля общей загрязненности водных систем. Эти методы должны позволять создание датчиков общей загрязненности воды, способных в течение продолжительного периода (не менее полугода) без ревизии и обслуживания давать в реальном времени информацию об изменении измеряемого параметра.

1.2 Основные интегральные методы определения ОС

.2.1 Бихроматная окисляемость как метод определения химического потребления кислорода (ХПК) и критерий оценки качества воды

Химическое потребление кислорода (ХПК) - общая концентрация кислорода, соответствующая количеству бихромата, потребленному растворенным и взвешенным веществам при обработке пробы воды данным окислителем в определенных условиях [2].

В международном стандарте ИСО 6060 представлен метод определения ХПК воды, который применим к большинству вод со значением ХПК выше 30 мг/дм3. Максимальное значение ХПК, которое можно определить в неразбавленной пробе, 700 мг/дм3 .

Метод не применим к высокоминерализованным водам, таким как морские воды, содержащим (после разбавления) более 2000 мг/дм3 хлорида.

Химическое потребление кислорода воды, определенное бихроматным методом, можно считать приблизительной мерой теоретического потребления кислорода, т.е. ХПК - это количество кислорода, потребленное при общем химическом окислении органических компонентов до неорганических конечных продуктов. Степень, с которой аналитические результаты приближаются к теоретическому значению, зависит в основном от того, насколько полным было окисление. Большое число органических соединений окисляется на 90...100%, а в водах, где эти соединения преобладают, такие как городские сточные воды, значение ХПК является реальной мерой теоретического потребления кислорода. Для других вод, содержащих большие количества определенных веществ, слабо окисляемых в условиях опыта, значение ХПК является слабой мерой теоретического потребления кислорода. То же самое можно сказать и о некоторых промышленных стоках.

Таким образом, значение ХПК зависит от состава исследуемой воды. Об этом необходимо помнить при рассмотрении результатов, полученных методом, определенным в международном стандарте ИСО 6060.

Сущность метода заключается в нагревании с обратным холодильником испытуемой пробы в концентрированной серной кислоте с известным количеством бихромата калия в присутствии серебряного катализатора в течение определенного промежутка времени. Затем проводят титрование остатка бихромата калия солью Мора и рассчитывают ХПК по количеству восстановленного бихромата, причем 1 моль бихромата соответствует полутора молям кислорода. Отходом химической реакции, лежащей в основе метода, является токсичный трехвалентный хром (Cr+3).

Критерий ХПК, выраженный в миллиграммах кислорода, потребного для окисления органических веществ в литре воды, позволяет оценить качество воды, эта оценка проводится по четырем уровням качества, приведенным в табл. 1.

озонохемилюминесцентный химический вода

Таблица 1. Качество воды в зависимости от бихроматной окисляемости и содержания общего органического углерода [3].

Тип Вод

Характеристика качества вод

Величина бихроматной окисляемости, ХПК, мг/дм3

Содержание Сорг, мг/дм3

I II III IV

Чистые воды Незначительно загрязненные воды Сильно загрязненные воды Очень сильно загрязненные воды

15...25 26...70 71...100 более 100

7...12 13...35 36...50 более 50


1.2.2 Методы, основанные на биологическом потреблении кислорода

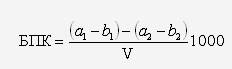
Биохимическое потребление кислорода (БПК) - это количество кислорода, требуемое для окисления находящихся в воде органических веществ в аэробных условиях в результате происходящих в воде биологических процессов. Окислительный процесс в этих условиях осуществляется за счет микроорганизмов, использующих органические компоненты в качестве пищи. Метод определения БПК в сточных водах сводится к следующему.

Исследуемую сточную воду после двухчасового отстаивания разбавляют чистой водой, взятой в таком количестве, чтобы содержащегося в ней кислорода с избытком хватило для полного окисления всех органических веществ в сточной воде. Определив содержание растворенного кислорода в полученной смеси, ее оставляют в закрытой склянке на 2, 3, 5, 10, 15 суток, определяя содержание кислорода по истечении каждого из перечисленных периодов времени (период инкубации).

Уменьшение количества кислорода в воде показывает, сколько его за это время израсходовано на окисление органических веществ, находящихся в сточной воде. Это количество, отнесенное к 1 л сточной воды, и является показателем биохимического потребления кислорода сточной воды за данный промежуток времени (БПК2, БПК3, БПК5, БПК10, БПК15).

Следует отметить, что биохимическое потребление кислорода не учитывает его расход на нитрификацию. Поэтому полное БПК следует проводить до начала нитрификации, которая начинается обычно спустя 15-20 суток. БПК сточной воды рассчитывается по формуле:


где a1 - концентрация кислорода в подготовленной для определения пробе в начале инкубации (в «нулевой день»), мг/л; а2-концентрация кислорода в разбавляющей воде в начале инкубации, мг/л; b1-концентрация кислорода в пробе в конце инкубации, мг/л; b2-концентрация кислорода в разбавляющей воде в конце инкубации, мг/л; V-объем сточной воды, содержащейся в 1 л пробы, после всех произведенных разбавлений, мл. При этом определение растворенного кислорода осуществляется, как правило, йодометрическим методом Винклера, основанным на окислении марганца (II) в щелочной среде до марганца (IV):

Mn(OH)2+O2+2(n- 1)H2O =2MnO2 - nH2O

и последующем его растворении в кислом растворе йодида калия:

МпО2• п Н2O +4Н++ 2I- = Мn2+ + I2 + (n + 2)H2O

с оттитрованием выделившегося йода тиосульфатом натрия. Из сравнения методов ХПК и БПК нетрудно понять, что метод БПК по времени получения конечного результата анализа значительно более продолжителен, чем метод ХПК. Тем не менее, в бюллетенях, характеризующих сточные воды, он всегда фигурирует как один из основных показателей.

Имеются варианты аналитических методов, позволяющие сравнительно простыми операциями выделить органические вещества из сточной воды, разделить их по химическим свойствам на несколько групп и определить содержание каждой группы воде. Последующим анализом выделенной группы органических веществ (газожидкостной хроматографией, исследованием поглощения ими инфракрасных лучей, фракционной перегонкой и т. д.) можно идентифицировать и количественно определит входящие в эту группу отдельные вещества. Метод особенно ценен, когда качественный состав сточной воды точно неизвестен. С другой стороны при анализе вод известного качественного состава нет необходимости проводить эти довольно кропотливые операции выделения и разделения, коль скоро основные компоненты можно определять непосредственно в сточной водах[4].

1.2.3 Метод определения общего органического углерода (ООУ)

Общий органический углерод (ООУ) или Total Organic Carbon (ТОС) - эта то количество растворенного и нерастворенного органического вещества, которая присутствует в воде. Величина ТОС не дает информации о природе органического вещества. Органический углерод может быть определен до анализа или определен в составе ТОС, а затем получен путем вычитания содержания неорганического углерода из общего содержания углерода.

В международном стандарте ИСО 8245 дается руководство по определению концентрации ТОС во всех типах вод. В руководстве описаны ход определения, мешающие влияния, реактивы и предварительная обработка проб воды, содержание органического углерода, в которой составляет 0,1 - 1000 мг/дм3 .При содержании органического углерода в больших количествах оно определяется после соответствующего разбавления пробы. Иногда может возникнуть необходимость в предварительной обработке пробы, например, путем отделения более крупных частиц, содержащихся в воде, для того, чтобы избежать засорения аппаратуры.

Кроме органического углерода, в пробе могут содержаться анионы угольной кислоты или диоксид углерода. До начала определения ТОС неорганический углерод должен быть удален путем продувки окисленной пробы газом, очищенным от диоксида углерода и органических соединений. Кроме того, могут быть суммарно определены диоксид углерода и общий углерод, а содержание органического углерода в этом случае рассчитывается путем вычитания содержания углерода из суммарного результата.

Этот метод более применим для вод, в которых содержание диоксида углерода меньше, чем содержание органического углерода. Летучие органические вещества, такие как бензол, толуол, циклогексан и хлороформ могут испаряться при десорбции диоксида углерода. Общий органический углерод в этом случае должен определяться отдельно, если это невозможно, следует применять другой метод.

Частицы свободного углерода, карбидов, цианидов и изоцианидов, присутствующие в воде, определяются вместе с органическим углеродом.

В международном стандарте ИСО 8245 применяются следующие определения:

. Общий углерод - количество углерода, присутствующее в воде в форме органического, неорганического и свободного углерода.

. Общий неорганический углерод - количество углерода, присутствующее в воде в виде свободного углерода, общего диоксида углерода, оксида углерода, карбидов, цианатов, цианидов и тиоцианатов.

. Общий органический углерод (ТОС) - количество углерода, присутствующее в воде в той части органического вещества, которая растворена или взвешена в воде.

. Растворенный органический углерод (DОС) - количество углерода, присутствующее в воде в органическом веществе, проходящем при фильтрации через мембранный фильтр с диаметром пор 0,45 мкм.

Сущность метода заключается в окислении органического углерода, содержащегося в воде, до диоксида углерода путем сжигания или добавления подходящего окислителя или ультрафиолетовом облучении.

Применение УФ-облучения с использованием в качестве окислителя лишь кислорода допускается для незагрязненных вод, отфильтрованных от взвешенных веществ. Неорганический углерод удаляется продувкой газом подкисленной пробы и определяется отдельно.

Образовавшийся диоксид может быть определен непосредственно или после восстановления до метана (СН4).

