Материал: ОтчетЛР5.4

Внимание! Если размещение файла нарушает Ваши авторские права, то обязательно сообщите нам

Задача 5.4

1. Постановка задачи

Дана функция . Приблизить функцию методом интерполяции, используя многочлен Лагранжа . Степень многочлена N подобрать таким образом, чтобы максимальная величина погрешности на отрезке не превышала заданной величины . Используя встроенную процедуру cspline , приблизить функцию кубическим сплайном S при числе отрезков N, найденном выше. Построить графики многочлена, сплайна, точечный график исходной функции и графики погрешностей.

tg(2x) [-0.5,0.5] 0.0001

2. Теоретический материал

Построение сплайна выполняется следующим образом:

3. Решение задачи

1. Зададим функцию , отрезок и степень n (например, n=5) приближающего многочлена.

n=5

2. Составим таблицу значений функции в точке отрезка с постоянным шагом , ,

.

3. Составим процедуру, выполняющую вычисление значения многочлена Лагранжа L(t) степени n в произвольной точке t

отрезка .

4. На одном чертеже построить график исходной функции и приближающего многочлена.

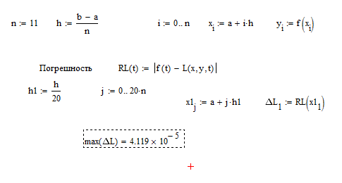
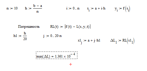
5.Задать функцию, вычисляющую величину погрешности: . Построить график функции RL и по графику найти максимальное значение погрешности. Увеличивая степень приближающего многочлена n , найти минимальное значение N, при котором многочлен приближает исходную функцию с заданной точностью .

Повышая степень многочлена, получаем при n=10 погрешность , а при n=10

Следовательно, искомое значение N=11

6.Используя встроенную процедуру cspline, вычислить массив значений сплайна при найденном в п.5 значении n=N. Аналогично п.5, вычислить максимальное значение величины погрешности .

Погрешность многочлена Лагранжа

Погрешность многочлена сплайна

7. На одном чертеже построить графики функций RL и RS. Сравнить полученные результаты.

По графику видно, что при одном и том же значении степени многочлена многочлен Лагранжа дает большую точность по сравнению со встроенной функцией сплайна