МИНИСТЕРСТВО ОБРАЗОВАНИЯ И НАУКИ РОССИЙСКОЙ ФЕДЕРАЦИИ
федеральное государственное автономное образовательное учреждение
высшего образования
«САНКТ-ПЕТЕРБУРГСКИЙ ГОСУДАРСТВЕННЫЙ УНИВЕРСИТЕТ АЭРОКОСМИЧЕСКОГО ПРИБОРОСТРОЕНИЯ»
ОТЧЕТ О ПРАКТИЧЕСКОЙ РАБОТЕ «Основы корреляционного анализа» |
|
Магистрант группы № Z8430M |
|
|
А.С. Костырин |
|
подпись, дата |
|
инициалы, фамилия |
Санкт-Петербург 2019
а – уровень значимости = 0.01; у -доверительная вероятность для коэффициента р = 0.95
Таблица 2
X |
6.3 |
12.6 |
18.9 |
25.2 |
31.5 |
37.8 |
44.1 |
50.4 |
56.7 |
63 |
Y |
38.55746 |
66.68513 |
65.29407 |
81.73161 |
48.65866 |
197.4538 |
226.4823 |
183.3997 |
130.8916 |
59.90688 |
X |
69.3 |
75.6 |
81.9 |
88.2 |
94.5 |
100.8 |
107.1 |
113.4 |
119.7 |
126 |
Y |
324.4894 |
193.3441 |
382.4201 |
534.0305 |
435.3405 |
442.2466 |
341.1577 |
118.5612 |
163.1743 |
641.5248 |
X |
132.3 |
138.6 |
144.9 |
151.2 |
157.5 |
163.8 |
170.1 |
176.4 |
182.7 |
189 |
Y |
371.9515 |
513.9744 |
392.9729 |
629.6746 |
98.47323 |
811.6933 |
201.18255 |
705.029 |
851.3587 |
783.0984 |
Таблица 2
[li, li+1] |
[38.55746;174.0243) |
[174.0243;309.4912) |
[309.4912;444.9581) |
[444.9581;580.425) |
[580.425;715.8918) |
[715.8918;851.3587) |
n |
l \ k |
106.2909 |
241.7578 |
377.2246 |
512.6915 |
648.15839 |
783.6253 |
|
6.3 |
1 |
0 |
0 |
0 |
0 |
0 |
1 |
12.6 |
1 |
0 |
0 |
0 |
0 |
0 |
1 |
18.9 |
1 |
0 |
0 |
0 |
0 |
0 |
1 |
25.2 |
1 |
0 |
0 |
0 |
0 |
0 |
1 |
31.5 |
1 |
0 |
0 |
0 |
0 |
0 |
1 |
37.8 |
0 |
1 |
0 |
0 |
0 |
0 |
1 |
44.1 |
0 |
1 |
0 |
0 |
0 |
0 |
1 |
50.4 |
0 |
1 |
0 |
0 |
0 |
0 |
1 |
56.7 |
1 |
0 |
0 |
0 |
0 |
0 |
1 |
63 |
1 |
0 |
0 |
0 |
0 |
0 |
1 |
69.3 |
0 |
0 |
1 |
0 |
0 |
0 |
1 |
75.6 |
0 |
1 |
0 |
0 |
0 |
0 |
1 |
81.9 |
0 |
0 |
1 |
0 |
0 |
0 |
1 |
88.2 |
0 |
0 |
0 |
1 |
0 |
0 |
1 |
94.5 |
0 |
0 |
1 |
0 |
0 |
0 |
1 |
100.8 |
0 |
0 |
1 |
0 |
0 |
0 |
1 |
107.1 |
0 |
0 |
1 |
0 |
0 |
0 |
1 |
113.4 |
1 |
0 |
0 |
0 |
0 |
0 |
1 |
119.7 |
1 |
0 |
0 |
0 |
0 |
0 |
1 |
126 |
0 |
0 |
0 |
0 |
1 |
0 |
1 |
132.3 |
0 |
0 |
1 |
0 |
0 |
0 |
1 |
138.6 |
0 |
0 |
0 |
1 |
0 |
0 |
1 |
144.9 |
0 |
0 |
1 |
0 |
0 |
0 |
1 |
151.2 |
0 |
0 |
0 |
0 |
1 |
0 |
1 |
157.5 |
1 |
0 |
0 |
0 |
0 |
0 |
1 |
163.8 |
0 |
0 |
0 |
0 |
0 |
1 |
1 |
170.1 |
0 |
1 |
0 |
0 |
0 |
0 |
1 |
176.4 |
0 |
0 |
0 |
0 |
1 |
0 |
1 |
182.7 |
0 |
0 |
0 |
0 |
0 |
1 |
1 |
189 |
0 |
0 |
0 |
0 |
0 |
1 |
1 |
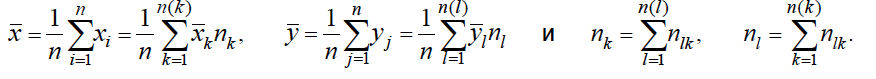
Рассчитаем средние выборочные значения:
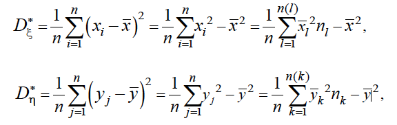
Выборочные дисперсии и среднеквадратичные отклонения:
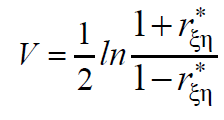
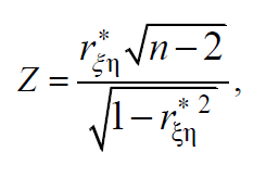
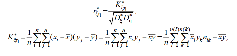
Выборочный коэффициент корреляции:
В качестве статистического критерия выберем случайную величину
Для Z*, n = 30 – 2 = 28
Проверим
альтернативные гипотезы:
Найдем Za из таблицы квантилей распределения Стьюдента
(p(Z<Zα) = 0.995). В результате получим:
Для правосторонней критической области величина Zα находится из условия
p(Z>Zα) = 0.01 (по таблице критических точек) или из соотношения p(Z<Zα) = 0.99 (по таблице квантилей).