Среди прочих применяют следующие способы определения диоксида углерода или метана: инфракрасная спектрометрия, титрование (предпочтительно в безводном растворе), теплопроводность (ТП), кондуктометрия, колориметрия, ионометрия с использованием чувствительных к диоксиду углерода электродов и пламенная ионизация после восстановления до метана[2].

1.2.4 Анализ возможности автоматизации методов контроля ХПК

Существуют два принципиально различных подхода к автоматизации процесса определения ХПК. Первый - измерение косвенного параметра (например, оптической плотности), находящегося в корреляционной зависимости с ХПК и расчет ХПК по данным косвенных измерений [5].

Второй - создание «автоматического лаборанта», который воспроизводит химическую аналитическую процедуру, имеющую арбитражный статус [6].

До 1998 года существовал только первый подход, но он не мог получить широкого распространения, поскольку механизм получения коррелирующих значений (оптический или электрохимический) резко отличались, зависили от многих факторов и корреляционные коэффициенты были на уровне 0,6...0,7.

В 1998 году две фирмы АО «Цвет» (Россия) и SERES (Франция) практически одновременно выпустили первые серийные автоматические анализаторы ХПК, реализующие второй подход - автоматический отбор пробы и автоматическое проведение химического процесса окисления органики бихроматом.

АО «Цвет» распространило проспект на анализатор титрометрический промышленный АТП-8М, рассчитанный на контроль ХПК в сточных и питьевых водах, а фирма SERES на анализатор ХПК в промышленных сточных водах SERES-DCO.

Анализ проспектов показал, что при более узком диапазоне регистрации SERES-DCO (не расчитанном на питьевые воды), анализаторы обладают сопоставимыми характеристиками (табл. 2), при этом наложение СВЧ-поля на реактор в анализаторе фирмы SERES существенно сокращает продолжительность анализа.

Таблица 2. Характеристики автоматических анализаторов ХПК

%

Характеристика

АО «Цвет»

SERES-DSO

1 2 3 4 5 6

Диапазон измерения, мг/дм3 Минимально определяемая концентрация, мг/дм3 Воспроизводимость анализа, % Средняя длительность анализа, мин. Масса, кг Стоимость, у.е.

0...32000 3...4 1,5 60 36 6 000

30...700 30 - 10 50 10 000


К сожалению, создание этих анализаторов не решило проблему контроля качества воды по критерию ХПК в реальном времени, поскольку даже десятиминутная задержка в получении информации исключает возможность использовать аппаратуру в судовых экоаналитических комплексах для записи профилей ХПК по ходу судна и исключает возможность ее использования для автоматической выработки сигнала тревоги при возможных чрезвычайных ситуациях (авариях, диверсиях) в системах водоподготовки. Кроме того, предложенная аппаратура нуждается в периодической заправке токсичными реагентами.

1.3 Озонохемилюминесцентный метод контроля органических соединений (ОС) в природных водах, как новый перспективный подход к контролю качества водных объектов

К числу наиболее чувствительных методов определения микроконцентраций веществ принадлежат люминесцентные методы, то есть методы, основанные на эмиссии света: люминесценция с возбуждением молекул световым потоком (флуоресценция) и люминесценция с возбуждением молекул энергией химической реакции (хемилюминесценция). При этом хемилюминесценция обладает рядом преимуществ перед флуоресцентными методами анализа:

высокое соотношение сигнал/шум;

·   большой динамический диапазон измерения (до 5 порядков);

- отсутствие необходимости возбуждающего источника света, являющегося дополнительным источником шума и дрейфа измерительной аппаратуры для флуоресцентных методов.

Обычно для проведения хемилюминесцентной реакции необходимо присутствие окислителя. В качестве окислителя в хемилюминесцентных реакциях в водных растворах могут использоваться практически любые окислители, но чаще всего используется пероксид водорода. В последние годы широкое распространение получило применение органических пероксидов, особенно, пероксалатов.

В то же время определенный интерес представляет разработка хемилюминесцентных методов анализа, не требующих использования дефицитных, или нестабильных (пероксид водорода) дорогих реагентов, например, хемилюминесценция при озонолизе, а также при электроокислении.

Изучение хемилюминесценции под действием озона представляет собой сложную задачу по ряду причин:

наложение гашения хемилюминесценции молекулы кислорода, который всегда присутствует в смеси с озоном в силу самого способа получения из кислорода или воздуха; при этом действие кислорода не однозначно: гашение хемилюминесценции происходит при высокой концентрации кислорода, тогда как малые концентрации оказывают сенсибилизирующее действие;

расходование озона в процессе реакции не только на образование хемилюминесциирующего соединения, но и на окисление продуктов реакции, растворителя и т. д., примером может служить зависимость влияния рН раствора на окисление люминола озоном в присутствии пероксида водорода: сначала увеличение рН увеличивает интенсивность хемилюминесценции, но затем начинается уменьшение свечения за счет расходования озона на окисление пероксида водорода в щелочной среде и, соответственно, понижения эффективной концентрации озона;

возможность образования хемилюминесциирующих соединений не под действием озона в основной реакции, а в побочной реакции под действием молекулярного синглетного кислорода, который образуется как примесь к озону в количестве 10 - 20 % при получении озона в озонаторе. Кроме того, молекулярный синглетный кислород может образовываться и как побочный продукт самой реакции озонолиза.

При этом молекулярный синглетный кислород вступает в ряд химических реакций, сопровождающихся хемилюминесценцией, которые не происходят под действием озона.

В результате обобщения данных по хемилюминесценции, вызываемой действием озона, можно выделить следующие моменты:

соединения, способные к флуоресценции, обычно проявляют и способность к хемилюминесценции под действием окислителей. При этом спектры хемилюминесценции и флуоресценции похожи. Это позволяет прогнозировать возможную хемилюминесценцию, исходя из способности вещества к флуоресценции;

интенсивность хемилюминесценции линейно зависит от концентрации озона и концентрации вещества;

повышение температуры увеличивает интенсивность хемилюминесценции;

хемилюминесценция может происходить не только в растворе, но и при действии озона на вещество, нанесенное на твердую подложку (сорбент);

хемилюминесценция в растворе сильно зависит от природы растворителя (вплоть до полного исчезновения хемилюминесценции при переходе от одного растворителя к другому). При этом для разных веществ наблюдается разный порядок влияния растворителя на интенсивность хемилюминесценции. В водных растворах интенсивность хемилюминесценции меньше, чем в органических растворителях;

интенсивность хемилюминесценции может быть значительно усилена при добавлении сенсибилизатора, обычно вещества, способного к флуоресценции. При этом если оба вещества способны проявлять хемилюминесценцию, смесь часто обладает синергизмом.

Следует отметить, что некоторые растворители обладают собственной хемилюминесценцией под действием озона, при этом интенсивность хемилюминесценции часто соизмерима с интенсивностью хемилюминесценции многих изучавшихся веществ.

Однако если задача сводится к контролю содержания суммы органических соединений исключительно в водной среде, то интенсивность хемилюминесценции может быть использована как достаточно стабильный аналитический параметр, поскольку при наличии одновременных процессов различной природы их вклад будет стабильным, а изменение интенсивности свечения люминесценции, в первую очередь, будет связано с интенсивностью массопереноса органических веществ в рабочий объем озонолитического реактора датчика.

Если сочетать методы предварительной пробоподготовки, проводимой в едином аналитическом цикле, с озонохемилюминесцентными измерениями, то возможно создание нового гибридного аналитического метода [7], наиболее перспективного в экологических исследованиях [8].

1.4 Физические основы озонохемилюминесцентного метода

.4.1 Принцип метода озонохемилюминесценции

Озонохемилюминесцентный метод контроля суммарного содержания органического вещества в водной среде по параметру ХПК основан на явлении хемилюминесценции, которая возникает в водной пробе при ее взаимодействии с озоном. Интенсивность хемилюминесценции пропорциональна содержанию органики в воде, следовательно, пропорциональна величине ХПК. Структурная схема экспериментальной системы регистрации озонохемилюминесцентных процессов представлена на рис. 1.

В качестве источника озона, был использован опытный образец портативного проточного озонатора, разработанный СПб НИЦЭБ РАН. Озонатор представляет собой металлический цилиндр (диаметр 80 мм, длина 250 мм), снабженный штуцером для входа воздуха и штуцером для выхода озоновоздушной смеси. По оси цилиндра на металлокерамических изоляторах закреплен стальной стержень с двадцатью звездообразными электродами. Внутренняя поверхность цилиндра и поверхность электродов покрыты специальным составом, обеспечивающим стабильность поверхностно - барьерного разряда. В качестве фотоприемника был использован фотоэлектронный умножитель ФЭУ-118 с торцевым полупрозрачным сурьмяно-натриево-калиево-цезиевым фотокатодом, электростатической фокусировкой электронов, рефлекторным выходом, выполненный в стеклянном баллоне с жесткими выводами и предназначенный для преобразования световых сигналов в электрические в различных радиоэлектронных устройствах широкого применения.

Предельные условия эксплуатации ФЭУ 118:

                 напряжение питания до 2 кВ;

                 анодный ток до 10 мА;

                 напряжение на аноде от 30 до 300 В;

                 относительная влажность воздуха при температуре 25°С до 98 %;

                 рабочий диапазон температур от - 60 до + 70°С.

Озонолитический реактор представляет из себя проточную ячейку с торцевым окном и распылителем из пористого фторопласта. Когда водная проба попадает в ячейку, через нее барботируется озон, в результате чего наблюдается хемилюминесценция.

Рис. 1. Экспериментальная система регистрации озонохемилюминесцентных процессов.

