Материал: Оптимизация системы магнитной ориентации наноспутника за счёт выбора материала сердечника катушек исполнительного устройства

Внимание! Если размещение файла нарушает Ваши авторские права, то обязательно сообщите нам

Оптимизация системы магнитной ориентации наноспутника за счёт выбора материала сердечника катушек исполнительного устройства

МИНИСТЕРСТВО ОБРАЗОВАНИЯ И НАУКИ РОССИЙСКОЙ ФЕДЕРАЦИИ

ФЕДЕРАЛЬНОЕ ГОСУДАРСТВЕННОЕ ОБРАЗОВАТЕЛЬНОЕ УЧРЕЖДЕНИЕ ВЫСШЕГО ПРОФЕССИОНАЛЬНОГО ОБРАЗОВАНИЯ

"НАЦИОНАЛЬНЫЙ ИССЛЕДОВАТЕЛЬСКИЙ ТЕХНОЛОГИЧЕСКИЙ УНИВЕРСИТЕТ "МИСиС"





ДИПЛОМНАЯ РАБОТА

на тему: ОПТИМИЗАЦИЯ СИСТЕМЫ МАГНИТНОЙ ОРИЕНТАЦИИ НАНОСПУТНИКА ЗА СЧЁТ ВЫБОРА МАТЕРИАЛА СЕРДЕЧНИКА КАТУШЕК ИСПОЛНИТЕЛЬНОГО УСТРОЙСТВА


Студент Н.А. Юданов

Руководитель работы

А.Т. Морченко

Начальник структурного подразделения

Аннотация

Целью настоящей дипломной работы является выбор материалов для сердечника устройства магнитной ориентации наноспутника и разработка их конфигурации для обеспечения минимальных массогабаритных и мощностных показателей и максимального значения управляющего магнитного момента, а также проработка вариантов компенсации остаточной намагниченности сердечника.

Работа состоит из введения, аналитического обзора литературы, теоретической, экспериментальной и экономической частей, разделов по безопасности жизнедеятельности, охране окружающей среды, выводов и списка использованных источников.

Дипломная работа изложена на 83 листах, содержит 18 рисунков, 25 таблиц и список использованных источников из 21 наименования.

Содержание

Введение

. Аналитический обзор литературы

.1 Методы магнитного управления ориентацией наноспутника

.2 Соленоид

.3 Природа магнетизма магнитных материалов

.4 Классификация и обзор магнитных материалов пригодных для использования в качестве сердечника

.5 Потери в магнитных катушках

.6 Размагничивающее поле. Размагничивающий фактор

1.7 Остаточная намагниченность

.8 Обзор материалов, используемых для изготовления обмотки катушки

.9 Температурная зависимость намагниченности и сопротивления

. Теоретическая часть

.1 Теоретический расчет параметров магнитной катушки

.1.1 Постановка основных задач расчета

.1.2 Исходные данные

.1.3 Оценка и расчёт минимально необходимого магнитного момента

.1.4 Расчет параметров и выбор материалов магнитного устройства

.1.5 Анализ результатов расчета

.2 Обзор вариантов компенсации остаточной намагниченности

. Экспериментальная часть

.1 Методика исследования

.1.1 Объекты исследования

.1.2 Аппаратура для проведения исследования

.1.3 Последовательность выполнения, полученные результаты

.2 Анализ результатов эксперимента

. Безопасность жизнедеятельности

4.1 Идентификация опасных и вредных производственных факторов

.2 Характеристика используемых веществ и материалов

.2.1 Физические и химические характеристики

4.2.2 Характеристики токсичности

.2.3 Характеристика пожаровзрывоопасности

4.3 Санитарно-технические требования

4.3.1 Требования к планировке помещения

.3.2 Требования к микроклимату помещения

.3.3 Требования к освещению лаборатории

.3.4 Разработка мер защиты от опасных и вредных факторов

.4 Безопасность жизнедеятельности в чрезвычайных ситуациях

.4.1 Категория помещения по взрывопожарной и пожарной опасности

4.5 Специальная разработка по обеспечению безопасности: "расчет защитного заземления"

4.6 Выводы по безопасности жизнедеятельности

5. Охрана окружающей среды

.1 Охрана окружающей среды

.2 Выводы по охране окружающей среды

6. Экономическая часть

.1 Технико-экономическое обоснование НИР

.2 Сметная стоимость проведения исследования

6.2.1 Расчет затрат на материалы

6.2.2 Расчёт затрат на заработанную плату исполнителей дипломной НИР и единого социального налога.

6.2.3 Расчет энергетических затрат

.2.4 Расчет затрат, связанных с использованием оборудования и приборов

.2.5 Расчет накладных расходов

.2.6 Расчет суммарных затрат на выполнение работы

.3 Оценка эффективности результатов выполнения теоретической исследовательской дипломной работы

.4 Выводы по экономической части

Заключение и выводы

Список использованных источников

Введение

Вступление в третье тысячелетие совпало с новым этапом развития технологий миниатюрных космических аппаратов - микро- и наноспутников. Наноспутники - это аппараты массой 1-10 кг с коротким сроком активного существования на орбите.

Малые космические аппараты уже активно используются для дистанционного зондирования Земли, экологического мониторинга, прогноза землетрясений, исследования ионосферы. Об этом говорил заместитель генерального конструктора ФГУП "Российский научно-исследовательский институт космического приборостроения" ("РНИИ КП") доктор технических наук Арнольд Селиванов на открывшейся в Московском Доме ученых 5-й научно практической конференции "Микротехнологии в авиации и космонавтике". Он подчеркнул, что если в 90-е годы прошлого века созданием миниатюрных космических аппаратов занимались, главным образом, университеты и небольшие частные компании, то в 2000-х годах к подобными разработками активно и успешно подключились крупные корпорации. Наноспутники ничуть не хуже своих больших собратьев, зато стоимости запусков в десятки раз дешевле, а при отказе наноспутника и попадании его в плотные слои атмосферы, он полностью сгорает не оставляя крупных обломком тем самым безопасен неуправляемый полёт. Группировки таких спутников могут использоваться для искусственного зондирования Земли, навигации, Интернета, телевидения и телефонии. У нас пионером в этой области можно считать ФГУП РНИИ КП, которое разработало и уже осуществляет программу создания и применения технологических наноспутников серии "ТНС", предназначенных для летной отработки перспективных космических аппаратов и базовых технологий для них. На наноспутнике ТНС-0 №1, успешно запущенном с борта МКС, уже испытана новая технология управления полетом космических аппаратов через спутниковую систему ГЛОБАЛСТАР. Сейчас специалисты института работают над следующими образцами наноспутников: ТНС-0 №2, на котором также будет отрабатываться технология управления космическими аппаратами через глобальные телекоммуникационные сети при помощи магнитных систем управления, ТНС-1 и ТНС-2 - для проведения целого комплекса различных технологических и исследовательских задач.

Первый удачный опыт запуска технологического наноспутника ТНС-0 был произведен российским космонавтом Салижаном Шариповым 28 марта 2005 года во время выхода в открытый космос. Аппарат ТНС-0 №1 имел малый энергетический ресурс, поэтому при проектировании конструкции его преемника - технологического спутника следующего поколения, были предприняты меры по увеличению срока его работы на орбите. В состав наноспутника ТНС-0 №2 входят: система магнитной ориентации и стабилизации, датчики солнца и горизонта, мощная электробатарея, аппаратуры спутниковой связи "Глобалстар" и УКВ. По последним подсчётам его масса составит 4,7 кг.

Вывод на орбиту наноспутника ТНС-0 № 2 в кооперации с Бременским университетом (Германия) запланирован на вторую половину 2010 года.

Подобного рода разработки ведутся не только в России. 24 апреля 2008 г. НАСА совместно с компанией M2MI и исследовательским центром им. Эймса приступили к разработке сверхмалого наноспутника для создания коммуникационной космической системы 5-го поколения (5G).

Основная сегодняшняя задача - уменьшение массы, габаритов и энергетических характеристик микро- и наноспутников :

Уменьшение массы и габаритов связано с тем, что стоимость вывода на орбиту 1 кг полезного груза остаётся очень высокой (Союз-ТМА - 10 тыс. дол. США, Протон - 5 тыс. дол. США). Снижение массы также упрощает управление спутником. Поэтому целесообразно максимально ее уменьшить.