В результате для правосторонней критической области
В результате, т.к. Z* >> Zα (5.799616833 >> 2.7633 в случае двусторонней критической области и 5.799616833 >> 2.4671 для односторонней критической обрасти), можно сделать вывод, что в нашем случае гипотезу об отсутствии линейной зависимости между случайными величинами ξ и η следует отбросить и корреляционная связь является значимой.
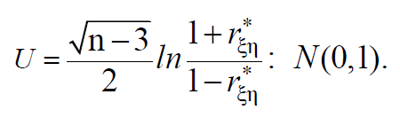
Проверим значимость найденного выборочного коэффициента корреляции. Основная гипотеза H0:ρ = 0 – отсутствие линейной статистической связи, условное математическое ожидание M[V|H0]=0 и
Вычислим U* , полагая rξη* = 0,738726 и n = 30:
Критические точки Uα находим для уровня значимости α = 0.01 из таблицы квантилей нормального распределения. В первом случае Uα = 2.32 , во втором - Uα = 2.58. В обоих случаях U* попадает в критическую область (U* >Uα), гипотезу об отсутствии линейной статистической связи следует отбросить. Вероятностью ошибки при этом равна α = 0.01.
Выберем доверитель вероятность (надёжность) γ = 0.95 , тогда Φ0(U0.95) = 0.475 и U0.95 = 1.96. Объём выборки n = 30, вычисленный по выборке корреляционный коэффициент rξη* = 0,738726. Тогда
Составаим уравнение линейной регрессии:
Составим таблицу условных распределений nkl=ῖ и условных математических ожиданий y(xῖ) случайной величины η.
Таблица 3
Xk/Yk |
106.2909 |
241.7578 |
377.2246 |
512.6915 |
648.15839 |
783.6253 |
y(xῖ) |
6.3 |
1 |
0 |
0 |
0 |
0 |
0 |
106.2909 |
12.6 |
1 |
0 |
0 |
0 |
0 |
0 |
106.2909 |
18.9 |
1 |
0 |
0 |
0 |
0 |
0 |
106.2909 |
25.2 |
1 |
0 |
0 |
0 |
0 |
0 |
106.2909 |
31.5 |
1 |
0 |
0 |
0 |
0 |
0 |
106.2909 |
37.8 |
0 |
1 |
0 |
0 |
0 |
0 |
241.7578 |
44.1 |
0 |
1 |
0 |
0 |
0 |
0 |
241.7578 |
50.4 |
0 |
1 |
0 |
0 |
0 |
0 |
241.7578 |
56.7 |
1 |
0 |
0 |
0 |
0 |
0 |
106.2909 |
63 |
1 |
0 |
0 |
0 |
0 |
0 |
106.2909 |
69.3 |
0 |
0 |
1 |
0 |
0 |
0 |
377.2246 |
75.6 |
0 |
1 |
0 |
0 |
0 |
0 |
241.7578 |
81.9 |
0 |
0 |
1 |
0 |
0 |
0 |
377.2246 |
88.2 |
0 |
0 |
0 |
1 |
0 |
0 |
512.6915 |
94.5 |
0 |
0 |
1 |
0 |
0 |
0 |
377.2246 |
100.8 |
0 |
0 |
1 |
0 |
0 |
0 |
377.2246 |
107.1 |
0 |
0 |
1 |
0 |
0 |
0 |
377.2246 |
113.4 |
1 |
0 |
0 |
0 |
0 |
0 |
106.2909 |
119.7 |
1 |
0 |
0 |
0 |
0 |
0 |
106.2909 |
126 |
0 |
0 |
0 |
0 |
1 |
0 |
648.1584 |
132.3 |
0 |
0 |
1 |
0 |
0 |
0 |
377.2246 |
138.6 |
0 |
0 |
0 |
1 |
0 |
0 |
512.6915 |
144.9 |
0 |
0 |
1 |
0 |
0 |
0 |
377.2246 |
151.2 |
0 |
0 |
0 |
0 |
1 |
0 |
648.1584 |
157.5 |
1 |
0 |
0 |
0 |
0 |
0 |
106.2909 |
163.8 |
0 |
0 |
0 |
0 |
0 |
1 |
783.6253 |
170.1 |
0 |
1 |
0 |
0 |
0 |
0 |
241.7578 |
176.4 |
0 |
0 |
0 |
0 |
1 |
0 |
648.1584 |
182.7 |
0 |
0 |
0 |
0 |
0 |
1 |
783.6253 |
189 |
0 |
0 |
0 |
0 |
0 |
1 |
783.6253 |