1.4.2 Методы синтеза озона

Из многих возможных методов получения озона обычно используют синтез в барьерном разряде, электролиз, фотохимический способ и синтез в высокочастотном электрическом поле. В практической деятельности наиболее часто синтез озона осуществляют в барьерном разряде [9].

Генератор барьерного разряда, как правило, состоит из двух электродов и пластины диэлектрика, чаще стекла, помещенного между ними. По зазору между электродами продувается поток воздуха или кислорода. На электроды подается переменный электрический ток высокого напряжения (6 - 15 кВ).

При прохождении через зону разряда молекулы кислорода частично диссоциируют по схемам следующих реакций:

О2 + ē     → 2О + ē;

О + О2    → О3* + М → О3 + М;

О + О3    → 2О2;

О + О + М→ О2 + М,

где М - любая третья частица, которой передается избыточная энергия системы. В воздушной среде это чаще всего молекула азота. Образовавшийся атомарный кислород реагирует с молекулой кислорода, образуя озон; в случае присутствия в системе достаточно больших количеств озона он может реагировать с атомами кислорода, превращаясь в молекулы кислорода. Конкуренция этих двух реакций ограничивает возможность увеличения концентрации озона в воздушном потоке свыше 5 - 7 объемн. %.

Промышленный выпуск электроразрядных генераторов озона осуществляется уже около 100 лет. Наиболее распространены генераторы трубчатого типа, по внешнему облику напоминающие теплообменник, содержащий 200 - 300 труб диаметром 45 мм высотой 1200 - 1500 мм, в каждую из них помещена стеклянная трубка, на внутреннюю поверхность которой нанесен слой меди или алюминия. Также широко используют плоские озонаторы.

На образование 1 кг озона в большинстве генераторов затрачивается 16 - 18 квт·ч при получении озона из кислорода и 32 - 36 квт·ч из воздуха. Имеются сообщения о том, что созданы конструкции озонаторов, где расход электроэнергии снижен до 8 - 9 квт·ч на 1 кг озона [10, 11]. Этот показатель имеет решающее значение для определения областей использования озона в химической технологии. Минимальные расходы электроэнергии (3,3 квт·ч на 1 килограмм озона) были достигнуты при охлаждении до -183 ºС, однако столь глубокое охлаждение вряд ли окажется экономичным [12].

Из соотношения О3 ↔ 3/2·О2 + 24 ккал можно подсчитать, что минимально возможное количество энергии на образование озона составляет 0,565 квт·ч/кг [13]. Современные методы синтеза и аппаратура имеют пока КПД 10 - 15 %, и тенденция к существенному улучшению на протяжении последних лет не наблюдается. Однако ценные свойства озона как химического реагента требуют его производства в больших масштабах. Имеются промышленные установки, производящие по 200 - 500 кг озона в час. Обычно они составляются из отдельных генераторов, соединенных параллельно.

Для достижения лучших результатов перед синтезом необходима предварительная очистка кислорода или воздуха от примесей. Согласно [14] следует, что H2О и H2 могут оказывать заметное отрицательное действие, снижая выход озона, будучи добавлены в малых количествах. Это вынуждает прибегать к осушке кислорода и воздуха до точки росы -45 °С и ниже. В то же время азот, аргон, N2, СО и др. могут присутствовать в заметных количествах, не ухудшая, а в ряде случаев даже повышая выход озона на 1 квт·ч. Последнее объясняется участием этих соединений в промежуточных реакциях (например, в передаче энергии возбуждения О3* + М → О3) с большей эффективностью, чем кислород.

Одновременно с образованием озона в генераторе происходит и его частичное разрушение. Поэтому увеличение скорости подачи газовой смеси при прочих равных условиях увеличивает выход озона, одновременно понижая его концентрацию в смеси. В то же время обычно стремятся использовать в синтезах озон как можно более высокой концентрации, чтобы уменьшить габариты аппаратуры и унос реагирующих веществ и растворителей. Экономика процесса обычно определяется оптимальными соотношениями затрат на обе стадии.

Несколько иные требования, по сравнению с промышленными генераторами озона, предъявляются к лабораторным генераторам озона. КПД генератора в этом случае уже не играет заметной роли, на первый план выступают простота обслуживания, компактность и портативность, стабильность характеристик. Пока не создана конструкция озонатора, отвечающая всему комплексу требований, предъявляемых к генератору озона. В последние годы имеется тенденция отказа от традиционных трубок Бертло и создания металлических генераторов с одним диэлектрическим барьером [9, 10, 15].

При исследовании механизма химических реакций с участием озона и особенно кинетики этих реакций удобнее работать с малыми концентрациями озона. При этом особые требования предъявляются к поддержанию стабильной концентрации озона в газовом потоке в течение длительного времени. Зависимость концентрации озона от напряжения на электродах в области низких концентраций озона обычно представляется в виде прямой линии, пересекающей ось абсцисс. Более детальное исследование показало, что вольтамперные характеристики этого участка для большинства реальных озонаторов несколько иные. В области точки перегиба они описываются экспоненциальной зависимостью

3] = A exp BV

где А и В - постоянные, характерные для данной конструкции озонатора. При дальнейшем понижении напряжения наблюдается нестабильный разряд, в котором концентрация озона изменяется случайным образом. Если электрические характеристики генератора остаются постоянными во времени (например, качество диэлектрика, величины разрядных промежутков и т.п.), то количество образующегося озона является довольно строгой функцией от приложенного напряжения. При постоянных напряжениях на электродах и скоростях газового потока концентрация озона обычно не меняется в течение длительных отрезков времени [9].

Учитывая вышесказанное, при создании озонохемилюминесцентного анализатора ХПК для использования в качестве генератора озона можно рекомендовать трубчатый озонатор барьерного разряда как обеспечивающий удовлетворительную производительность и стабильность. Предполагаемые условия озонохемилюминесцентного анализа не требуют концентрации озона в озоновоздушной смеси более 2 - 3 объемн. %, поэтому для образования озона нет необходимости применять кислород, достаточно использовать воздух. Чтобы реализовать лучшую точность и Воспроизводимость озонохемилюминесцентного определения ХПК необходимо обеспечить более стабильное поступление окислителя в озонолитический реактор анализатора.

1.4.3 Методы для измерения суммарного озона

.4.3.1 Квазимонохроматический метод

В настоящее время основным методом измерения концентрации озона в атмосфере является квазимонохроматический метод. Он основан на свойстве озона поглощать излучение в некоторых участках спектра. Впервые квазимонохроматический метод измерения озона разработали Фабри и Бюиссон в 1921 г. В 1926 г. этот метод был видоизменен и усовершенствован Добсоном и Харрисоном и в 1957г.- Добсоном.

Для измерения концентрации озона в атмосфере с земной поверхности обычно используются длины волн 290-370 нм, причем выбор их определяется тем, что излучение на этих длинах волн неполностью поглощается в атмосфере и достигает поверхности земли. В качестве источников света используются Солнце и в редких случаях Луна и некоторые яркие звезды. Для приближенного измерения озона используется рассеянное излучение от участка неба в зените.

Свет от внеземного источника, проходя через атмосферу, в области l=290…370 нм ослабляется вследствие: а) поглощения атмосферным озоном; б) рассеяния молекулами воздуха; в) рассеяния и поглощения аэрозолем; г) поглощения некоторыми газовыми составляющими атмосферы (в основном сернистым газом и двуокисью азота). Другие составные части воздуха (кислород, азот, водяной пар, углекислый газ и пр.) поглощают свет в этом участке спектра в ничтожно малой степени[16].

1.4.3.2 Аналитический метод

Принципиальная схема химического метода определения абсолютной концентрации озона выглядит так: через раствор йодистого калия пропускается озоновоздушная смесь. Образовавшийся йод титруется тиосульфатом натрия. По количеству израсходованного титранта (а, следовательно, по количеству образовавшегося йода) и объему пропущенной озоновоздушной смеси можно судить о концентрации озона. Метод не годится для малых концентраций озона. [17]

1.4.3.3 Иониизационный метод

В озоновоздушную смесь помещается сенсор, представляющий собой спираль, изготовленную из платиновой нити, поверхность которой покрыта активным слоем (LaB6). При нагревании сенсорного элемента до определенной температуры происходит сублимация активного слоя, и возникает ионизационный ток пропорциональный концентрации озона. Доказано, что ионизационный ток может служить количественной мерой концентрации озона. Метод позволяет определять концентрацию озона в диапазоне 5*103-1*10-1 [18].

1.4.4 Методы регистрации озонохемилюминесценции

Для регистрации слабых световых потоков чаще всего используют фотоэлектронные умножители (ФЭУ). Они представляют собой вакуумные фотоэлементы, в которых фототок многократно усиливается за счет вторичных электронов. Фотоны света, попадая на фотокатод ФЭУ, в результате фотоэффекта выбивают электроны. Под действием внешнего электрического поля электроны направляются на диноды ФЭУ, где происходит вторичная электронная эмиссия, в результате которой на анод ФЭУ приходит в десятки и сотни тысяч раз большее количество электронов. Таким образом, рождается электрический импульс, который затем регистрируется соответствующими электронными схемами. Между интенсивностью светового потока, воздействующего на фотокатод, и фототоком в широком интервале значений наблюдается линейная зависимость. Длинноволновая граница спектральной чувствительности фотокатода определяется работой выхода электронов из материала катода.