Энергопотребление. Поскольку наноспутник обладает малой массой, размер аккумуляторной батареи и её ёмкость тоже не велики. В таком случае дефицит электропитания может привести к полной потере спутника, следовательно, нужно максимально эффективно использовать электропитание.

Целью данной работы является уменьшение массы и энергопотребления системы магнитного управления наноспутника ТНС-0 №2.

Для достижения указанной цели в работе решаются следующие задачи: выбор материалов сердечника и обмотки, расчёт параметров катушки, компенсация остаточной намагниченности, выбор конструктивного исполнения катушки и способа её установки.

1. Аналитический обзор литературы

.1 Методы магнитного управления ориентацией наноспутника

В связи с отсутствием требований по высокоточной ориентации и сложных разворотов на серии первых наноспутников ТНС для ориентации была выбрана пассивная магнитная система [1]. Она обладает невысокой производительностью, но при этом не нуждается в запитывании от бортовой сети. Отсутствие потребляемой мощности является её основным достоинством, так как наноспутник оснащён аккумулятором невысокой ёмкости. Пассивная система магнитной ориентации обеспечивает ориентацию вектора индукции наноспутника вдоль вектора магнитной индукции геомагнитного поля Земли. При этом пассивная система решает две основные проблемы: обеспечение восстанавливающего и демпфирующих моментов. Проблема обеспечения восстанавливающего момента решается с помощью постоянного магнита. Для решения проблемы рассеяния энергии возмущённого движения спутника относительно его центра масс выбрано демпфирующее устройство, состоящее из пермаллоевых стержней из магнитомягкого материала, перемагничивающихся в геомагнитном поле при вращении спутника относительно силовой линии поля [2]. На рисунке 2 показано расположение пермаллоевых стержней и магнита.


Однако наряду с вышеупомянутыми достоинствами у пассивной системы ориентации есть и ряд недостатков, связанных с неэффективностью такой системы при высоких угловых скоростях вращения, а также вращения вокруг оси индукции собственного магнитного поля спутника. Активно-пассивная система магнитной ориентации не обладает подобными недостатками, но она находится в проектном варианте и требует проведения НИР и ОКР. Подобного рода недостатки неприемлемы в аппаратах с коротким сроком активного существования. Магнитные катушки обеспечивают быструю ориентацию и стабилизацию спутника сразу после его запуска. А пассивная магнитная система лишь помогает удерживать его в течение дальнейшего полёта. Активно-пассивная система состоит из пассивной системы и двух электромагнитных катушек с взаимно перпендикулярным расположением векторов магнитной индукции, при этом вектор одной из них располагается вдоль вектора магнитной индукции постоянного магнита (рисунок 3). Для минимизации массы, габаритов, мощности потребления необходимо проведение НИР.


Магнитные катушки могут включаться и выключаться по радиокомандам, а также работать в импульсном режиме (для уменьшения среднего магнитного момента в целях более точной коррекции спутника при минимальных затратах электроэнергии). В работе [3] был проведён расчет необходимого магнитного момента электромагнитной катушки активно-пассивной системы управления. При массе спутника в 3 кг, радиусе вращения 0,1 м, и периоде вращения 3 мин, магнитный момент будет равен 0,24А·м2 [3]. При изменении исходных данных или условий (увеличении массы, уменьшении периода или увеличении радиуса вращения спутника) величина требуемого магнитного момента (необходимого и достаточного для управления спутником) будет возрастать. В работе [3] проведён расчет самой катушки, как с сердечником, так и без него. Расчет катушки без сердечника при заданных параметрах (магнитный момент 0,29 А·м2, мощность 0,3 Вт, диаметр 0,135 м) дал результат: масса 38 г, длина катушки 0,112 м, диаметр провода 0,11 мм. Расчет катушки с сердечником по этой работе не дал положительного результата, так как в ней была допущена ошибка, а именно, не был учтён размагничивающий фактор сердечника, который снижает магнитный момент вплоть до полной компенсации положительного эффекта от применения сердечника, сколь ни была бы высока магнитная проницаемость его материала. В настоящей дипломной работе эта ошибка исправлена, в результате чего получены достоверные значения магнитного момента катушки с сердечником.

1.2 Соленоид

Соленоидом называют длинную цилиндрическую катушку, состоящую из некоторого числа витков проволоки, намотанной по винтовой линии. Магнитное поле, которое создается проходящим через эти витки электрическим током, можно представить себе как результат сложения полей, создаваемых отдельными, рядом стоящими витками тока. Когда длина катушки значительно превосходит ее диаметр, то внутри соленоида силовые линии поля имеют вид прямых, параллельных его оси. Это означает, что во всех точках внутри соленоида магнитная индукция поля имеет одно и то же направление: она параллельна оси соленоида. Только вблизи концов соленоида линии магнитного поля искривляются. Вне соленоида магнитное поле подобно полю полосового магнита: его силовые линии тянутся от одного конца (полюса) соленоида к другому. На рисунке 4 показан соленоид: а - с железными опилками, б - в разрезе. Форма линий вне соленоида также тождественна форме линий соответствующего полосового магнита. Обычный соленоид наматывается на немагнитном каркасе, магнитный материал с высокой магнитной проницаемостью, помещённый внутрь соленоида значительно усиливает его магнитные свойства. Поэтому для увеличения магнитного момента катушки управления целесообразно использовать сердечник из намагничивающегося материала.

Магнитный момент соленоида рассчитывается по формуле:

, (1)

где: I - ток, А;

Sср - средняя площадь намотки, м2;

N - число витков, шт.


1.3 Природа магнетизма магнитных материалов

Для обоснования выбора материала сердечника катушек рассмотрим основные понятия магнетизма. Магнитные свойства вещества обусловлены спиновым и орбитальным магнитными моментами электронов, а также магнитными моментами ядер атомов. Последние весьма малы, поэтому для магнитных материалов имеет смысл говорить лишь о магнетизме электронной оболочки, которая, собственно, и определяет магнитные свойства вещества. Опыты по изучению гиромагнитного эффекта показали, что у некоторых металлов спиновый магнитный момент играет основную роль в создании магнитного момента атома. Чтобы атом в целом имел магнитный момент, должны быть нескомпенсированы магнитные моменты спинов. Это возможно в атомах с незаполненными оболочками. К ним относятся элементы переходной группы, редкоземельные элементы и др. Однако наличие незаполненных оболочек в атоме еще не является достаточным условием для существования ферромагнетизма. Между спинами соседних атомов должно существовать еще сильное электрическое взаимодействие квантовомеханической природы (так называемые обменные силы). Это приводит к возникновению самопроизвольной намагниченности, когда магнитные моменты атомов ориентируются в очень малых объемах (доменах) в одном направлении, например у ферромагнетиков, или в противоположных направлениях - у антиферромагнетиков.

Если внешнее магнитное поле отсутствует, то результирующий магнитный момент вещества будет равен нулю. При наложении магнитного поля каждый атом дает составляющую магнитного момента по направлению поля, и появляется результирующий магнитный момент. Магнитное состояние вещества характеризуется величиной результирующего магнитного момента, отнесенного к единице объема, к единице массы или к грамм-атому вещества. Результирующий магнитный момент единицы объема называется намагниченностью вещества и обозначается буквой J. Если величина магнитного момента относится к единице массы тела, то имеем массовую или удельную намагниченность. Между намагниченностью и внешним магнитным полем имеется простая связь вида:

J = χ۟ · H, (2)

где: J - намагниченность, А/м;

χ - магнитная восприимчивость вещества;

Н - поле, А/м.

Величина восприимчивости диа- и парамагнитных веществ очень мала (10-3-10-6), причем у диамагнетиков она отрицательна (χ <0). У ферромагнетиков и ферримагнетиков (к последним относятся, в частности, и ферриты) χ >> 1, причем соотношение (1.9) является нелинейным, так как существует сильная зависимость магнитной восприимчивости от напряженности магнитного поля χ = χ (H), при этом восприимчивость этих веществ достигает очень больших значений (до 106). Если такое вещество поместить во внешнее магнитное поле, то внутри этого вещества магнитные моменты атомов создадут свои магнитные поля, которые будут складываться, в результате чего возникнет внутреннее дополнительное поле. Это поле складывается с внешним магнитным полем. Среднее магнитное поле в веществе характеризуется так называемой магнитной индукцией и обозначается буквой "В". Магнитная индукция характеризует магнитное состояние вещества в некотором бесконечно малом объеме. Она является функцией внешнего магнитного поля и определяется соотношением:

В = μ·μ0·Н = μ0(Н+J) = μ0·Н(1+χ), (3)

где: В - магнитная индукция, Тл;

μ0 - магнитная постоянная (магнитная проницаемость вакуума).

