РОССИЙСКИЙ ХИМИКО-ТЕХНОЛОГИЧЕНСКИЙ УНИВЕРСИТЕТ ИМЕНИ Д.И.МЕНДЕЛЕЕВА
КАФЕДРА ПРОЦЕССОВ И АППАРАТОВ ХИМИЧЕСКОЙ ТЕХНОЛОГИИ
ЛАБОРАТОРНАЯ РАБОТА «ОПРЕДЕЛЕНИЕ СКОРОСТИ СВОБОДНОГО ОСАЖДЕНИЯ ТВЕРДЫХ ЧАСТИЦ И ВСПЛЫТИЯ ПУЗЫРЕЙ В ЖИДКОСТЯХ»
ВЫПОЛНИЛИ:
ГРУППА:
ЦЕЛЬ РАБОТЫ: экспериментальное и теоретическое определение скорости осаждения твёрдых частиц различной формы и скорости всплытия пузырей.
ОПИСАНИЕ УСТАНОВКИ: Установка состоит из трёх стеклянных цилиндров, каждый из которых заполнен одной из трёх жидкостей: водой, глицерином и трансформаторным маслом. На каждом из цилиндров есть метки, находящиеся на расстоянии 1 м друг от друга.
ВЫПОЛНЕНИЕ РАБОТЫ
|
Жидкость |
Частица |
Диаметр, толщина, мм |
Время осаждения, с |
Эксп. скорость, м/с |
Теор. скорость, м/с |
Относи-тельная погреш-ность, % |
|
Глицерин |
Монетка |
15,5; 1,25 |
8,36 |
0,12 |
0,182 |
51,7 |
|
Свинцовый шарик |
3,5 |
7,08 |
0,14 |
0,129 |
7,86 |
|
|
Силикагель |
3 |
90 |
0,011 |
0,0123 |
11,8 |
|
|
Транс-форма-торное масло |
Монетка |
15,5; 1,25 |
3,3 |
0,303 |
0,317 |
4,62 |
|
Свинцовый шарик |
3,5 |
1,8 |
0,55 |
0,371 |
32,5 |
|
|
Силикагель |
3 |
18 |
0,055 |
0,065 |
17,4 |
|
|
Вода |
Монетка |
15,5; 1,25 |
2,08 |
0,48 |
0,55 |
15,5 |
|
Свинцовый шарик |
3,5 |
- |
- |
1,04 |
- |
|
|
Силикагель |
3 |
2,8 |
0,36 |
0,341 |
5,3 |
Расчет:

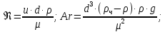
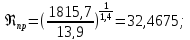
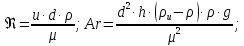
1). Глицерин: ρ = 1170 кг/м3; μ = 450 мПа∙с;
а). свинцовый шарик: ρ = 11336 кг/м3;


б). силикагель: ρ = 2300 кг/м3;


2). Трансформаторное масло: ρ = 870 кг/м3; μ = 88 мПа∙с;
а). свинцовый шарик: ρ = 11336 кг/м3;


б). силикагель: ρ = 2300 кг/м3;


3). Вода: ρ = 998 кг/м3; μ = 0,9785 мПа∙с;
а). свинцовый шарик: ρ = 11336 кг/м3;



б). силикагель: ρ = 2300 кг/м3;



Монетка: ρ = 6355,9 кг/м3;
1). Глицерин: ρ = 1170 кг/м3; μ = 450 мПа∙с;




2). Трансформаторное масло: ρ = 870 кг/м3; μ = 88 мПа∙с;




3). Вода: ρ = 998 кг/м3; μ = 0,9785 мПа∙с;




Контрольные вопросы
Устройство и принцип работы гребкового отстойника:
Отстойниками называются искусственные резервуары или природные водоёмы, в которых из производственных и бытовых стоков под действием силы тяжести или с применением реагентов отделяются, всплывают или осаждаются содержащиеся в них взвешенные примеси.
В промышленности наиболее распространены непрерывнодействующие отстойники. Гребковый отстойник непрерывного действия представляет собой невысокий цилиндрический резервуар со слегка коническим днищем и кольцевым прямоугольным желобом около верхнего края. В резервуаре имеется медленно вращающаяся (2,5—20 об/ч) мешалка с гребками. Мешалка вращается медленно, чтобы не нарушать процесса осаждения, одновременно гребки слегка взбалтывают осадок, способствуя этим более эффективному его обезвоживанию.
Суспензия непрерывно подается сверху через трубу. Осветленная жидкость стекает через верхний желоб, сгущенная суспензия оседает на днище и медленно перемещается гребками к центральному патрубку, через который она откачивается диафрагмовым насосом.