Основные параметры ФЭУ, по данным [19, 20]:

-                световая анодная чувствительность (отношение анодного фототока к вызывающему его световому потоку при номинальных потенциалах электродов) составляет 1 - 10000 А/лм;

                 спектральная чувствительность находится обычно в диапазоне 200 - 1200 нм (чувствительность в ультрафиолетовой области спектра определяется характеристиками входного окна ФЭУ, а в ближней инфракрасной области - красной границей фотоэффекта);

—        усиление динодной системы ФЭУ лежит, как правило, в пределах одной тысячи - ста миллионов;

—      темновой ток (ток в анодной цепи в отсутствие светового потока) не превышает 0,1 - 1 нА.

Для измерения интенсивности излучения также возможно использование таких элементов, как фотодиоды, лавинные фотодиоды и фототранзисторы, основанных на внутреннем фотоэффекте. При внутреннем фотоэффекте - в отличие от внешнего - оптически возбужденные электроны остаются внутри освещенного тела, нейтральность которого не нарушается.

Действие фотодиода основано на поглощении света вблизи области полупроводникового перехода, в результате чего генерируются новые носители заряда (электронно-дырочные пары). Эффективное поглощение света происходит на границе раздела областей с противоположными типами проводимости одного и того же полупроводника, вблизи контакта двух различных полупроводников (фотодиод с гетеропереходом) или металла и полупроводников (поверхностно-барьерный фотодиод, или фотодиод с барьером Шотки). Наиболее распространенным типом фотодиодов является p-i-n-диод, в котором толщина высокоомной i-области выбирается такой, чтобы обеспечивать оптимальную чувствительность и быстродействие прибора.

В фототранзисторе управление коллекторным током осуществляется на основе внутреннего фотоэффекта; служит для преобразования световых сигналов в электрические с одновременным усилением последних. Основу фототранзистора составляет монокристалл полупроводника со структурой p-n-p или n-p-n-типа. При попадании излучения на базу (или коллектор) в ней образуются парные носители зарядов (электроны и дырки), которые разделяются электрическим полем коллекторного перехода. В результате в базовой области накапливаются основные носители заряда, что приводит к снижению потенциального барьера эмиттерного перехода и увеличению тока через фототранзистор по сравнению с током, обусловленным переносом только тех носителей, которые образовались непосредственно под действием света.[21,22]

1.5 Постановка задачи исследования в области совершенствования метода и в области его проверки в условиях сложных гидросистем

В связи с нарастающими темпами загрязнения поверхностных и подземных вод органическими соединениями и, как следствие - ухудшение качества источников водопотребления, возникла необходимость оперативного контроля загрязненности вод.

Исследования мешающих факторов озонохемилюминесцентного метода произведенные СПб НИЦЭБ РАН в период 1998-2001 гг. проводились по следующим направлениям: исследования влияния рН воды, мутности, солевого фона, поверхностноактивных веществ. Исследования проводились как на модельных растворах, так и на реальных объектах, В качестве реальных объектов были выбраны реки Нева. Карповка, Оккервиль, Фонтанка и водопроводная вода в весенний период.

Исходя из этого, задача дальнейшего исследования озонохемилюминесцентного метода была сформулирована следующим образом:

·   исследовать метрологические характеристики системы контроля ХПК озонохемилюминесцентным методом;

·   провести исследования зависимости интенсивности озонохемилюминесценции от температурного режима;

- исследовать зависимость интенсивности озонохемилюминесценции от динамических характеристик проточной системы;

провести исследования применимости нового анализатора к водам реального объекта (озера) в период ледостава.

2.Исследование метода озонохемилюминесцентного контроля ХПК в лабораторных условиях.

.1.1 Исследование зависимости интенсивности озонохемилюминесценции от температурного режима

Для постановки эксперимента была собрана установка, схематически показанная на рис. 3. В состав установки вошел термостат марки U-1, обеспечивающий стабильность температуры с точностью 0,10 С, перистальтические насосы (ELPAN peristaltic pump, type 327C), озонатор, самописец РП 160. В качестве пробы была взята водопроводная вода, отобранная в двадцатилитровую бутыль, после 60-ти минутного пропускания воды из крана, чтобы исключить эффекты загрязнения неполной промывки трубопроводных систем. Перед началом измерений через систему прокачивалась дистиллированная вода с целью достижения фонового уровня сигнала. В течение эксперимента температура повышалась от 100 С до 800 С со скоростью 10С в минуту. Измерения производились через пять и десять градусов. Всего произведено пять серий измерений. Результаты экспериментов и соответствующие графики приведены на рис. 2 и в таблице 3

Зависимость интенсивности озонохемилюминесценции от температуры пробы. Интенсивность озонохемилюминесценции в усл. ед.

Таблица 3

Температура С0

Проба 1

Проба 2

Проба 3

Проба 4

Проба 5

10

-

385




15

-

-

408

400

-

20

376

400

414

415

320

25

-

-

420

420

325

30

414

414

428

435

325

35

-

-

442

450

340

40

420

428

445

460

350

45

-

-

456

470

360

50

428

456

472

485

370

55

435

-

475

495

385

60

456

472

485

500

390

65

472

-

500

515

395

70

500

500

514

530

400

75

514

-

515

540

400

80

520

509

-

540

400


Рис. 2а Зависимость интенсивности озонохемилюминесценции от температуры пробы.

Рис. 2б Зависимость интенсивности озонохемилюминесценции от температуры пробы.

Рис. 2в Зависимость интенсивности озонохемилюминесценции от температуры пробы.

Рис. 2г Зависимость интенсивности озонохемилюминесценции от температуры пробы.

Рис. 2д Зависимость интенсивности озонохемилюминесценции от температуры пробы.

Схема.

Исследование зависимости озонохемилюминесценции от температуры серии проб воды, поступившей в реактор, выявило, что при повышении температуры от 100 до 800 С интенсивность озонохемилюминесценции возрастает на 25%.

1. В температурном диапазоне, характерном для реального использования анализаторов в судовых и стационарных лабораториях (+100…+350 С) интенсивность озонохемилюминесценции в зависимости от температуры потока пробы изменяется в пределах ±6% от ее среднего значения в данном температурном диапазоне.

2. С учетом того, что метод определения органических соединений по стандарту ISO 6060 (бихроматное окисление) имеет погрешность ±40%, можно считать, что при создании недорогих приборов для замещения приборов по методу ISO 6060 можно пренебречь. При создании прецизионных анализаторов представляется целесобразным либо компенсировать температурную зависимость электронным способом, либо обеспечить термостатирование потока пробы и реактора.

2.2.1 Исследование зависимости интенсивности озонохемилюминесценции от динамических характеристик проточной системы

Для постановки эксперимента была использована установка, использовавшаяся для исследования зависимости интенсивности озонохемилюминесценции от температурного режима. Установка изображена на рис. 3. В качестве пробы была взята водопроводная вода после 60-ти минутного пропускания воды из крана. Перед началом эксперимента через систему прокачивалась дистиллированная вода с целью достижения фонового уровня сигнала. В течение эксперимента изменялись параметры подачи озоновоздушной смеси и параметры подачи анализируемой жидкости. Параметры менялись дискретно, соответственно делениям на переключателях насосов. Зависимость интенсивности озонохемилюминесценции от объема подачи пробы изучалась при разных режимах подачи озоновоздушной смеси. Результаты экспериментов и соответственные графики приведены на рис. 4 и 5, и в таблицах 4 и 5.

Результаты измерения зависимости интенсивности озонохемилюминесценции от объема подачи озоновоздушной смеси.

Таблица 4. Интенсивность озонохемилюминесценции в усл.ед.

Подача воздуха в озонатор см3/мин

Проба 1

Проба2

Проба 3

54

395

400

395

108

385

385

380

162

370

370

370

216

352

365

365

270

345

340

345

324

295

285

298


Результаты измерения зависимости интенсивности озонохемилюминесценции от объема подачи анализируемой воды при разных режимах подачи озоновоздушной смеси.

Таблица 5. Интенсивность озонохемилюминесценции в усл.ед.

Объем подачи пробы см3/мин

Проба 1 (смесь 60 см3/мин)

Проба 2 (смесь 40 см3/мин)

Проба 3 (смесь 10 см3/мин)

114

70

85

80

152

70

85

85

202

85

95

90

268

100

100

105

360

120

130

120

640

185

190

170

1140

270

270

250

2020

400

370

-


Рис.4 Зависимость интенсивности озонохемилюминесценции от объема подачи озоновоздушной смеси.

Рис.5 Зависимость интенсивности озонохемилюминесценции от объема подачи анализируемой воды при разных режимах подачи озоновоздушной смеси.

Зависимость интенсивности озонохемилюминесценции от объемной подачи озоновоздушной смеси в реактор имеет тенденцию к насыщению, при этом при шестикратном увеличении подачи озоновоздушной смеси (от 54 см3/мин до 324 см3/мин), озонохемилюминесценция возрастает на 30%. Исходя из характера кривой (рис.5) для дальнейших исследований рекомендуется объемная подача воздуха порядка 270…324 см3/мин, поскольку в этом диапазоне не только выше интенсивность сигнала, но и меньше его зависимость от объемной подачи.

1.    Зависимость интенсивности озонохемилюминесценции от объемной подачи пробы в реактор приближается к линейной. Максимальная интенсивность озонохемилюминесценции в диапазоне условий, определенных возможностями экспериментальной установки наблюдается при объемной подаче 2020 см3/мин. Для повышения точности характеристик системы определения озонохемилюминесценции можно рекомендовать насосы подачи пробы с высокими точностными характеристиками при режиме подачи пробы не менее 2020см3/мин.

