Материал: Особенности внимания хорошо и плохо успевающих младших школьников

Внимание! Если размещение файла нарушает Ваши авторские права, то обязательно сообщите нам

внимание младший школьник возрастной

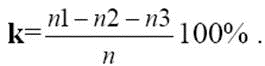
При обработке результатов корректурной пробы - таблицы Бурдона, вычислялся показатель концентрации внимания k. Для этого необходимо было подсчитать:

общее количество правильно зачеркнутых букв - n 1 ;

количество пропусков букв к , р - n2 ; количество ошибочно зачеркнутых букв - n3 ;

общее количество в просмотренных строках букв к, р , подлежащих вычеркиванию - n .


Показатель концентрации внимания k вычисляется как отношение:

В зависимости величины этого коэффициента можно было получить качественную оценку.

Средний-41...60%

Плохой-21...40%.

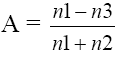
Коэффициент точности и аккуратности внимания А вычислялся по формуле:


Полученные результаты показывают, что дети с хорошей успеваемостью, как правило, имеют достаточно высокий уровень концентрации внимания и его точности. У большинства слабо успевающих детей уровень внимания средний или низкий. Хотя среди второй группы учащихся имеются и школьники с достаточно высоким уровнем внимания(Рис.1).

Рис.1


Таблица1. Результаты хорошо успевающих учеников

Группа хорошо успевающих учеников

Показатель концентрации внимания k

Уровень концентрации внимания

Коэффициент точности и аккуратности внимания А

Средний балл успеваемости

1

47

средний

0.74

4,3

2

90

высокий

1

5,0

3

44

средний

0.6

4,1

4

66

выше среднего

0.9

4,05

5

72

выше среднего

1

4,72

6

40

довольно низкий

0.55

4,22

7

62

выше среднего

0.8

4,9

8

69

выше среднего,

0.8

4,83

9

58

средний

0.7

4,77

10

88

высокий

1

4,97

11

77

выше среднего

1

4,02



Таблица2 Результаты слабо успевающих учеников:

Группа слабо успевающих учеников

Показатель концентрации внимания k

Уровень концентрации внимания

Коэффициент точности и аккуратности внимания А

Средний балл успеваемости

1

34

довольно низкий

0.5

3,63

2

42

средний

0.6

3,33

3

66

выше среднего, хороший.

0.9

3,43

4

39

довольно низкий

0.5

3,38

5

33

довольно низкий

0.5

3,01

6

57

средний

0.8

3,05

7

74

выше среднего, хороший.

1

3,97

8

43

средний

0.6

3,52

9

55

средний

0.7

3,54


При ответе на заданные вопросы в методике «Да и нет» испытуемым нужно было постоянно помнить правила игры и отвечать определённым образом, контролируя свои ответы. При этом от них также требовалось одновременное обдумывание своих ответов, чтобы не произнести запрещённых слов. Эти действия были бы невозможны без определенного развития произвольности. Некоторые дети постарались облегчить поставленную задачу различными способами и, например, давали повторяющийся односложный ответ (например, «хочу»). Это действие лишало смысла их ответов. Для таких детей самым главным было лишь соблюдение формальности правила игры. Некоторые просто подменяли слова «да» и «нет» соответствующими движениями головы. Тем самым они соблюдали условия игры и не утруждали себя поиском адекватного ответа, что в достаточной степени сложно. Многие дети довольно долго молчали и обдумывали свой ответ прежде, чем дать содержательный ответ, не включающей запретные слова.

Обработка результатов проводится путем подсчета баллов, начисляющихся за ошибки, под которыми понимаются только слова «да» и «нет», «чёрное», «белое». Употребление детьми просторечной лексики (слова «ага», «не-а» и т.п.) не рассматриваются в качестве ошибки. Также не считается ошибкой бессмысленный ответ, если он удовлетворяет формальному правилу игры. Каждая ошибка оценивалась в 1 балл. Если ребенок правильно ответил на все вопросы, за его результат выставляется 0 (ноль). Таким образом, чем хуже выполнено задание, тем выше суммарный балл. При обработке результатов методики изучения внимание у школьников третьего класса высшую оценку получали ученики, не пропустившие в тексте ни одной или не заметившие одной-двух ошибок. Средний уровень показали учащиеся, упустившие из своего внимания 3-4 ошибки в тексте. Низкий уровень внимания у учеников, не обнаруживших более пяти ошибок.

Таблица 3 Результаты хорошо успевающих учеников:

Группа хорошо успевающих учеников

Показатели

Уровень концентрации внимания

Средний балл успеваемости

1

3

средний

4,3

2

0

высокий

5,0

3

3

средний

4,1

4

2

выше среднего

4,05

5

2

выше среднего

4,72

6

5

довольно низкий

4,22

7

2

выше среднего

4,9

8

2

выше среднего,

4,83

9

3

средний

4,77

10

0

высокий

4,97

11

2

выше среднего

4,02


Таблица 4. Результаты слабо успевающих учеников:

Группа слабо успевающих учеников

показатели

Уровень концентрации внимания

Средний балл успеваемости

1

6

довольно низкий

3,63

2

4

средний

3,33

3

3

выше среднего, хороший.

3,43

4

6

3,38

5

7

довольно низкий

3,01

6

2

средний

3,05

7

2

выше среднего, хороший.

3,97

8

3

средний

3,52

9

3

средний

3,54


Проведенное экспериментальное исследование подтвердило гипотезу и позволило сделать следующие выводы :

Хорошо успевающие ученики обычно имеют достаточно высокий уровень внимания.