рис. 1: устройство одноярусного гребкового отстойника
1 – корпус; 2 – кольцевой желоб; 3 – мешалка; 4 – наклонные лопасти с гребками; 5 – труба для подачи исходной суспензии; 6 – штуцер для вывода осветленной жидкости; 7 – разгрузочное устройство для осадка (шлама); 8 – электродвигатель.
Такие отстойники, рассчитанные на весьма большую производительность, часто снабжают мешалкой с краевым приводом в виде радиальной фермы (рис. 2). Ось ее вращения совпадает с осью аппарата, а наружный край опирается на каретку с электродвигателем. Каретка движется по рельсам вдоль борта резервуара.

рис. 2: гребковый отстойник с рамной мешалкой, вид сверху
Кроме непрерывности действия, гребковые отстойники имеют следующие достоинства:
1) равномерная плотность осадка и возможность ее регулирования путем изменения производительности откачивающего насоса
2) лучшее обезвоживание осадка при легком взбалтывании сгущенной суспензии мешалкой
3) механизация процесса (один рабочий может обслуживать несколько аппаратов).
Недостатком таких отстойников является их громоздкость.
Значительно более компактны двухъярусные и многоярусные отстойники, представляющие собой, по существу, несколько отстойников, расположенных друг над другом.

рис. 3: схема непрерывной противоточной отмывки осадка от жидкости
Влажность осадка в гребковом отстойнике и фильтр-прессе
Отстаивание суспензий проводят в аппаратах, называемых отстойниками. Отстойники для сгущения суспензий называют сгустителями, а для классификации твёрдых частиц на фракции – классификаторами. Широко распространены отстойники непрерывного действия с гребковой мешалкой. Они представляют собой цилиндрический резервуар с коническим днищем. В резервуаре расположена мешалка, снабжённая гребками, которые непрерывно перемещают осадок к центральному разгрузочному штуцеру. Кроме того, гребки мешалки разрушают слой осадка, способствуя удалению из него макрообъёмов жидкости, то есть способствуют обезвоживанию осадка.
Частота вращения мешалки незначительна (менее половины оборота в минуту), поэтому процесс осаждения не нарушается. Суспензия непрерывно поступает по трубе в середину резервуара. Осветлённая жидкость переливается в кольцевой желоб и удаляется через штуцер. Осадок (шлам), представляющий собой сгущённую суспензию, удаляется через штуцер в коническом днище.
Отстойники с гребковой мешалкой обеспечивают однородность осадка и позволяют освободить его от воды до концентрации твёрдой фазы 35–55 %. Работа таких отстойников полностью автоматизирована. К недостаткам этих аппаратов следует отнести их громоздкость; диаметр нормализованных аппаратов от 1,8 до 30 м, в отдельных случаях применяются отстойники диаметром до 100 м.
Фильтр-прессы рекомендуется применять в схемах, где конечной стадией обработки являются сушка, сжигание или утилизация, при которых требуется получение осадков с возможно низкой влажностью. Процесс фильтрации всегда включает в себя следующие стадии:
- флокуляция полиэлектролитами во флокуляторах с коротким временем пребывания, иногда процесс проходит прямо в трубопроводе;
- дренаж сфлокулированных осадков: процеживание свободной межчастичной воды на фильтрующем столе, что вызывает быстрое сгущение осадков. Для достижения оптимальных результатов осадки на выходе из зоны процеживания должны иметь максимальную концентрацию;
- прессование процеженного осадка: осадок оказывается между двумя фильтрующими полотнами, которые образуют угол и постепенно сжимают осадок. Такой «сэндвич» постепенно вовлекается в пространство вокруг перфорированного барабана, а затем направляется между расположенными в шахматном порядке валиками по траектории, которая может меняться в зависимости от типа фильтра.
Виды фильтров:
Таким
образом, влажность осадка по сравнению
с исходной субстанцией, поступающей в
аппарат, меньше у гребкового отстойника.
Но так как фильтр прессы зачастую
используют для вторичной переработки
осадка, то наиболее сухой осадок выходит
из фильтр пресса.
Технологические методы уменьшения потерь влажности в гребковом отстойнике
Вместе с удаляемым осадком часто теряется значительное количество жидкости, поэтому для уменьшения ее потерь и выделения жидкости из сгущенной суспензии осадок из первого отстойника направляют в другой отстойник для отмывки водой и последующего отстаивания. Осадок, полученный во втором аппарате, будет содержать такое же количество жидкости, что и осадок в первом отстойнике, но уже значительно разбавленной водой. При наличии нескольких последовательно соединенных отстойников можно удалить из осадка до 97—98% жидкости. Для уменьшения количества промывных вод отстаивание проводят по принципу противотока: осадок последовательно движется из первого отстойника к последнему, а вода – от последнего к первому.