2.3 Исследование метрологических характеристик системы контроля ХПК озонохемилюминесцентным методом

С целью корректного нахождения регрессионной связи между ОХЛ и стандартными методами определения ХПК был поставлен лабораторный эксперимент с участием Центра исследования качества вод (ЦИКВ) и ГУП «Водоканал Санкт-Петербурга». «Водоканал Санкт-Петербурга» предоставил аликвоты проб природной и питьевой воды. При проведении эксперимента по изучению функциональной зависимости бихроматной окисляемости водных проб от фототока хемилюминесценции при окислении озоном, было, проведено пять серий измерений значений интенсивности ОХЛ проб природной и питьевой воды с известным значением ХПК, измеренным в лаборатории ЦИКВ бихроматным методом. Лаборатория ЦИКВ аттестована и сертифицирована на проведение измерений ХПК арбитражным бихроматным методом. В результате получили следующие таблицы значений (табл. 6 - 10).

При записи места отбора пробы использованы следующие сокращения:

ВВС - Волковская водопроводная станция

СВС - Северная водопроводная станция

ПВС - Петроградская водопроводная станция

ГВС - Главная водопроводная станция

Экспериментальные данные по серии проб №1

Таблица 6

Номер Пробы

Место пробоотбора

Фототок ХЛ озонолиза, мкА

ХПК, мгО2

1

В В С - НЕВА

2,56

17,3

2

В В С - 2

1,50

12,5

3

В В С - 3

1,34

11,1

4

Ю В С - НЕВА

2,41

19,5

5

Ю В С - 2

0,97

10,5

6

Ю В С - 3

1,66

15,5

7

Ю В С - 4

1,53

16,0

8

Ю В С - 5

1,36

11,1

9

С В С - НЕВА

2,38

18,5

10

С В С - 1

1,81

14,8

11

С В С - 2

1,78

13,4

12

П В С - НЕВА

2,28

20,1

13

П В С - 1

1,69

15,4

14

Г В С - НЕВА

2,19

19,5

15

Г В С - 4

1,38

14,3

16

Г В С - 7

1,45

14,4

17

Г В С - 8

1,30

12,8


Таблица 7

Номер пробы

Место пробоотбора

Фототок ХЛ озонолиза, мкА

ХПК, мгО2

1

В В С - НЕВА

2,55

19,9

2

В В С - 3

1,23

13,4

3

Ю В С - НЕВА

2,34

20,9

4

Ю В С - 2

0,89

14,9

5

Ю В С - 3

1,50

13,2

6

Ю В С - 4

1,47

17,2

7

Ю В С - 5

1,28

14,5

8

С В С - НЕВА

2,13

21,0

9

С В С - 1

1,64

18,0

10

С В С - 2

1,69

15,9

11

П В С - НЕВА

2,06

19,8

12

П В С - 1

1,63

16,7

13

Г В С - НЕВА

2,06

18,2

14

Г В С - 4

1,28

9,7

15

Г В С - 7

1,34

13,5

16

Г В С - 8

1,23

12,7


Экспериментальные данные по серии проб №3

Таблица 8

Номер пробыМесто пробоотбораФототок ХЛ озонолиза, мкАХПК, мгО2




1

П В С - НЕВА

2,03

18,3

2

П В С - 1

1,61

12,5

3

С В С - НЕВА

2,05

18,8

4

С В С - 1

1,59

14,9

5

С В С - 2

1,63

15,6

6

Г В С - НЕВА

2,09

18,2

7

Г В С - 4

1,33

11,6

8

Г В С - 6

1,42

11,6

9

Г В С - 7

1,45

12,1

10

Г В С - 8

1,36

11,5

11

Ю В С - НЕВА

2,25

17,6

12

Ю В С - 2

0,86

11,1

13

Ю В С - 3

1,67

14,9

14

Ю В С - 4

1,53

11,8

15

Ю В С - 5

1,28

12,3

16

В В С - НЕВА

2,39

19,9


Экспериментальные данные по серии проб №4

Таблица 9

Номер пробыМесто пробоотбораФототок ХЛ озонолиза, мкАХПК, мгО2




1

Г В С - НЕВА

2,38

18,9

2

Г В С - 4

1,58

11,6

3

Г В С - 6

1,61

13,2

4

Г В С - 7

1,62

15,2

5

Г В С - 8

1,44

12,2

6

П В С - НЕВА

2,50

18,4

7

П В С - 1

1,75

14,5

8

С В С - НЕВА

2,50

17,4

9

С В С - 1

1,91

15,7

10

С В С - 2

1,89

11,4

11

Ю В С - НЕВА

2,53

21,8

12

Ю В С - 2

0,95

12,0

13

Ю В С - 3

1,75

14,3

14

Ю В С - 4

1,62

16,4

15

Ю В С - 5

1,34

13,0

16

В В С - НЕВА

2,53

20,1

17

В В С - 3

1,25

14,0


Экспериментальные данные по серии проб №5

Таблица 10

Номер пробыМесто пробоотбораФототок ХЛ озонолиза, мкАХПК, мгО2




1

Ю В С - НЕВА

2,94

22,0

2

Ю В С - 2

1,02

10,4

3

Ю В С - 3

1,67

10,7

4

Ю В С - 4

1,78

13,8

5

Ю В С - 5

1,53

12,8

6

Г В С - НЕВА

2,73

17,9

7

Г В С - 4

1,69

11,6

8

Г В С - 6

1,72

11,5

9

Г В С - 7

1,72

12,8

10

Г В С - 8

1,55

12,7

11

С В С - НЕВА

2,77

19,9

12

С В С - 1

1,88

11,5

13

С В С - 2

1,95

14,8

14

В В С - НЕВА

2,88

17,9

15

В В С - 3

1,42

13.5

16

П В С - НЕВА

2,81

17

П В С - 1

1,95

14,7

18

П В С - СЕТЬ

1,97

16,8


В связи с тем, что аналитическое выражение функции ХПК(Iхл) неизвестно или весьма сложно, возникает практически важная задача: найти эмпирическую формулу

ХПК = ХПК(Iхл)

значения которой на всем диапазоне измерений возможно мало отличались от опытных данных. В такой постановке задача весьма неопределенна; поэтому по ряду соображений необходимо указать достаточно узкий класс функций (например, множество функций линейных, степенных, показательных и т.п.), которому должна принадлежать зависимость ХПК(Iхл), и дело, таким образом, сводится к нахождению наилучших значений параметров. Геометрически задача построения эмпирической формулы состоит в проведении кривой вида ХПК = ХПК (Iхл) из некоторого класса функций, «возможно ближе» примыкающей к системе точек

Мi(Iхлi; ХПКi)

где i = 1, 2, .....,n.

Построение эмпирической формулы слагается из двух этапов:

1)       Выяснение общего вида эмпирической формулы.

2)       Определение оптимальных параметров эмпирической формулы.

)Общий вид эмпирической формулы.

Характер зависимости между данными величинами Iхл и ХПК неизвестен, поэтому вид эмпирической формулы является произвольным. Предпочтение отдается простым формулам, обладающей хорошей точностью. В связи с тем, что отсутствуют сведения о промежуточных данных. то принято предполагать, что эмпирическая функция аналитическая, без точек разрыва, и график ее плавная кривая. В данном случае класс функции определяется требованием простоты эмпирической формулы, а не подсказывается самой природой явления хемилюминесценции при окислении озоном. Учитывая вышесказанное, в качестве эмпирической выберем линейную функцию.

) Оптимальные параметры эмпирической формулы.

Для определения оптимальных параметров эмпирической формулы использовался метод наименьших квадратов - один из наиболее распространенных методов математической обработки данных. Т.к. определен вид эмпирической формулы

ХПК = f(Iхлi ; а1, а2, ...., аm)

и определено отклонение эмпирической формулы от исходных данных (Iхлi; ХПКi)

Еi = f(Iхлi; а1, а2, ...., аm) - ХПКi

то согласно методу наименьших квадратов наилучшими коэффициентами а1, а2, ......, аm считаются те, для которых сумма квадратов отклонений

S(a1, a2, ....,am) = S(f(Iхлi ; а1, а2, ...., аm) - ХПКi)2

будет минимальной. Используя необходимые условия экстремума функции нескольких переменных, получаем так называемую нормальную систему для определения коэффициентов ai (i = 1, 2, ....m)

¶ s / ¶ a1 = 0 , ¶ s / ¶ a2 = 0 ,......, ¶ s / ¶ am = 0

Если нормальная система имеет единственное решение, то оно будет искомым. Выбранная эмпирическая функция линейная, поэтому метод наименьших квадратов сводится к требованию минимальности суммы квадратов вертикальных отклонений всех n точек от прямой

S(ХПКi - аIхлi - в)2 = S(hi)2 = min

Воспользовавшись необходимым условием минимума функции двух переменных и приравняв к нулю ее частные производные по а и в, получим систему для определения параметров а и в искомой эмпирической формулы, так называемой линии регрессии:

ХПК = аIхл + в,

где а = [S(ХПКiIхлi) - SIхлiSХПКi/n]/[S(Iхлi)2 - (SIхлi)2/n]

в = (SХПКi - аSIхлi)/n,

где n - количество проб в серии.

Для того, чтобы выяснить насколько сильна связь между значениями фототока ХЛ и значениями ХПК проб и насколько велик разброс опытных данных были рассчитаны коэффициент корреляции r и дисперсия s2 для случая линейной эмпирической формулы:

r = аÖ[[S(Iхлi)2 - (SIхлi)2/n]/[S(ХПКi)2 - (SХПКi)2/n]]

s2 = [S(ХПКi)2 - вSХПКi - aS(ХПКiIхлi)]/n

Для построения линий регрессии для каждой серии эксперимента были рассчитаны точки по следующим соотношениям:

ХПК(0) = в ; Iхл = 0 ; ХПК(2,5) = 2,5а + в ; Iхл = 2,5 .