χ = μ - 1. (4)

На рисунке 5 показана зависимость намагниченности от величины напряжённости магнитного поля в ферромагнетиках и ферримагнетиках (начальная или основная кривая намагничивания).


Кривую намагниченности ферромагнетиков можно разделить на несколько участков, которые характеризуются определенными процессами намагничивания. В области начального или обратимого намагничивания (участок 1) магнитная восприимчивость χа и проницаемость μа являются постоянными величинами. Изменение намагниченности в этой области происходит в основном за счет обратимых процессов, которые обусловлены упругим смещением границ между областями самопроизвольной намагниченности.

Вторая область кривой намагничивания (область Рэлея) характеризуется тем, что в этой области намагничивания основную роль играют процессы инверсии. Здесь происходит ступенчатое изменение направления вектора самопроизвольного намагничивания внутри домена, причем процесс изменения намагниченности не является полностью обратимым. В этой области намагниченность подчиняется закону Рэлея. Третья область кривой соответствует быстрому возрастанию намагниченности, изменение которой имеет здесь ступенчатый вид (скачки Баркгаузена), что связано с необратимым смещением границ между областями самопроизвольной намагниченности (участок 3). В магнитотвердых материалах могут заметную роль играть также процессы инверсии. Процессы, обусловливающие изменение намагниченности на этом участке, необратимы. В области приближения к насыщению (IV) изменение намагниченности объясняется главным образом процессом вращения, когда направление вектора намагниченности самопроизвольных областей приближается к направлению внешнего поля. На последнем участке (5) с увеличением поля наблюдается слабый рост намагниченности (парапроцесс). Увеличение намагниченности здесь происходит за счет подавления разориентирующего действия тепловых колебаний магнитных моментов атомов, подобно тому, как это происходит в парамагнетиках.

Если после получения основной кривой намагничивания постепенно уменьшать значение магнитного поля, то ход кривой намагничивания в обратном направлении (кривая размагничивания) не будет совпадать с основной кривой. Поэтому для одних и тех же значений напряженности магнитного поля получаются различные значения намагниченности. Это явление называется магнитным гистерезисом. Значение намагниченности, получаемое при снижении напряженности внешнего поля до нуля, называется остаточной намагниченностью Jr. Она обычно меньше значения насыщения Jr. Для того, чтобы снизить намагниченность J тела, предварительно намагниченного до насыщения, до нуля, к нему необходимо приложить магнитное поле обратного направления с величиной напряженности Нс, называемой коэрцитивной силой. Для кривой намагничивания, построенной в координатах В(Н), водится понятие коэрцитивной силы по индукции - это такое размагничивающее внешнее поле, которое необходимо приложить к ферромагнетику, чтобы довести до нуля индукцию магнитного поля В внутри него: НсВ ≈ HcJ, но все же НсВ < HcJ.

.4 Классификация и обзор сильномагнитных материалов, пригодных для использования в качестве сердечника

Применяемые в электротехнике и электронной технике магнитные материалы подразделяют на две основные группы: магнитотвердые и магнитомягкие. В отдельную группу выделяют материалы специального назначения.

          К магнитотвердым относят материалы с большой коэрцитивной силой Нс. Они перемагничиваются лишь в очень сильных магнитных полях и служат для изготовления постоянных магнитов.

          К магнитомягким относят материалы с малой коэрцитивной силой и высокой магнитной проницаемостью. Они обладают способностью намагничиваться до насыщения в слабых магнитных полях, характеризуются узкой петлей гистерезиса и малыми потерями на перемагничивание. Магнитомягкие материалы используются в основном в качестве различных магнитопроводов: сердечников дросселей, трансформаторов, электромагнитов, магнитных систем электроизмерительных приборов.

          Условно магнитомягкими считают материалы, у которых Нс < 800 А/м, а магнитотвердыми - с Нс > 4 кА/м. Необходимо, однако, отметить, что у лучших магнитомягких материалов коэрцитивная сила может составлять менее 1 А/м, а в лучших магнитотвердых материалах ее значение превышает 500 кА/м. По масштабам применения в электронной технике среди материалов специального назначения следует выделить материалы с прямоугольной петлей гистерезиса (ППГ), ферриты для устройств сверхвысокочастотного диапазона и магнитострикционные материалы.

Рассмотрим явление магнитного гистерезиса подробнее. Если первоначально ненамагниченный ферромагнетик намагничивать, увеличивая поле от нуля до значения, при котором наступает насыщение (рис. 6), а затем изменять его от H до -H, то размагничивание и перемагничивание (обратная кривая В(Н)) пойдет не по первоначальному пути, а выше, и в конце концов тело намагнитится в обратном направлении. Если же теперь снова изменять поле в сторону положительных его значений (от -H до +H), магнетик из состояния с максимальным отрицательным значением магнитной индукции (намагниченности) будет переходить к состоянию с положительной индукцией по кривой намагничивания, лежащей ниже - из третьего квадранта в первый через четвертый квадрант. Получившуюся замкнутую кривую называют петлей гистерезиса. В том случае, когда в крайних точках достигается насыщение, получается максимальная петля гистерезиса. Когда же в крайних точках насыщения нет, получатся аналогичные петли гистерезиса, но меньшего размера, как бы вписанные в максимальную петлю - это частные петли гистерезиса.

В данной работе для создания магнитного устройства, обладающего минимальными значениями массы и остаточной намагниченности при выключенной катушке и максимальным магнитным моментом при включении катушки, необходимо подобрать магнитный материал сердечника, обладающий как можно меньшими значениями плотности и коэрцитивной силы при большой магнитной проницаемости.

В таблице 1 приведены магнитомягкие материалы с магнитной проницаемостью, коэрцитивной силой     и плотностью.

Таблица 1 - Магнитомягкие материалы и их параметры

Материал

Магнитная проницаемость (μнач ¸ μмакс)

Коэрцитивная сила (Нс), Э (1/4p кА/м)

Плотность (ρ), г/см3

Сталь Э31

250 - 5500

0,55

7,7

Сталь Э41

300 - 6000

0,45

7,7

Сталь Э42

400 - 7500

0,4

7,7

Сталь Э45

600 - 10000

0,25

7,7

Сталь Э310

1000 - 30000

0,12

7,7

Сплав 79НМ

20000 - 100000

0,03

8,6

Сплав 80НХС

30000 - 120000

0,015

8,6

Сплав 50НСХ

3000 - 30000

0,2

8,6

Сплав 65НП

3000 - 100000

0,1

8,6

Сплав 50НП

2000 - 20000

0,2

8,6

78,5% Ni-пермаллой

10000 - 100000

0,025

8,8

Эл. тех. железо

5000 - 15000

0,36

8,6

Альсифер

117000

0,022

7,9

Пермендюр

400 - 4000

0,05

8,2

Сплав AMAG 200 (нанокрист Fe)

30000 - 600000

0,015

7,3

супермаллой

30000 - 900000

0,004

8,6


1.5 Ïîòåðè â ìàãíèòíûõ ìàòåðèàëàõ

 ïåðåìåííûõ ïîëÿõ ïëîùàäü ïåòëè ãèñòåðåçèñà óâåëè÷èâàåòñÿ çà ñ÷åò ïîòåðü íà ãèñòåðåçèñ Ðã, ïîòåðü íà âèõðåâûå òîêè Ðâ è äîïîëíèòåëüíûõ ïîòåðü Ðä. Òàêàÿ ïåòëÿ íàçûâàåòñÿ äèíàìè÷åñêîé, à ñóììàðíûå ïîòåðè ïîëíûìè èëè ñóììàðíûìè. Ïîòåðè íà ãèñòåðåçèñ, îòíåñåííûå ê åäèíèöå îáúåìà ìàòåðèàëà (óäåëüíûå ïîòåðè) (Âò/ì3):

, (5)

ãäå: dB - äèôôåðåíöèàë ïî èíäóêöèè.

Ýòè æå ïîòåðè ìîæíî îòíåñòè ê åäèíèöå ìàññû (Âò/êã):

, (6)

ãäå: - ïëîòíîñòü ìàòåðèàëà, êã/ì3.

