Материал: Организация и планирование производства. конспект лекций. Уколова А.В., Чернушкин О.А

Внимание! Если размещение файла нарушает Ваши авторские права, то обязательно сообщите нам

4.1.Платежи в федеральный и муниципальный бюджеты.

4.2.Погашение кредита (задолжности) и выплата процентов. 5. Социальное развитие.

5.1.Развитие непроизводственной сферы.

5.2.Улучшение условий труда. Охрана труда.

5.3.Подготовка и переподготовка кадров. 6. Природохранные мероприятия.

6.1.Влияние производства на окружающую среду.

6.2.Безопасность продукции для человека и внешней среды.

9.14. Оперативно – производственное планирование

Оперативно – производственное планирование включает:

-разработку прогрессивных календарно-плановых нормативов;

-разработку планов-графиков движения предметов труда во времени и пространстве в процессе производства;

-доведение разработанных планов-графиков до цехов, участков, рабочих

мест;

-контроль над исполнением выданных планов-графиков;

-текущее координирование работы сопряженных цехов, участков и рабочих мест.

Существует два вида оперативно-производственного планирования: межцеховое и внутрицеховое

Межцеховое планирование включает:

-разработку производственных программ предприятия в целом по объёмам, номенклатуре и срокам;

-планирование, регулирование и контроль выполнения производственных программ цехами в целом;

-координацию работы основных цехов между собой и связь их со вспомогательными и другими подразделениями и службами предприятия.

Внутрицеховое планирование обеспечивает:

-разработку производственных программ и планов-графиков для участков, линий и отдельных рабочих мест;

-составление плановых заданий на месяц и более короткие отрезки вре-

мени;

-контроль выполнения плановых заданий;

-координация работы связанных участков, линий, рабочих мест; - регулирование работы вспомогательных служб цеха по обеспечению

основного производства.

Существуют следующие системы оперативного планирования: позаказная, покомплектная, подетальная.

Выбор системы зависит от типа производства (массовое, серийное, индивидуальное).

75

9.15. Диспетчирование производства

Неотъемлемой частью оперативно-производственного планирования является оперативное диспетчирование и регулирование производства в ходе выполнения заданий. В процессе диспетчерского регулирования осуществляется:

-непрерывный контроль за выполнением планов-графиков производства;

-координирование работы сопряженных подразделений предприятия;

-ликвидация последствий, возникающих из-за отклонения от установленного регламента работы.

Главная задача диспетчерского аппарата – контроль над выполнением плана.

Диспетчерский аппарат должен принимать меры по предупреждению каких-либо отклонений от планового задания. Диспетчирование на предприятии как завершающий элемент всей системы планирования обеспечивает ритмичность производства.

ТЕМА 10. УПРАВЛЕНИЕ ПРОИЗВОДСТВОМ

10.1. Методы разработки и принятия управленческих решений

Управление - это целенаправленное воздействие органов управления на многообразные элементы и стороны деятельности предприятия с целью обеспечения наиболее эффективного решения стоящих перед ним задач.

Основной задачей управления производством является создание условий для бесперебойной, четкой, планомерной работы предприятия и достижения высокой эффективности производства.

При управлении используются следующие подходы (методы):

-Исторический подход, когда проблемы управления понимаются в логическом развитии. Важность этого подхода определяется необходимостью учета исторического опыта с его достижениями и ошибками;

-Комплексный подход, когда рассмотрение явлений и процессов ведется во всей их многосторонности и многоаспектности с использованием представлений и средств других необходимых наук;

-Системный подход, когда элементы управления и процессов понимаются во взаимосвязи;

-Структурный подход, который призван раскрыть структуру явлений и процессов, их природу;

-Количественный подход, состоящий в количественном измерении и оценки процессов;

-Вероятностный подход, когда управляемые системы понимаются как стохастические, т.е. находящиеся под влиянием не только закономерных, но и

76

случайных проявляющихся факторов;

-Наконец, социальный подход, учитывающий, что управление производством означает и управление людьми.

При управлении важным является сбор, хранение и обработка информации, контроль выполнения управленческих решений.

Основные принципы, используемые при управлении производством следующие:

-единоначалия, заключается в том, что руководитель конкретного звена пользуется правом единоличного решения вопросов, входящих в его компетенцию. Принцип единоначалия может работать только при наличии полноты власти и полной ответственности за работу соответствующего участка;

-коллегиальности, реализуется, когда руководитель готовится к решению вопроса с привлечением узкого круга подчиненных ему руководителей производства;

-коллективности, когда к обсуждению вопросов привлекается весь коллектив предприятия;

-обмен мнения;

-принцип участия трудящихся в управлении (Дума, профсоюзы и т.д.);

-принцип моральной и материальной заинтересованности;

-научность управления.

10.2.Методы управления производством и информационное обеспечение

Основные методы:

-административный;

-экономический;

-социально-психологический.