2.3.1 Обобщение результатов математической обработки экспериментальных данных

Математическая обработка экспериментальных данных осуществлялась согласно описанному выше алгоритму. По результатам сравнительных измерений ХПК и интенсивности ХЛ проб природной и питьевой воды, проведенных ЦИКВ ГУП «Водоканал Санкт-Петербурга» совместно СПб НИЦЭБ РАН можно сделать следующие выводы о коэффициентах парной корреляции и дисперсии:

Серия 1 -ХПК(0) = 4,97 ;ХПК(2,5) = 19,53;

r = 0,88 ;s2 = 1,99 .

Серия 2 -ХПК(0) = 6,53 ;ХПК(2,5) = 21,26;

r = 0,82 ;s2 = 3,27 .

Серия 3 -ХПК(0) = 2,81 ;ХПК(2,5) = 20,5;

r = 0,92 ;s2 = 1,42 .

Серия 4 -ХПК(0) = 5,67 ;ХПК(2,5) = 18,81;

r = 0,83 ;s2 = 2,85 .

Серия 5 -ХПК(0) = 4,04 ;ХПК(2,5) = 17,28;

r = 0,90 ;s2 = 2,07 .

В результате математической обработки всего массива экспериментальных данных по пробам, получены следующие значения коэффициента корреляции и дисперсии

ХПК(0) = 5,97 ;   ХПК(2,5) = 18,86;

r = 0,80 ;              s2 = 3,65 .

Значение коэффициента корреляции r для различных серий проб питьевой воды составило 0,82...0,92, что превосходит аналогичный параметр других корреляционных методов и подтверждает правильность предположения о предпочтительном использовании в корреляционных датчиках наиболее близкого окислительного механизма (озонолитического).

Значения ХПК всех проанализированных проб находились в диапазоне 9,8 - 22,0 мгО2/л. В полном массиве данных при объеме выборки 84 пробы коэффициент корреляции r был равен 0,8 при дисперсии s2 = 3,65, что позволяет калибровать и градуировать озонохемилюминесцентный анализатор ХПК природных вод в единицах измерения окисляемости - мгО2/л.

3. Исследование системы Суздальских озер с помощью ознохемилюминесцентного метода определения ОС

.1 Описание объектов и методики исследования

В качестве реального объекта была выбрана система Суздальских озер. Система содержит три озера: Верхнее, Среднее и Нижнее. Нижнее и Среднее озера соединены каналом. Верхнее озеро изолировано. Суммарная площадь водосбора системы составляет около 3791 га. Объем воды в трех озерах 4,8*106 м3. Площадь зеркала у Верхнего, Среднего и Нижнего озер 22.15 и 97 га соответственно[23].

Пробы отбирались в период с 5 октября 2001 г. по 14 ноября 2001 г. В этот период происходит резкое уменьшение продуктивности фито- и зоопланктона, в связи с охлаждением воды, просветление воды из за выпадения органической взвеси на дно. В связи с осенними дождями резко возрастает сток с берегов. Так же, в этот период произошло окончательное замерзание водоемов.

Отбор проб производился в соответствии со стандартами ИСО 5667-4 и ИСО 5667-6. Наиболее репрезентативные точки для отбора проб были рекомендованы гидрологами СПб НИЦЭБ РАН:

точка 1-точка в устье реки Хорошиловка, впадающей в Нижнее Суздальское озеро;

точка 2-точка на поросшей камышом отмели;

точка 3-точка возле Шуваловского кладбища;

точка 4-точка в канале, соединяющем Среднее и Нижнее озера;

точка 5-точка на Среднем озере;

точка 6-точка на Верхнем озере.

Перед началом эксперимента через проточную систему установки прокачивалась дистиллированная вода для определения фонового уровня сигнала. В ходе эксперимента, измерения по каждой пробе производились трижды. Результаты измерений фиксировались на электронном табло прибора, а также на бумажной ленте самописца.

Результаты экспериментов, а также соответствующие графики приведены на рис. 6 - 7 и в таблице 6.

Рис. 6 Система Суздальских озер

Таблица 6

№ эксперимента

1

2*

3

4

5**

6

7

8***

9

10****

Сутки эксперимента

1

2

4

5

10

11

15

16

22

23

Число

22.10

23.10

25.10

26.10

31.10

01.11

05.11

06.11

12.11

14.11

№ точки

Значения напряжения mV

Точка 1*****

1

1863

2004

1570

1908

1900

640

440

636

524

344


2

1892

2028

1632

1957

1892

610

440

620

528

358


3

2106

1912

1610

2005

1744

634

440

620

500

346

Точка 2*****

1

416

331

144

225

1056

686

768

716

652

-


2

435

305

165

238

1052

706

740

716

618

-


3

431

330

175

232

1120

676

736

684

625

-

Точка 3

1

2992

3064

2360

2078

1860

888

748

840

500

466


2

3000

3022

2408

2010

1770

860

750

830

480

448


3

3012

2820

2280

2078

1696

846

758

798

470

436

Точка 4

1

860

810

746

670

634

300

272

260

184

158


2

852

794

734

656

650

316

284

234

152

140


3

836

768

706

650

656

-

300

240

170

154

Точка 5

1

744

648

564

500

464

-

262

232

170

138


2

732

630

552

488

450

-

252

228

172

112


3

712

621

544

470

434

-

250

226

172

116

Точка 6

1

732

590

520

442

398

-

248

244

182

150


2

720

576

512

432

386

-

270

248

186

164


3

620

579

506

424

390

-

268

242

182

164


* - первый лед

** - таяние первого льда

*** - повторное замерзание воды

**** - окончательное замерзание озер

***** - из-за содержания крупной взвеси пробы фильтровались через стеклянный фильтр

Рис. 7а Изменение загрязненности органическим веществом вод Верхнего и Среднего Суздальских озер в период ледостава

Стрелка указывает день окончательного замерзания озер

Рис. 7б Изменение загрязненности органическим веществом участка акватории Нижнего озера в период ледостава

Стрелка указывает день окончательного замерзания озер

Рис. 7в Изменение загрязненности органическим веществом вод входов в Нижнее озеро с севера и с юга в период ледостава

Стрелка указывает день окончательного замерзания озер

1. Наиболее загрязненным озером в системе Суздальских озер является Нижнее озеро. Вероятно из-за большого количества источников загрязнения, расположенных по берегам (жилые дома, хозяйственные постройки, железная дорога). Так же, судя по результатам измерения в точке 1, источником загрязнения северной части акватории Нижнего озера является речка Хорошиловка.

2. На мелководье у восточного берега Нижнего озера наблюдается зона минимальной загрязненности воды, что можно объяснить активными процессами биоочистки, которые с понижением температуры постепенно затухают.

3. В Нижнем озере в точках максимальной загрязненности (1 и 3) и в точке минимальной загрязненности (2) наблюдается резкое изменение общего содержания органических веществ в воде сразу после таяния первого льда на 11 день эксперимента. В точках 1 и 3 содержание органики резко уменьшилось, что может быть объяснено снижением биологической активности планктона и, соответственно снижением содержания биогенной органики. В точке 2 до этого момента наблюдался эффект ослабления биоочистки и рост загрязненности, затем менее выраженный ее спад, вероятно обусловленный угнетением биопланктона. После этого характер динамики в чистых и более загрязненных зонах стал практически одинаковым.

4. Во всех случаях период 10…12 дней перед окончательным установлением ледового покрова характеризуется плавным спадом содержания органики в системе озер независимо от того, соединены озера или изолированы, то есть, скорее всего, он отражает характер связанных с понижением температуры, биологических процессов в воде.

4. Экономическое обоснование дипломной работы

В 1998 г. в СП б НИЦЭБ РАН начались исследования нового метода озонохемилюминесцентного контроля химического потребления кислорода, позволяющего судить о содержании органических соединений в воде. В ходе исследования была на практике доказана возможность создания на основе метода автоматической системы контроля органики. Был создан прибор ХПК-3. Экспериментальные исследования мешающих факторов озонохемилюминесцентного метода в СП б НИЦЭБ РАН проводились по следующим направлениям: влияние рН воды, поверхностно-активных веществ, солевого фона, мутности. В рамках данной дипломной работы проводится дальнейшая НИР по методу. Исследуется влияние температуры на интенсивность озонохемилюминесценции, влияние динамических характеристик проточной системы. Так же при помощи прибора ХПК-3 были получены данные о содержании органики в реальном объекте - системе Суздальских озер. Поскольку дипломная работа ориентирована на проведение исследования, то в качестве экономического обоснования исследования приводится расчет затрат на НИР. Расчет выполняется в следующей последовательности.

4.1 Расчет трудоемкости

На основе структуры НИР формируется комплекс работ, которые необходимо выполнить для получения результатов исследований. По рекомендациям специалистов СП б НИЦЭБ РАН для решения задачи исследования озонохемилюминесцентного метода необходимо выполнить следующие этапы:

.Составление и утверждение технического задания (ТЗ) на НИР;

. Изучение ТЗ;

. Составление методики эксперимента;

. Изучение методики эксперимента;

. Сборка экспериментальной установки;

. Отбор проб;

. Проведение эксперимента №1 - исследование реального объекта;

. Проведение эксперимента №2 - исследование зависимости интенсивности озонохемилюминесценции от температуры;

. Проведение эксперимента №3 - исследование метрологических характеристик прибора ХПК-3;

. Проведение эксперимента №4 - исследование динамических характеристик проточной системы;

. Обработка и систематизация полученных результатов;

. Интерпретация и анализ полученных данных.