×òîáû óìåíüøèòü ïîòåðè íà ãèñòåðåçèñ, èñïîëüçóþò ìàãíèòíûå ìàòåðèàëû ñ âîçìîæíî ìàëîé êîýðöèòèâíîé ñèëîé. Äëÿ ýòîãî ïóòåì îòæèãà ñíèìàþò âíóòðåííèå íàïðÿæåíèÿ â ìàòåðèàëå, óìåíüøàþò ÷èñëî äèñëîêàöèé è äðóãèõ äåôåêòîâ è óêðóïíÿþò çåðíà.

Ýòè ïîòåðè îáóñëîâëåíû â ïåðâóþ î÷åðåäü èíåðöèîííîñòüþ ïðîöåññîâ ïåðåìàãíè÷èâàíèÿ äîìåíîâ (çàòðàòà òåïëîâîé ýíåðãèè íà ïåðåäâèæåíèÿ ãðàíèö ñëàáîçàêðåïëåííûõ äîìåíîâ ïðè èçìåíåíèè ïîëÿ).

1.6 Ðàçìàãíè÷èâàþùåå ïîëå. Ðàçìàãíè÷èâàþùèé ôàêòîð

Íàìàãíè÷åííîñòü ôåððîìàãíèòíîãî îáðàçöà çàâèñèò íå òîëüêî îò ìàãíèòíîé âîñïðèèì÷èâîñòè âåùåñòâà, èç êîòîðîãî îí ñäåëàí, íî è îò åãî ãåîìåòðè÷åñêîé ôîðìû.

Ðèñóíîê 7 - Ñõåìàòè÷íîå èçîáðàæåíèå îáðàçöà ñ íàìàãíè÷åííîñòüþ J âî âíåøíåì ïîëå Hb ñ ðàçìàãíè÷èâàþùèì ïîëåì Íd

Äåëî â òîì, ÷òî íà ïðîòèâîïîëîæíûõ êîíöàõ íàìàãíè÷åííîãî îáðàçöà èíäóöèðóþòñÿ ìàãíèòíûå çàðÿäû (ðèñóíîê 7), êîòîðûå âíóòðè îáðàçöà ñîçäàþò ñîáñòâåííîå ìàãíèòíîå ïîëå Íd, êîòîðîå íàçûâàåòñÿ ðàçìàãíè÷èâàþùèì. Òàêèì îáðàçîì, ñîãëàñíî ïðèíöèïó ñóïåðïîçèöèè ïîëåé, èñòèííîå ïîëå âíóòðè îáðàçöà îïðåäåëÿåòñÿ ñóììîé âíåøíåãî è ðàçìàãíè÷èâàþùåãî ïîëåé:

Hi = Hb + Íd, (7)

ãäå: Íi - ðåçóëüòèðóþùåå ïîëå, À/ì;

Hb - âíåøíåå ìàãíèòíîå ïîëå, À/ì;

Íd - ðàçìàãíè÷èâàþùåå ïîëå, À/ì.

Ðàçìàãíè÷èâàþùåå ïîëå Íd ìîæíî âûðàçèòü ÷åðåç íàìàãíè÷åííîñòü J ïî ôîðìóëå:

Hd = -Ñ·J, (8)

ãäå: Ñ - ðàçìàãíè÷èâàþùèé ôàêòîð;

J - íàìàãíè÷åííîñòü îáðàçöà, À·ì2.

Ôîðìóëà (7) ìîæåò áûòü ïåðåïèñàíà â âèäå:

, (9)

ãäå: i, j = x,y,z;

Hdi - ïðîåêöèÿ ðàçìàãíè÷èâàþùåãî ïîëÿ íà îñü i, À/ì;

Jj - ïðîåêöèÿ íàìàãíè÷åííîñòè íà îñü j, À·ì2.

Êîìïîíåíòû òåíçîðà Ñ(r) - ðàçìàãíè÷èâàþùèå êîýôôèöèåíòû Nij - çàâèñÿò îò ôîðìû îáðàçöà è åãî îðèåíòàöèè îòíîñèòåëüíî âíåøíåãî ïîëÿ; èõ ìîæíî ðàññ÷èòàòü ïî ôîðìóëå:

, (10)

ãäå: xi, xj = x, y, z è èíòåãðèðîâàíèå âåäåòñÿ ïî îáúåìó îáðàçöà V.

Åñëè íàìàãíè÷èâàòü îäèí è òîò æå îáðàçåö, ïðèêëàäûâàÿ âíåøíåå ìàãíèòíîå ïîëå â ðàçëè÷íûõ íàïðàâëåíèÿõ, òî êîíôèãóðàöèÿ ïîâåðõíîñòíûõ çàðÿäîâ áóäåò êàæäûé ðàç èíàÿ è, ñîîòâåòñòâåííî, ïîëå Hd áóäåò êàæäûé ðàç äðóãèì. Òàêàÿ àíèçîòðîïèÿ îáðàçöîâ íàçûâàåòñÿ àíèçîòðîïèåé ôîðìû.

 ïðîñòåéøåì ÷àñòíîì ñëó÷àå, êîãäà îáðàçåö îêàçàëñÿ îäíîðîäíî íàìàãíè÷åí â îäíîðîäíîì ïîëå è íàïðàâëåíèå íàìàãíè÷åííîñòè ïðîòèâîïîëîæíî íàïðàâëåíèþ ðàçìàãíè÷èâàþùåãî ïîëÿ, ðàçìàãíè÷èâàþùèé ôàêòîð ìîæíî ñ÷èòàòü êîíñòàíòîé:

Íd= - N·J , (11)

ãäå: Hd - ðàçìàãíè÷èâàþùåå ïîëå, À/ì;

J - íàìàãíè÷åííîñòü îáðàçöà, À·ì2.

Òàêèì îáðàçîì, äëÿ âíóòðåííåãî ïîëÿ ïîëó÷àåì:

Hi= Hb - N·J, (12)

Ïî îïðåäåëåíèþ ìàãíèòíîé âîñïðèèì÷èâîñòè χ=J/H, ïîýòîìó, çíàÿ çàâèñèìîñòü íàìàãíè÷åííîñòè îáðàçöà îò âíåøíåãî ìàãíèòíîãî ïîëÿ J(Hb), ìîæíî íàéòè âîñïðèèì÷èâîñòü ìàòåðèàëà, èç êîòîðîãî ñäåëàí îáðàçåö:

χ (Hi)=J(Hb)/[Hb -N·J(Hb)], (13)

 îáùåì ñëó÷àå çàâèñèìîñòü ðàçìàãíè÷èâàþùåãî ïîëÿ Hd îò íàìàãíè÷åííîñòè J î÷åíü ñëîæíà. Íî ìîæíî ïîêàçàòü, ÷òî îáðàçöû ýëëèïñîèäàëüíîé ôîðìû è áëèçêîé ê íåé ïðè íàìàãíè÷èâàíèè â îäíîðîäíîì âíåøíåì ïîëå Hb íàìàãíè÷èâàþòñÿ îäíîðîäíî. Åñëè ñèñòåìó êîîðäèíàò âûáðàòü òàê, ÷òîáû åå îñè ñîâïàëè ñ ãëàâíûìè îñÿìè ýëëèïñîèäà (a,b,c), òî â òåíçîðå Ñ îòëè÷íûìè îò íóëÿ áóäóò òîëüêî äèàãîíàëüíûå êîìïîíåíòû, è

Nà+Nb+Nc = 1, (14)

ãäå: Na, Nb, Nc - ðàçìàãíè÷èâàþùèé ôàêòîð âäîëü íàïðàâëåíèé à, b, ñ.

Åñëè îáðàçåö èìååò ôîðìó øàðà, òî Na = Nb = Nc = 1/3.

Äëÿ áåñêîíå÷íîé ïëàñòèíû, ðàñïîëîæåííîé íîðìàëüíî ê îñè OZ (îñè ñ), ñïðàâåäëèâî Na = Nb = 0, Nc = 1.

Äëÿ áåñêîíå÷íîãî öèëèíäðà (ñ → ∞) Na = Nb = 1/2, Nc = 0.