Административные методы находят выражение в приказах, положениях, нормативных актах, которые определяют функции, права и обязанности работников, их взаимодействие в процессе производства.

Административные методы выражают прямое директивное воздействие на систему или ее элементы в отдельности. Руководитель принимает однозначные решения. Эти методы основаны на обязательности положений инструкций, приказов, распоряжений, указаний и резолюций руководителя, не выполнение которых рассматривается как нарушение производственной дисциплины и влечет за собой дисциплинарное взыскание.

Экономические методы направлены на стимулирование производственной деятельности как всего предприятия, так и каждого работника.

Можно выделить один из важных из системы экономических методов - это экономическое стимулирование процессов трудящихся. В основе его формирования находятся доводы коллективов и каждого трудящегося. Складывается из заработной платы и системы вознаграждений.

Поощрительные фонды призваны создавать дополнительные мотивы к

77

работе.

Социально-психологические методы направлены на создание в каждом подразделении и на предприятии благоприятного социального и морального климата. Они касаются вопросов улучшения условий труда, быта, отдыха работающих, психологических особенностей групповой деятельности.

Личность - это психологический облик человека, как дееспособного члена общества, сознающего свою роль в нем. Психологический облик складывается из врожденных задатков и опыта. Направленность личности и совокупность ее черт в значительной мере связаны с темпераментом человека, типом ее нервной системы.

Темперамент - это индивидуальные особенности человека, определяющие его личность со стороны динамики психических процессов.

Встречаются четыре типа по темпераменту - холерический, сангвинический, флегматический и меланхолический.

Холерик - человек быстрый, порывистый, способный выполнять дело с исключительной страстностью, но неуравновешенный, склонный к вспышкам, резким сменам настроения, быстро истощаемый.

Меланхолик - человек легкоранимый, склонный переживать, даже незначительные события, но внешне вялый, плохо сдерживает переживания волевыми усилиями.

Сангвиник - человек подвижный, стремящийся к частой смене впечатлений, быстро отзывающийся на окружающиеся события, сравнительно легко переживающий неудачи и неприятности. Сангвиник продуктивен, когда ему интересно, но скучен и вял, когда интерес к делу не пробужден.

Флегматик - медлителен, невозмутим, с устойчивыми стремлениями и настроением, слабым внешним выражением душевного состояния. Внешне всегда спокоен и уравновешен в делах и поступках, настойчив и упорен в работе. Его медлительность компенсируется прилежностью к делу.

Стиль работы - это совокупность манер поведения работника.

Чаще всего встречаются люди со смешанным темпераментом. И это, конечно, требует от руководителя более гибких управленческих действий.

10.3. Структура аппарата управления

Предприятие содержит управляемую часть (производство, цеха, участки, бригады, службы) и управляющую (аппарат управления). Состав управленческих подразделений и их взаимосвязь называется структурой аппарата управления. В него входят все инженерно -технические работники и служащие, которые разделяются на линейный и функциональный персонал.

Линейный персонал (директор, начальник цеха, мастер) осуществляют общее руководство, для чего наделяются соответствующими правами.

Функциональный аппарат, в состав которого входят все остальные работники, путем сбора, обработки информации и подготовки решений помога-

78

ют линейному персоналу осуществить линейное руководство.

Звено управления - организационно обособленный самостоятельный орган (или исполнитель).

Совокупность звеньев, находящихся на одинаковых правах (цехи, отделы завода) образует уровень управления.

10.4. Методы управления персоналом, рациональная организация труда

Различают следующие организационные типы структур управления:

-линейную;

-функциональную;

-линейно - функциональную или линейно - штабную.

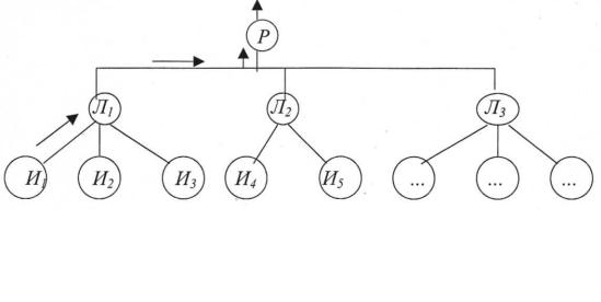
-Линейная структура управления характеризуется тем, что во главе производственной ячейки любого масштаба стоит руководительединоначальник, который осуществляет руководство подчиненными по всем функциям управления.

При линейном типе отсутствует какой - либо аппарат специалистов по выполнению отдельных функций управления. Линейная структура оправдана в условиях несложного производства, когда руководитель в состоянии охватить все проблемы руководства.

Достоинства этой структуры:

-простота;

-единство распорядительства;

-единый источник команды;

-оперативность.

Недостатки:

-необходимость выполнять разные функции;

-требует широкой и всесторонней подготовки руководителя.

Рис.10.1. Линейная структура

79