Этапы 1, 2 , 11 и 12 являются общими для любой НИР. Этапы 3 - 10 характерны только для данного исследования.

Для выполнения работ требуются специалисты следующей квалификации: лаборант, старший научный сотрудник.

Приведенный выше перечень работ позволяет перейти к расчетам трудоемкости исследования. Для получения данных о трудоемкости и продолжительности выбран экспертный метод, суть которого заключается в опросе компетентных специалистов. После опроса специалистов СПб НИЦЭБ РАН ожидаемое время выполнения, вычисляется по методу трех оценок, согласно выражению:

tож=(а+4н.в.+b) ,

где tож - ожидаемое время выполнения работы, а - оптимистический прогноз, н.в. - наиболее вероятное время выполнения работы; b - пессимистический прогноз. Результаты расчетов приведем в таблице 7.

Таблица 7. Результаты экспертного опроса

Этапы работ

Исполнитель

Трудоемкость чел.-дн.

Численность Чел

1.

Составление и утверждение ТЗ на НИР

Научн. сотр.

5

1

2.

Изучение ТЗ

Лаборант

2

1

3.

Составление методики

Научн. сотр.

4

1

4.

Изучение методики

Лаборант

2

1

5.

Сборка установки

Лаборант

1

1

6.

Отбор проб

Лаборант

10

1

7.

Эксперимент №1

Лаборант

10

1

8.

Эксперимент №2

Лаборант

5

1

9.

Эксперимент №3

Лаборант

6

1

10

Эксперимент №4

Лаборант

2

1

11.

Обработка результатов

Лаборант

3

1

12.

Анализ данных

Науч. сотр.

5

1


По данным таблицы строится ленточный график. В графике отображаются данные о количестве занятых специалистов, их квалификации, длительности каждого этапа работ и данные о том, в какой последовательности необходимо их выполнять. Продолжительность каждого из этапов работ обозначается количеством закрашенных ячеек таблицы, которые помещаются напротив названия этапа. Ленточный график приведен в табл.8.

4.2 Расчет расходов на оплату труда

Для выполнения работ и экспериментов необходимых для исследования озонохемилюминесцентного метода требуются специалисты следующей квалификации: лаборант, старший научный сотрудник. По данным бухгалтерии СПб НИЦЭБ РАН размеры заработной платы этих специалистов находятся в следующих пределах: зарплата лаборанта 800 -970 руб., зарплата старшего научного сотрудника 1600 - 1850 руб. Для дальнейших расчетов примем среднюю зарплату лаборанта равной 900 руб., среднюю зарплату старшего научного сотрудника равной 1780 руб.

Заработная плата исполнителей расчитывается по формуле :

Сзп = Трр + Тл л ,

где Тр и Тл - соответственно, трудоемкость выполнения работ по реализации данного исследования руководителем и лаборантом чел.-дн. Эти данные приведены в ленточном графике.

Тр = 14 чел.- дн.; Тл = 41 чел.-дн.

Др и Дл - дневные ставки руководителя и лаборанта. Средняя заработная плата за один рабочий день составляет (при 22-х дневном рабочем месяце):

Д(дн)р = 1780/22 = 81 руб/дн;

Д(дн)л = 900/22 = 41 руб/дн.

Суммарная зарплата исполнителей Сзп равна:

Сзп = 14*81 + 41*41 = 2850 руб.

Отчисления на социальные нужды Ссн рассчитываются исходя из специфики производимой работы и ставки единого социального налога. По данным бухгалтерии СПб НИЦЭБ РАН для данного вида работ ставка составляет 35,6 %.

Ссн = 1160 руб.

Таким образом, затраты на оплату труда для выполнния НИР составляют 4010 руб.

4.3 Расчет затрат по работам выплняемым сторонними организациями

На статью «Затраты по работам, выполняемым сторонними организациями» относят затраты по оплате всех видов работ, выполняемые непосредственно для конкретной НИР сторонними организациями, в том числе по изготовлению опытных образцов и макетов, аренда оборудования и ЭВМ и т.д.

Специфика производимых исследований предполагает, что для выполнения поставленной задачи требуется следующий пееречень оборудования: три перистальтических насоса, озонатор, самописец, прибор для контроля органики в воде ХПК-3, термостат, дистиллятор, компьютер оборудованный операционной системой Windows 98 и стандартным пакетом программных приложений Microsoft Office, матричный принтер. А так же расходные материалы: лента для самописца, картридж для принтера, канцелярские принадлежности.

Для проведения исследовательской работы требуется арендовать лабораторное помещение площадью 20 м2, оборудованное вытяжным шкафом, водопроводом, электрическими розетками и пожарной сигнализацией. В СПб НИЦЭБ РАН стоимость аренды помещения с вышеперечисленными характеристиками на срок, необходимый для проведения НИР по исследования озонохемилюминесцентного метода, составляет 600 руб. за м2 . В стоимость аренды входят: лабораторная посуда, столы, электроэнергия, уборка помещения. Таким образом, стоимость аренды лабораторного помещения на период НИР составляет 12000 руб.

Данные о покупной и арендной стоимости материалов и оборудования сведены в таблицу. Данные о покупной стоимости взяты из прайс-листов фирмы «Экрос», торгующей лабораторным оборудованием. Данные об арендной стоимости получены в СПб НИЦЭБ РАН.

Таблица 9. Покупная и арендная стоимость необходимых материалов и оборудования

Наименование

Кол-во

Стоимость аренды ,руб.

Стоимость покупки, руб.

1

Перистальтический насос

3

6000

24000

2

Озонатор

1

1000

3500

3

Самописец

1

800

2000

4

Термостат

1

1500

5000

5

Дистиллятор

1

500

3000

6

Компьютер с необходимым программным обеспечением

 1

 1500

 7500

7

Принтер

1

800

1500

8

Лента для самописца

1

100

100

9

Картридж для принтера

1

150

150

10

Канцелярские принадлежности

1

200

200

11

ИТОГО:


12700

47000


Из соображений экономии средств все необходимое оборудование будет арендовано. Стоимость аренды лабораторного помещения и необходимого оборудования с расходными материалами составит 24700 руб.

4.4 Смета затрат на НИР

Таблица 10. Исходя из проведенных расчетов составим смету затрат на НИР. Смета затрат приведена в таблице 10:

№ п./п

Наименование статьи

Сумма тыс. руб.

1

Материалы

0,5

2

Спецоборудование

-

3

Расходы на оплату труда

2.85

4

Отчисления на социальные нужды

1.16

5

Затраты по работам выполняемым сторонними организациями

24,7

6

Командировочные расходы

0,2

7

Прочие прямые расходы

-

8

Накладные расходы

-


Себестоимость НИР

30


В результате выполненных расчетов делается вывод о том, что :

Себестоимость НИР составит 30 тыс.руб.

Длительность НИР составит 45 раб.дн.

Таблица

Таблица

5.Безопасность трудовой деятельности

Исследования озонохемилюминесцентного метода контроля органических соединений в воде, проводящиеся в дипломной работе, производились при помощи прибора ХПК-3, созданного в СПб НИЦЭБ РАН в лаборатории ГМКОС, а также при помощи экспериментальной установки, включающей в себя фотоэлектрический умножитель, озонатор, перистальтические насосы (ELPAN peristaltic pump, type 372C) и самописца РП 160.

В процессе исследовательской работы при эксплуатации приборов могут возникать следующие опасные факторы:

·   возможность поражения электрическим током при неосторожном обращении с приборами;

·   возможность превышения лредельно-допустимой концентрации озона при отсутствии вентиляции или средств поглощения озона;

·   пожароопасность электрооборудования.

Научно-исследовательскую работу (НИР) по исследованию озонохемилюминесцентного метода при помощи вышеперечисленных приборов и установок необходимо выполнять в следующих условиях:

1. Общие требования к воздуху рабочей зоны.

НИР в лаборатории можно отнести к категории легких работ (1а) проводимых в холодное время года (октябрь 2001 г. - январь 2002 г.). В соответствии с ГОСТ 12.1.005 - 88 «Общие санитарно - гигиенические требования к воздуху рабочей зоны» [24] для данной категории работ предусмотрены следующие требования: температура воздуха 220-240С, влажность 40 - 60 %. Во время проведения НИР из-за плохой теплоизоляции лаборатории температура воздуха в помещении не достигала требуемого значения, и требовалась установка дополнительных обогревательных электроприборов.

При работе озонатора в помещении через некоторое время возникал резкий запах озона. Из-за отсутствия технических средств для измерения концентрации озона и паспортных данных озонатора измерить достигаемую концентрацию было невозможно. В соответствии с ГОСТ 12.1.005 - 88 , концентрация озона в воздухе не должна превышать 0,1 мг/м3 , для чего, прибор должен быть установлен в вытяжной шкаф, а в помещении обеспечить хорошую вентиляцию с кратностью воздухообмена не менее 3.