Äëÿ îáðàçöîâ öèëèíäðè÷åñêîé ôîðìû, êîíå÷íîé âûñîòû, íàìàãíè÷èâàåìûõ âäîëü îñè öèëèíäðà, ñîâïàäàþùåé ñ îñüþ ñ, Na = Nb = 0, à Nc = Nf ìîæíî ñ÷èòàòü çàâèñÿùèì òîëüêî îò îòíîøåíèÿ äëèíû îáðàçöà L ê åãî äèàìåòðó d. ×åì áîëüøå îòíîøåíèå L/d, òåì ìåíüøå Nf. Ïðè ýòîì â îòëè÷èå îò òåë ýëëèïñîèäàëüíîé ôîðìû ðàñïðåäåëåíèå íàìàãíè÷åííîñòè â öèëèíäðå íå ÿâëÿåòñÿ îäíîðîäíûì, è çíà÷åíèå ðàçìàãíè÷èâàþùåãî ôàêòîðà áóäåò çàâèñåòü îò òîãî, ÷òî ïîíèìàåòñÿ ïîä íàìàãíè÷åííîñòüþ îáðàçöà - åå çíà÷åíèå â öåíòðàëüíîé ÷àñòè èëè óñðåäíåííîå ïî îáúåìó.  Òàáëèöå 2 ïðèâåäåíû çíà÷åíèÿ ðàçìàãíè÷èâàþùåãî ôàêòîðà Nf äëÿ öèëèíäðè÷åñêèõ îáðàçöîâ ñ ðàçëè÷íûì îòíîøåíèåì äëèíû ê äèàìåòðó, ðàññ÷èòàííûå ïî ôîðìóëå (15), ïðèìåíèìîé âî âòîðîì ñëó÷àå, ïîñêîëüêó èíòåðåñóþùàÿ íàñ âåëè÷èíà ìàãíèòíîãî ìîìåíòà óïðàâëÿþùåé êàòóøêè îïðåäåëÿåòñÿ óñðåäíåííûì, à íå ìàêñèìàëüíûì çíà÷åíèåì íàìàãíè÷åííîñòè ñåðäå÷íèêà:

Nf = (2,72lg(LD) - 0,69)/(LD)2, (15)

ãäå: LD - îòíîøåíèå äëèíû ñåðäå÷íèêà ê åãî ïîïåðå÷íîìó ñå÷åíèþ;

Nf - ðàçìàãíè÷èâàþùèé ôàêòîð.

Äàííàÿ ôîðìóëà òî÷íî îïèñûâàåò ëèøü ÷àñòü ôóíêöèè, à èìåííî 8≤LD≤28, â îáëàñòè ñ ìåíüøèìè çíà÷åíèÿìè LD íåîáõîäèìî ó÷èòûâàòü íåîäíîðîäíîñòü ïîëÿ âíóòðè ñåðäå÷íèêà è äåôåêòû ïîâåðõíîñòè ñåðäå÷íèêà, ÷òî âåñüìà çàòðóäíèòåëüíî. Îáëàñòü çíà÷åíèé LD>28 òîæå îïèñûâàåòñÿ áîëåå ñëîæíîé ôîðìóëîé è ÿâëÿåòñÿ íàèìåíåå èíòåðåñíîé, òàê êàê òàêîé ñåðäå÷íèê áóäåò îáëàäàòü áîëüøèìè ãàáàðèòàìè è ìàññîé.

Òàáëèöà 2 - Çíà÷åíèÿ ðàçìàãíè÷èâàþùåãî ôàêòîðà äëÿ öèëèíäðè÷åñêîãî îáðàçöà ñ ðàçëè÷íûì îòíîøåíèåì äëèíû ê äèàìåòðó (L/d)

L/d

Nf

10

0,0203

20

0,00715

25

0,005

30

0,00366

40

0,002182

50

0,001457

60

0,001043

80

0,0006528

100

0,000414


Òàêèì îáðàçîì, ñ òî÷êè çðåíèÿ ìèíèìèçàöèè âëèÿíèÿ ðàçìàãíè÷èâàþùåãî ôàêòîðà íà ýôôåêòèâíîñòü ìàãíèòíîé êàòóøêè åå ñåðäå÷íèê äîëæåí îáëàäàòü ìàêñèìàëüíûì îòíîøåíèåì äëèíû ê äèàìåòðó ïîïåðå÷íîãî ñå÷åíèÿ (L/d). Ïðè ìèíèìàëüíîì æå ñîîòíîøåíèè L/d (â ñëó÷àå ïëîñêîãî äèñêà) ñåðäå÷íèê äàæå ñ âûñîêîé ìàãíèòíîé ïðîíèöàåìîñòüþ íå áóäåò îáåñïå÷èâàòü îùóòèìîå óñèëåíèå ìàãíèòíîãî ïîëÿ (ìàãíèòíîãî ìîìåíòà), ñëåäîâàòåëüíî, åãî ïðèìåíåíèå íå áóäåò îïðàâäàííûì èç-çà îñëàáëåíèÿ ïîëÿ êàòóøêè ðàçìàãíè÷èâàþùèì ïîëåì ìàãíèòíûõ ïîëþñîâ.

.7 Îñòàòî÷íàÿ íàìàãíè÷åííîñòü

Îñòàòî÷íàÿ íàìàãíè÷åííîñòü - ýòî íàìàãíè÷åííîñòü Jr, êîòîðóþ èìååò ôåððîìàãíèòíûé ìàòåðèàë ïðè ñíèæåíèè äî íóëÿ íàïðÿæ¸ííîñòè âíåøíåãî ïîëÿ, ïåðâîíà÷àëüíî íàìàãíè÷èâàþùåãî îáðàçåö. Îñòàòî÷íàÿ íàìàãíè÷åííîñòü çàâèñèò êàê îò ìàãíèòíûõ ñâîéñòâ ìàòåðèàëà, òàê è îò åãî ìàãíèòíîé ïðåäûñòîðèè - õàðàêòåðà ïðåäûäóùèõ âîçäåéñòâèé íà íåãî ìàãíèòíîãî ïîëÿ. Âåëè÷èíà îñòàòî÷íîé íàìàãíè÷åííîñòè êîíêðåòíûõ ôåððîìàãíèòíûõ îáðàçöîâ ñóùåñòâåííî çàâèñèò îò èõ ôîðìû, òàê êàê ñêàçûâàåòñÿ äåéñòâèå ðàçìàãíè÷èâàþùåãî ôàêòîðà <#"805766.files/image013.gif"> , (16)

ãäå: ρ - óäåëüíîå ñîïðîòèâëåíèå ìàòåðèàëà, Îì·ñì;

L - äëèíà, ñì;

S - ïîïåðå÷íîå ñå÷åíèå ïðîâîäà, ñì2.

Èç ôîðìóëû (16) âèäíî, ÷òî äëÿ ìèíèìèçàöèè ïîòåðü â îáìîòêå íàäî óìåíüøàòü äëèíó ïðîâîäà (÷èñëî âèòêîâ èëè ðàäèóñ íàìîòêè ïðîâîäà), íî ýòî ïðèâåä¸ò è ê ñíèæåíèþ ìàãíèòíîãî ìîìåíòà, à óâåëè÷åíèå ñå÷åíèÿ ïðîâîäà ïðèâåä¸ò ê âîçðàñòàíèþ ìàññû è ãàáàðèòîâ êàòóøêè. Òàêèì îáðàçîì, îñòà¸òñÿ îäèí ïàðàìåòð, êîòîðûé íå ïîâëèÿåò íà äðóãèå õàðàêòåðèñòèêè è ïðè ïîìîùè êîòîðîãî ìîæíî ìèíèìèçèðîâàòü ïîòåðè â îáìîòêå - ýòî óäåëüíîå ñîïðîòèâëåíèå. Èç ôîðìóëû (16) âèäíî, ÷òî äëÿ ìèíèìèçàöèè ñîïðîòèâëåíèÿ íåîáõîäèìî âûáèðàòü ìàòåðèàë ñ íàèìåíüøèì çíà÷åíèåì óäåëüíîãî ñîïðîòèâëåíèÿ.  òàáëèöå 3 ïðèâåäåíû õàðàêòåðèñòèêè ìàòåðèàëîâ, âûïóñêàåìûõ âèäå ìåòàëëè÷åñêîãî ïðîâîäà.