2.3 Методы выявления особенностей внимания у хорошо и плохо успевающих младших школьников

Параметрический метод корреляционного анализа - критерий r-Пирсона

Назначение

Коэффициент корреляции Пирсона позволяет определить силу и направление корреляционной связи между двумя признаками (переменными).

Описание метода

Для подсчета коэффициента корреляции Пирсона необходимо располагать двумя рядами значений. Такими рядами могут быть:

два признака, измеренные в одной и той же группе испытуемых;

два ряда значений по одному и тому же признаку, полученные в двух группах испытуемых.

Расчет коэффициента корреляции Пирсона предполагает, что переменные X и Y измерены в интервальной шкале и распределены нормально.

Гипотезы:

Н0: Корреляция между переменными X и Y не отличается от нуля.

Н1: Корреляция между переменными X и Y достоверно отличается от нуля.

Ограничения коэффициента корреляции Пирсона

.        Сравниваемые переменные должны быть получены в интервальной шкале или шкале отношений.

.        Распределение переменных X и Y должно быть близким к нормальному.

.        Число варьирующих признаков в сравниваемых переменных X и Y должно быть одинаковым.

.        По каждой переменной должно быть представлено не менее 30 наблюдений. Верхняя граница выборки определяется имеющимися таблицами критических значений, а именно n ≤ 5000.

Таблица 5.


Группа хорошо успевающих учеников

Показатель концентрации внимания k

Средний балл успеваемости

Группа хорошо успевающих учеников

1



Показатель концентрации внимания k

0,323666

1


Средний балл успеваемости

0,170274

0,542783

1



Группа слабо успевающих учеников

Показатель концентрации внимания k

Средний балл успеваемости

Группа слабо успевающих учеников

1



Показатель концентрации внимания k

0,381165

1


Средний балл успеваемости

0,149735

0,457007

1


Вывод:. Результаты хорошо успевающих учеников более приближены к успеху (Приложение1). Благодаря корреляционному анализу выявлена взаимосвязь свойств внимания и успеваемости. Дети с более высокий показателем сформированности произвольного внимания, в основном, имеют более высокую успеваемость (Таблица5).

ЗАКЛЮЧЕНИЕ

В результате подготовки курсовой работы были решены следующие задачи:

На основе психолого-педагогической литературы описаны возрастные особенности младших школьников.

На основе психолого-педагогической литературы была дана характеристику внимания младшего школьника.

На основе психолого-педагогической литературы раскрыты понятия «успеваемость»

Эмпирически были выявлены особенности внимания у детей младшего школьного возраста.

По результатам проведенной экспериментальной работы можно сделать следующие выводы: основной целью опытно-экспериментальной работы была проверка выдвинутой в исследовании гипотезы. Положения гипотезы проверялись в ходе опытно-экспериментальной работы, которая проводилась с детьми, имеющими разные уровни успеваемости . Опытно-экспериментальная работа проводилась по двум методикам: методике Бурдона и методике Гуткиной Цель констатирующего эксперимента - выявление уровня развития внимания детей младшего школьного возраста с разным уровнем успеваемости. Результаты констатирующего эксперимента показали достаточно низкий уровень развития внимания детей у плохо успевающих учащихся и наоборот, дети хорошо успевающие имели высокий уровень проверяемых умений.

Для повышения уровня развития произвольного внимания младших школьников необходимо проводить систематическую работу по активизации их индивидуальных возможностей. В результате реализации программы формирования и развития произвольного внимания происходит положительная динамика в его развитии.

На основе теоретического анализа литературы и проведенных исследований можно подтвердить, выдвинутую ранее гипотезу, - особенности внимания влияют на успеваемость младших школьников.

СПИСОК ЛИТЕРАТУРЫ

1.      Выготский Л. С. Педагогическая психология. - М., 1991. - С. 155.

.        Выготский Л.С. Собрание сочинений: В 6-ти т. Т. 2: Вопросы общей психологии / Гл. ред. А.В. Запорожец. - М.: Педагогика, 1982.-53с.

.        Гальперин П.Я., Кабылъницкая С.Л. Экспериментальное формирование внимания. - М, 1974.-89с.

.        Лурия А.Р. Внимание и память. - М., 1975.-69с.

.        Люблинская А.А. Детская психология. - М.: Просвещение, 1971.- 415с.

6.     Кикоин Е. И. Младший школьник: возможности изучения и развития внимания/ Е. И. Кикоин -М. :Педагогика, 2010.-284с.

7.      Маклаков А.Г. Общая психология: учебник для вызов. - СПб.: Питер, 2006. - 583 с.

.        Матюгин И.Ю., Аскоченко Т.Ю., Бонк И.А. Как развивать внимание и память вашего ребенка. - М.: Эйдос, 1996. - 114 с.

.        Обухова Л.Ф. Возрастная психология. - М.: Педагогическое общество России, 2003. - 448с.

.        Общая психология: Учебник для вузов / А. Маклаков. - СПб.: Питер, 2003. - 592 с:

.        Общая психология/ Под ред. А.В. Петровского. - М.: Просвещение, 1976. - 479с.

.        Павлов И.П. Полное собрание сочинений. Т. 3. Кн. 2. - М: Изд. АН СССР, 1952.- 28с.

.        Психокоррекционная и развивающая работа с детьми: Учеб. пособие для студ. сред. пед. учеб. заведений / Под ред. И.В.Дубровиной. - М.: Издательский центр "Академия", 1998. - С. 50.