2. Электробезопасность

Прибор ХПК-3 не имеет органов управления и в процессе работы не требует обслуживания. Прибор получает питание от электросети U=220 В, f=50 гц. В соответствии с ГОСТ 12.1.019 - 79 «Электробезопасность. Общие положения» [25] электрические выводы проводов питания заизолированы. Недоступность токоведущих частей расположенных внутри прибора обеспечивается непроводящим электричество пластмассовым корпусом. Необходимый для функционирования прибора подсос воздуха, осуществляемый компрессором, происходит через специальный штуцер, соединенный с емкостью, наполненной осушающим силикогелем, который по мере выработки меняет свой цвет (с бледно - голубого на розовый). Для избежания попадания влажного воздуха внутрь прибора и появления возможности возникновения росы на токоведущих элементах с последующим коротким замыканием, предусмотрена емкость с силикогелем, который следует своевременно заменять.

Приборы, входящие в экспериментальную установку, являются серийными и функционируют в условиях соответствующих паспортным. Металлические корпуса занулены при помощи штатных устройств.

3. Шумовое воздействие

Во время эксперимента возникает шумовое воздействие, связанное с функционированием отдельных блоков экспериментальной установки - шум озонатора, гудение перистальтических насосов. НИР по исследованию озонохемилюминесцентного метода относится к категории измерительных и аналитических работ проводимых в лаборатории. По

ГОСТ 12.1.003 - 83 «Шум. Общие требования безопасности» [26] для данного вида работ устанавливаются следующие параметры:

Уровни звукового давления дБ, в октавных полосах со среднегеометрическими частотами Гц

Таблица

Гц

31,5

63

125

250

500

1000

2000

4000

8000

дБ

95

79

70

63

58

55

52

50

49


Из-за отсутствия технических средств измерить уровень звукового давления не представлялось возможным, но по субъективным ощущениям шум, производимый экспериментальной установкой, не причинял раздражающего воздействия и поэтому, выполнение мероприятий по шумобезопасности не требуется.

1. Пожаробезопасность

Данных о пожаробезопасности прибора ХПК-3 нет. Резисторы на которых происходит основное выделение тепла, вынесены на внешнюю панель, защищены от случайного прикосновения и снабжены теплоотводящим радиатором. В процессе работы прибора разница между температурами радиатора и окружающего воздуха не составляла более 200 С. Для защиты от случайных скачков напряжения в прибор установлены два предохранителя номиналом 0,5 А. Функционирование прибора не связано с применением горючих материалов. Так же, при создании прибора были учтены требования минимизации горючих материалов в конструкции. Во время проведения эксперимента прибор должен быть установлен на столе, выполненном из невозгораемых материалов. Помещение, в котором проводится эксперимент, должно быть оборудовано противопожарной сигнализацией и штатными средствами пожаротушения. По причине возможности тушения прибора, находящегося под напряжением , как средство пожаротушения должен применяться порошковый огнетушитель

При выполнении вышеперечисленных мероприятий НИР по исследованию озонохемилюминесцентного метода контроля органических соединений в воде в лабораторных условиях не представляет опасности для жизни и здоровья исследователя.

Выводы

Исследованы характеристики и возможности нового аналитического метода, основанного на измерении интенсивности хемилюминесценции органического вещества природных вод при окислении озоном. Экспериментально определена связь между интенсивностью озонохемилюминесценции (ОХЛ) и значением химического потребления кислорода (ХПК) природной воды. Показано, что в различных сериях экспериментов коэффициент корреляции между этими параметрами составляет 0,82…0,92 при s2не более 3,3, что позволяет по значениям ОХЛ определять величину ХПК и может позволить использовать метод ОХЛ как альтернативный метод определения ХПК бихроматным окислением (стандарт ISO 6060).

1. Исследованы зависимости величины ОХЛ от динамических характеристик системы для регистрации ОХЛ природных вод. Показано, что при увеличении объема подачи озоновоздушной смеси в реактор интенсивность ОХЛ увеличивается до определенного значения, которое, по видимому, определяется производительностью озонатора, и при дальнейшем увеличении объема подаваемой смеси зависимость интенсивности ОХЛ имеет тенденцию к насыщению. Так же, при увеличении потока воды через реактор системы регистрации ОХЛ, ее интенсивность возрастает, поскольку массоперенос органического вещества в реактор увеличивается. В результате были выбраны стандартные условия дальнейших экспериментов с учетом полученных зависимостей и возможностей аппаратуры.

2. Исследована зависимость интенсивности ОХЛ от температуры серии проб воды, поступающей в реактор. Показано, что в температурном диапазоне, характерном для реального использования анализаторов в судовых и стационарных лабораториях (+100…+350 С) интенсивность озонохемилюминесценции в зависимости от температуры потока пробы изменяется в пределах ±6% от ее среднего значения в данном температурном диапазоне.С учетом того, что метод определения органических соединений по стандарту ISO 6060 имеет погрешность ±40%, можно считать, что при создании недорогих приборов для замещения приборов по методу ISO 6060 можно пренебречь. При создании прецизионных анализаторов представляется целесобразным либо компенсировать температурную зависимость электронным способом, либо либо обеспечить термостатирование потока пробы и реактора.

3. Исследована возможность применения метода ОХЛ к контролю состояния водных природных объектов (системы Суздальских озер). Показано, что при периодическом отборе проб в репрезентативных точках системы озер и измерении ОХЛ этих проб, может быть определена динамика содержания биогенной и антропогенной органики, в частности, сезонная динамика в период ледостава, то есть , метод применим к решению гидрохимических задач и задач экологического контроля.

4. При изучении динамики содержания органических соединений в период ледостава на Суздальских озерах определены зоны наименьшей и наибольшей загрязненности воды, определены вероятные источниики ее загрязнения. Отмечены аномалии в динамике содержания органических соединений, предположительно связанные со снижением биологической активности фитопланктона в моменты возникновения и таяния первого льда и устойчивое снижение содержания органических соеинений в период 10…12 дней передокончательным установлением ледяного покрова. Этот процесс протекает во всех озерах системы независимо от того, соединены озера или изолированы, то есть, скорее всего, он отражает характер связанных с понижением температуры, биологических процессов в воде.

5. Учитывая высокую трудоемкость, длительность и экологическую опасность (образование высокотоксичных отходов анализа) метода ISO 6060, можно предположить целесообразность дальнейших работ по развитию метода озонохемилюминесцентного определения суммарного содержания органических соединений в природных водах с целью последующей замены метода ISO 6060 на метод ОХЛ.

Литература

1. Химия окружающей среды: Пер. с англ. / Под ред. Дж. О. М. Бокриса. - М.: Химия, 1982

2. Фомин Г.С., Ческис А.Б. Вода. Контроль химической, бактериальной и радиационной безопасности по международным стандартам. Справочник. / Под ред. С.А. Подлепы - М.: Из-во «Геликон», 1992

3. Экологические проблемы Северо-Запада России и пути их решения. / Под ред. С.Г. Инге-Вечтомова, К.Я. Кондратьева, А.К. Фролова - СПб.: ЗАО «Виктория», 1997

4. Лурье Ю.Ю. Об общих показателях загрязнения вод // Проблемы аналит. химии. - М.: Наука, 1977

5. Руденко А.Б., Хромченко Я.Л. Определение общего органического углерода в воде / Химия и технология воды, №2 - 1990

6. Воронцов А.М., Никанорова М.Н. Развитие гибридных методов аналитики в контроле окружающей среды / Инженерная экология, №3. - 1996

7. Золотов Ю.А. Очерки аналитической химии. - М.: Химия, 1977

8. Кюри Д. Люминесценция кристаллов: Пер. с франц. - М.: Наука, 1961

9. Разумовский С.Д., Заиков Г.Е. Озон и его реакции с органическими соединениями. - М.: Наука, 1974. - 322 с.

10.Ozone Generation and Commercial Ozone Generators. // The information brochure. Baltimore, Md., W.R. Grace and Co., Chemical Division

11.Funahashi H. // Yuki Gosei Kagaku (J. Soc. Organic Synthet. Chem., Japan), 1953, № 11. - p. 262

12.Briner E., Ricca M. // Compt. rend., 1955, № 240. - p. 2470.

13.Алиев З.Г., Емельянов Ю.М., Бабаян В.Г. / Сб. Химия и физика

14.Ozone. Chemistry and Technology. // Adv. Chem. Ser., 1959, vol. 21. - p. 309 - 313.

15.Belev J.S. Oxidation. Vol. 1. - New York - London, 1969. - p. 259.

16.Гущин Г.П. Суммарный озон в атмосфере.- Ленинград, 1983

17.Мюллер Т. ,Гнаук Г. Газы высокой чистоты.-М.:Мир, 1968

18.Бердиев А.Т. Разработка химических сенсоров для контроля содержания кислорода, озона и оксида углерода в газовых средах. (автореферат) Ташкент 1999

19.Соболева Н.А., Меламид А.Е. Фотоэлектронные приборы. - М.: Высшая школа, 1974. - 376 с.

20.Оптическая электроника / А.М. Василевский, М.А. Кропоткин, В.В. Тихонов и др. - Л.: Энергоатомиздат, 1990. - 176 с.

21.Основы оптоэлектроники: Пер. с яп. / Я. Суэмацу, С. Катаока, К. Кисино и др. - М.: Мир, 1988. - 288 с.

22.Крутякова М.Г., Чарыков Н.А., Юдин В.В. Полупроводниковые приборы и основы их проектирования. - М.: Радио и связь, 1983. - 352 с.

23.Кондратьев С.А. Индикаторы состояния водоемов Санкт-Петербурга. Экологическая химия,2000 №9

24.ГОСТ 12.1.005 - 88 «Общие санитарно - гигиенические требования к воздуху рабочей зоны».

25.ГОСТ 12.1.019 - 79 «Электробезопасность. Общие положения» .

26.ГОСТ 12.1.003 - 83 «Шум. Общие требования безопасности».