Òàáëèöà 3 - Ïàðàìåòðû ðàçëè÷íûõ ìåòàëëîâ

Ìàòåðèàë

Óäåëüíîå ñîïðîòèâëåíèå ïðè 20îÑ, 10-6 Îì·ñì

Ïëîòíîñòü, ã/ñì3

Ìàãíèòíàÿ ïðîíèöàåìîñòü

Àëþìèíèé

2,69

2,7

1,000023

Ìåäü

1,67

8,9

0,99999

Íèõðîì Õ15Í60 (NiCrFe)

110

7,8

500

Ñòàëü Õ18H25

20,2

7,5-7,8

1000


Èç âûøåïåðå÷èñëåííûõ ìàòåðèàëîâ áîëüøå âñåãî ïîäõîäèò ìåäü, òàê êàê ó íåå ìèíèìàëüíîå çíà÷åíèå óäåëüíîãî ñîïðîòèâëåíèÿ. Îäíàêî ïðè ýòîì ìåäü îáëàäàåò è âûñîêîé ïëîòíîñòüþ, íî ïîñêîëüêó îáú¸ì, çàíèìàåìûé îáìîòêîé, êàê ïðàâèëî, íàìíîãî ìåíüøå, ÷åì îáúåì ñåðäå÷íèêà, òî è âêëàä â îáùóþ ìàññó êàòóøêè îíà òîæå äà¸ò î÷åíü ìàëûé. Ìåäü - ýòî äèàìàãíåòèê (μ < 1), ïîýòîìó äëÿ òîãî, ÷òîáû íå ñíèæàòü ìàãíèòíóþ ïðîíèöàåìîñòü ñåðäå÷íèêà, íå ñëåäóåò íàìàòûâàòü êàòóøêè ñ áîëüøèì ÷èñëîì ñëî¸â.

Ïðè íàìîòêå êàòóøêè ñïîñîáîì "âèòîê ê âèòêó" èëè íà ýëåêòðîïðîâîäÿùåå îñíîâàíèå íåîáõîäèìî, ÷òîáû íàìàòûâàåìûé ïðîâîä èìåë âíåøíþþ èçîëÿöèþ. Èçîëÿöèÿ äîëæíà áûòü ðàññ÷èòàíà íà íàïðÿæåíèå íå ìåíåå äâóõ-òð¸õ íàïðÿæåíèé ïèòàíèÿ, ýòî ñâÿçàíî îáðàòíûì âûáðîñîì ÝÄÑ ñàìîèíäóêöèè ïðè ïåðåõîäíîì ïðîöåññå â êàòóøêå, âåëè÷èíà êîòîðîãî ìîæåò äîñòèãàòü çíà÷åíèÿ íåñêîëüêèõ íàïðÿæåíèé ïèòàíèÿ. Ïðè ýòîì íåîáõîäèì äâîéíîé çàïàñ äèýëåêòðè÷åñêîé ïðî÷íîñòè. Ó êàæäîãî âèòêà åñòü èçîëÿöèÿ, ñëåäîâàòåëüíî, ñîñåäíèå âèòêè ðàçäåëåíû äâóìÿ ñëîÿìè èçîëÿöèè. Ïðîâåä¸ì îáçîð ìåäíûõ ïðîâîäîâ, âûïóñêàåìûõ ñ èçîëÿöèåé (òàáëèöà 4)

Òàáëèöà 4 - Îáçîð ìåäíûõ ïðîâîäîâ, âûïóñêàåìûõ ñ èçîëÿöèåé

Ìàðêà ïðîâîäà

Dìèí ¸ Dìàêñ, ìì

Ïðî÷íîñòü èçîëÿöèè, Â

Ðåñóðñ, ÷

ÏÝË

0,06 - 3,0

40 - 2000

80000

ÏÝÂ-1

0,02 - 2,5

60 - 2500

100000

ÏÝÂ-2

0,05 - 2,5

130 - 3500

100000

ÏÝËØÎ

0,06 - 1,5

250 - 2500

100000

ÏÝÂËÎ

0,06 - 1,8

200 - 2800

110000


Òàáëèöà 4 ñîäåðæèò ìèíèìàëüíûé è ìàêñèìàëüíûé äèàìåòðû, ìèíèìàëüíîå íàïðÿæåíèå ïðîáîÿ îäíîãî ñëîÿ èçîëÿöèè, ìèíèìàëüíóþ íàðàáîòêó â ÷àñàõ ïðè ìàêñèìàëüíîé ðàáî÷åé òåìïåðàòóðå ìàãíèòíîé êàòóøêè (+50 îÑ).

.9 Òåìïåðàòóðíàÿ çàâèñèìîñòü íàìàãíè÷åííîñòè è ñîïðîòèâëåíèÿ

Ìàãíèòíàÿ êàòóøêà îáëàäàåò äâóìÿ òåìïåðàòóðíûìè çàâèñèìîñòÿìè: òåìïåðàòóðíîé çàâèñèìîñòüþ íàìàãíè÷åííîñòè ñåðäå÷íèêà è òåìïåðàòóðíîé çàâèñèìîñòüþ ñîïðîòèâëåíèÿ îáìîòêè. Ðàññìîòðèì èõ â îòäåëüíîñòè.

Òåìïåðàòóðíàÿ çàâèñèìîñòü íàìàãíè÷åííîñòè. Âåùåñòâà, îáëàäàþùèå ôåððîìàãíåòèçìîì, ñîõðàíÿþò ýòó îñîáåííîñòü ëèøü â íåêîòîðîì èíòåðâàëå òåìïåðàòóð. Ïðè íàãðåâàíèè âûøå íåêîòîðîé òåìïåðàòóðû, íîñÿùåé íàçâàíèå òåìïåðàòóðû Êþðè ôåððîìàãíåòèêà, ôåððîìàãíåòèçì èñ÷åçàåò, è âåùåñòâî ñòàíîâèòñÿ ïàðàìàãíåòèêîì. Ñ ïîìîùüþ ðåíòãåíîñòðóêòóðíîãî àíàëèçà áûëî óñòàíîâëåíî, ÷òî ïîäîáíîå ïðåâðàùåíèå íå ñîïðîâîæäàåòñÿ èçìåíåíèåì ñòðóêòóðû êðèñòàëëà. Èñ÷åçíîâåíèå ôåððîìàãíèòíûõ ñâîéñòâ ïðîèñõîäèò â íåêîòîðîì îòíîøåíèè ïîñòåïåííî. Íà ðèñóíêå 8 ïîêàçàíà çàâèñèìîñòü íàìàãíè÷åííîñòè íàñûùåíèÿ Fe îò òåìïåðàòóðû. Îíà ðåçêî óìåíüøàåòñÿ ïðè ïðèáëèæåíèè ê òåìïåðàòóðå Êþðè. Ÿ ïðèíÿòî îïðåäåëÿòü òî÷êîé ïåðåñå÷åíèÿ ëèíåéíîãî ïðîäîëæåíèÿ íàèáîëåå êðóòîãî ó÷àñòêà ñïàäà êðèâîé íàìàãíè÷èâàíèÿ ñ îñüþ àáñöèññ. Ðåàëüíî æå ïîëó÷àåòñÿ íåêîòîðûé "õâîñò" êðèâîé Js = f(Ò). Õîòÿ â áîëüøîé ñòåïåíè ïîÿâëåíèå ïîäîáíîãî "õâîñòà" ìîæíî îòíåñòè çà ñ÷¸ò íåîäíîðîäíîñòè ìàòåðèàëà è íåñîâåðøåíñòâà òåõíèêè èçìåðåíèÿ, íåñîìíåííî, ÷òî è ïðè âîçìîæíî áîëåå òùàòåëüíîì èñêëþ÷åíèè ýòèõ ïîáî÷íûõ îáñòîÿòåëüñòâ ÿâëåíèå ïîñòåïåííîãî ïåðåõîäà èìååò ìåñòî[7].

 ðåçóëüòàòå òîãî, ÷òî íàìàãíè÷åííîñòü íà÷èíàåò ðåçêî óáûâàòü âáëèçè òî÷êè Êþðè, íåîáõîäèìî ïîäáèðàòü ìàãíèòíûé ìàòåðèàë ñåðäå÷íèêà, ó÷èòûâàÿ òåìïåðàòóðíûå óñëîâèÿ ýêñïëóàòàöèè ìàãíèòíîé êàòóøêè.

à - äëÿ ôåððîìàãíåòèêà, á - äëÿ ôåððèìàãíåòèêà.

Ðèñóíîê 8 - Òåìïåðàòóðíàÿ çàâèñèìîñòü íàìàãíè÷åííîñòè

Òåìïåðàòóðíàÿ çàâèñèìîñòü ñîïðîòèâëåíèÿ. Ýëåêòðîííûé ãàç â ìåòàëëàõ ÿâëÿåòñÿ âûðîæäåííûì, è îñíîâíûì ìåõàíèçìîì ðàññåÿíèÿ ýëåêòðîíîâ â îáëàñòè âûñîêèõ òåìïåðàòóð ÿâëÿåòñÿ ðàññåÿíèå íà ôîíîíàõ.

Ïðè ïîíèæåíèè òåìïåðàòóðû äî àáñîëþòíîãî íóëÿ ñîïðîòèâëåíèå íîðìàëüíûõ ìåòàëëîâ ñòðåìèòñÿ ê ïîñòîÿííîìó çíà÷åíèþ  îñòàòî÷íîìó ñîïðîòèâëåíèþ. Èñêëþ÷åíèåì èç ýòîãî ïðàâèëà ÿâëÿþòñÿ ñâåðõïðîâîäÿùèå ìåòàëëû è ñïëàâû, â êîòîðûõ ñîïðîòèâëåíèå èñ÷åçàåò íèæå íåêîòîðîé êðèòè÷åñêîé òåìïåðàòóðû Òñâ (òåìïåðàòóðà ïåðåõîäà â ñâåðõïðîâîäÿùåå ñîñòîÿíèå).

Ïðè óâåëè÷åíèè òåìïåðàòóðû, îòêëîíåíèå óäåëüíîãî ñîïðîòèâëåíèÿ îò ëèíåéíîé çàâèñèìîñòè ó áîëüøèíñòâà ìåòàëëîâ íàñòóïàåò âáëèçè òåìïåðàòóðû ïëàâëåíèÿ Òïë. Íåêîòîðîå îòñòóïëåíèå îò ëèíåéíîé çàâèñèìîñòè ìîæåò íàáëþäàòüñÿ ó ôåððîìàãíèòíûõ ìåòàëëîâ, â êîòîðûõ ïðîèñõîäèò äîïîëíèòåëüíîå ðàññåÿíèå ýëåêòðîíîâ íà íàðóøåíèÿõ ñïèíîâîãî ïîðÿäêà.

Ïðè Ò > Ò1, êîãäà ñïåêòð êîëåáàíèé âîçáóæäåí ïîëíîñòüþ, óâåëè÷åíèå àìïëèòóäû êîëåáàíèé ñ ðîñòîì òåìïåðàòóðû ïðèâîäèò ê ëèíåéíîìó ðîñòó ñîïðîòèâëåíèÿ ïðèìåðíî äî Òïë - îáëàñòü 2 ðèñóíêà 9. Ñ ðîñòîì òåìïåðàòóðû óâåëè÷èâàåòñÿ àìïëèòóäà êîëåáàíèé àòîìîâ ðåø¸òêè è ýëåêòðîí èñïûòûâàåò áîëüøåå ðàññåÿíèå (ðàññåÿíèå íà ôîíîíàõ ðåø¸òêè), ïðèâîäÿùåå ê èçìåíåíèþ íàïðàâëåíèÿ äâèæåíèÿ, êîíå÷íûì çíà÷åíèÿì äëèíû ñâîáîäíîãî ïðîáåãà è ïðîâîäèìîñòè ìåòàëëà. Ýíåðãèÿ ýëåêòðîíîâ ïðîâîäèìîñòè â ìåòàëëàõ ñîñòàâëÿåò 3-15 ýÂ, ÷òî ñîîòâåòñòâóåò äëèíàì âîëí 3-7 Å. Ïîýòîìó ëþáûå íàðóøåíèÿ ïåðèîäè÷íîñòè èëè òåïëîâûå êîëåáàíèÿ àòîìîâ (ôîíîíîâ) âûçûâàþò ðîñò óäåëüíîãî ñîïðîòèâëåíèÿ ìåòàëëà.

Âàæíîé õàðàêòåðèñòèêîé ìåòàëëîâ ÿâëÿåòñÿ òåìïåðàòóðíûé êîýôôèöèåíò óäåëüíîãî ýëåêòðè÷åñêîãî ñîïðîòèâëåíèÿ, ïîêàçûâàþùèé îòíîñèòåëüíîå èçìåíåíèå óäåëüíîãî ñîïðîòèâëåíèÿ ïðè èçìåíåíèè òåìïåðàòóðû íà îäèí Êåëüâèí (ãðàäóñ):

, (17)

ãäå:  - òåìïåðàòóðíûé êîýôôèöèåíò óäåëüíîãî ñîïðîòèâëåíèÿ;

ρ - óäåëüíîå ñîïðîòèâëåíèå, Îì·ì;

dρ - ïðèðàùåíèå ñîïðîòèâëåíèÿ, Îì·ì;

dT - èçìåíåíèå òåìïåðàòóðû, oC.

 ïîëîæèòåëüíî, êîãäà óäåëüíîå ñîïðîòèâëåíèå âîçðàñòàåò ïðè ïîâûøåíèè òåìïåðàòóðû. Î÷åâèäíî, ÷òî âåëè÷èíà òàêæå ÿâëÿåòñÿ ôóíêöèåé òåìïåðàòóðû.  îáëàñòè 3 ëèíåéíîé çàâèñèìîñòè (T) (ñì. ðèñóíîê 9) âûïîëíÿåòñÿ ñîîòíîøåíèå:

, (18)

ãäå: - îñòàòî÷íîå óäåëüíîå ñîïðîòèâëåíèå, Îì·ñì (äëÿ ìåäè  = 1,58·10-6 Îì·ñì);

 - òåìïåðàòóðíûé êîýôôèöèåíò óäåëüíîãî ñîïðîòèâëåíèÿ (äëÿ ìåäè  = 0,0043);

Ò - òåìïåðàòóðà, oC;

  óäåëüíîå ñîïðîòèâëåíèå ïðè òåìïåðàòóðå T, Îì·ñì.


Ïàðàìåòðû ìàãíèòíîãî óñòðîéñòâà íå äîëæíû çàâèñåòü îò òåìïåðàòóðû, ïîýòîìó íåîáõîäèìî ïðèìåíÿòü ìàòåðèàë äëÿ îáìîòêè ñ ìàëûì òåìïåðàòóðíûì êîýôôèöèåíòîì èëè èñïîëüçîâàòü óñòðîéñòâî åãî êîìïåíñàöèè, ëèáî ïðîâîäèòü ðàñ÷åò äëÿ òåìïåðàòóð ñ íàèõóäøèìè ïàðàìåòðàìè ìàãíèòíîãî óñòðîéñòâà.

2. Òåîðåòè÷åñêàÿ ÷àñòü

.1 Òåîðåòè÷åñêèé ðàñ÷åò ïàðàìåòðîâ ìàãíèòíîé êàòóøêè

2.1.1 Ïîñòàíîâêà îñíîâíûõ çàäà÷ ðàñ÷åòà

 ðàçäåëå 1.1 áûëà îïèñàíà ìàãíèòíàÿ ñèñòåìà óïðàâëåíèÿ ñïóòíèêîì. Íà ðèñóíêå 3 ïîêàçàíî ðàñïîëîæåíèå ïîñòîÿííîãî ìàãíèòà ìàãíèòíûõ êàòóøåê. Ïåðïåíäèêóëÿðíàÿ îðèåíòàöèÿ êàòóøåê äðóã îòíîñèòåëüíî äðóãà áûëà âûáðàíà äëÿ èõ íàèìåíüøåãî âçàèìîâëèÿíèÿ äðóã íà äðóãà. Ïàðàëëåëüíàÿ îðèåíòàöèÿ âåêòîðà ìàãíèòíîé èíäóêöèè îäíîé èç êàòóøåê îòíîñèòåëüíî âåêòîðà ïîñòîÿííîãî ìàãíèòà âûáðàíà äëÿ åãî ïîëíîé êîìïåíñàöèè ëèáî äëÿ åãî óñèëåíèÿ, â çàâèñèìîñòè îò íåîáõîäèìîãî ìàí¸âðà. Äëÿ ïðîâåäåíèÿ äàëüíåéøèõ ðàñ÷¸òîâ êàòóøêó ñ ïàðàëëåëüíî îðèåíòèðîâàííûì âåêòîðîì ìàãíèòíîé èíäóêöèè îòíîñèòåëüíî ïîñòîÿííîãî ìàãíèòà íàçîâ¸ì êàòóøêîé 1, à ñ ïåðïåíäèêóëÿðíî îðèåíòèðîâàííûì - êàòóøêîé 2.

.1.2 Èñõîäíûå äàííûå

Ïàðàìåòðû ñïóòíèêà ÒÍÑ-0 ¹2:

ìàññà - 5 êã;

ãàáàðèòû: äëèíà 280 ìì, âíóòðåííèé äèàìåòð 180 ìì;

äèàìåòð ñòåðæíÿ 4 ìì

ìàêñèìàëüíûé ðàäèóñ îòíîñèòåëüíî îñè âðàùåíèÿ 140 ìì;

ïåðèîä âðàùåíèÿ 2,5 ìèí;

íàïðÿæåíèå ïèòàíèÿ 12 Â;

äèàïàçîí ðàáî÷èõ òåìïåðàòóð: -40 +50 (íàèõóäøàÿ äëÿ ìàãíèòíîãî óñòðîéñòâà +50 îÑ).

Âñïîìîãàòåëüíûå äàííûå è êîíñòàíòû:

ýêâàòîðèàëüíîå çíà÷åíèå ãåîìàãíèòíîãî ïîëÿ Çåìëè 200 À/ì;

ìàãíèòíàÿ ïðîíèöàåìîñòü âàêóóìà 1,26·10-6

Ïîñêîëüêó ìû íå ðàñïîëàãàåì äàííûìè î âåëè÷èíå òðåáóåìîãî ìàãíèòíîãî ìîìåíòà, íåîáõîäèìî ïðîâåñòè åãî ðàñ÷åò ñ ïîäñòàíîâêîé èçâåñòíûõ èñõîäíûõ äàííûõ.

.1.3 Îöåíêà è ðàñ÷¸ò ìèíèìàëüíî íåîáõîäèìûõ çíà÷åíèé ìàãíèòíîãî ìîìåíòà êàòóøåê ñèñòåìû óïðàâëåíèÿ

Ìàãíèòíûé ìîìåíò êàòóøêè 1 ñ ïàðàëëåëüíî îðèåíòèðîâàííûì âåêòîðîì ìàãíèòíîé èíäóêöèè äîëæåí áûòü íå ìåíüøå ìàãíèòíîãî ìîìåíòà ïîñòîÿííîãî ìàãíèòà. Ìàãíèòíûé ìîìåíò ïîñòîÿííîãî ìàãíèòà ðàâåí 2,2 À·ì2, ñëåäîâàòåëüíî, ìàãíèòíàÿ êàòóøêà 1 äîëæíà îáëàäàòü ìàãíèòíûì ìîìåíòîì íå ìåíåå 2,2 À·ì2.

 ðàáîòå [3] áûë ïðîâåä¸í ðàñ÷åò ýëåêòðîìàãíèòíîé êàòóøêè àêòèâíî-ïàññèâíîé ñèñòåìû óïðàâëåíèÿ. Äëÿ ìàññû ñïóòíèêà â 3 êã, ðàäèóñà âðàùåíèÿ 0,1 ì, è ïåðèîäà âðàùåíèÿ 3 ìèí, ðàññ÷èòûâàëèñü ïàðàìåòðû ìàãíèòíîé êàòóøêè ñ ìàãíèòíûì ìîìåíòîì, ðàâíûì 0,24 À·ì2.

Ïî îêîí÷àíèè ðàçðàáîòêè ñïóòíèêà åãî ìàññà óâåëè÷èëàñü äî 5 êã, äëèíà äî 28 ñì, ïîëîæåíèå öåíòðà ìàññ áûëî âûáðàíî ïî öåíòðó êîíñòðóêöèè (ðàäèóñ âðàùåíèÿ 14 ñì), à ðåçóëüòàò ë¸òíûõ èñïûòàíèé ÒÍÑ-0 ¹1 äàë ïåðèîä âðàùåíèÿ, ðàâíûé 2,5 ìèí. Ñëåäîâàòåëüíî, äëÿ ðåøåíèÿ çàäà÷è íåîáõîäèìî ðàññ÷èòàòü íîâîå çíà÷åíèå òðåáóåìîãî ìàãíèòíîãî ìîìåíòà.

Ðàññ÷èòàåì ìèíèìàëüíî íåîáõîäèìûé ìàãíèòíûé ìîìåíò äëÿ êàòóøêè 2 ñ ïåðïåíäèêóëÿðíî îðèåíòèðîâàííûì âåêòîðîì ìàãíèòíîé èíäóêöèè îòíîñèòåëüíî îñè ñïóòíèêà.

Äëÿ ïðîñòîòû ðàñ÷åòîâ ïðåäïîëîæèì, ÷òî óãîë ìåæäó âåêòîðàìè èíäóêöèè ãåîìàãíèòíîãî ïîëÿ Çåìëè è ñïóòíèêà ïðÿìîé. Òîãäà ìåõàíè÷åñêèé ìîìåíò ìîæíî ðàññ÷èòàòü ïî ôîðìóëå:

Ì = Ìì ·Â, (19)

ãäå: Ìì - ìàãíèòíûé ìîìåíò, À·ì2;

 - èíäóêöèÿ ïîëÿ, À/ì.

Ì = Jm · ε, (20)

ãäå: Jm - ìîìåíò èíåðöèè, êã·ì2;

ε - óãëîâîå óñêîðåíèå, ðàä/ñ2.

ε = π · ω2 , (21)

ãäå: ω - öèêëè÷åñêàÿ ÷àñòîòà, Ãö.

ω = 2π/Òñï, (22)

ãäå Òñï - ïåðèîä êîëåáàíèé ñïóòíèêà, ñ.

Jm = mñï · RV2/2, (23)

ãäå: mñï - ìàññà ñïóòíèêà, êã;

RV - ðàäèóñ îòíîñèòåëüíî îñè âðàùåíèÿ, ì.

 ðåçóëüòàòå ïîëó÷àåì âûðàæåíèå äëÿ íàïðÿæåííîñòè ïîëÿ:

, (24)

ãäå: μ0 - ïðîíèöàåìîñòü âàêóóìà, μ0 = 1,26·10-6.

Èç ôîðìóëû 24 âûðàçèì ìàãíèòíûé ìîìåíò:

. (25)

Ïîäñòàâèâ çíà÷åíèÿ óêàçàííûå âûøå â ôîðìóëó (25), ïîëó÷èì âåëè÷èíó ìàãíèòíîãî ìîìåíòà ðàâíóþ 1,071 À·m2. Èç ôîðìóëû 25 âèäíî, ÷òî ÷åì ìåíüøå ïåðèîä âðàùåíèÿ (áîëüøå êðóãîâàÿ ÷àñòîòà), òåì áîëüøèé íåîáõîäèì ìàãíèòíûé ìîìåíò. Íåîáõîäèìî ó÷èòûâàòü è îãðàíè÷åíèÿ ãàáàðèòîâ, ìàññû, è òîêà ïîòðåáëåíèÿ, íóæíî ìàêñèìàëüíî ìèíèìèçèðîâàòü çíà÷åíèÿ ýòèõ ïàðàìåòðîâ, ïðè ýòîì ïîëó÷èòü ìàêñèìàëüíûé ìàãíèòíûé ìîìåíò. Ïîäîáíûé ðàñ÷¸ò áûë ïðîâåä¸í â ðàáîòå [3], òàì ðàññ÷èòûâàëàñü êàòóøêà áåç ñåðäå÷íèêà ñ ìàãíèòíûì ìîìåíòîì 0,29 À·ì2, â ðåçóëüòàòå å¸ ìàññà ðàâíÿëàñü 38 ã, äèàìåòð 13,5 ñì, äëèíà 11,5 ñì. Ïîñêîëüêó â ñâÿçè ñ èçìåíåíèåì íåêîòîðûõ ïàðàìåòðîâ ñïóòíèêà èçìåíèëñÿ òðåáóåìûé ìàãíèòíûé ìîìåíò âîçíèêàåò íåîáõîäèìîñòü ïðîâåäåíèÿ íîâîãî ðàñ÷åòà ïàðàìåòðîâ ìàãíèòíîé êàòóøêè è âûáîðà íàèáîëåå ïîäõîäÿùèõ ìàòåðèàëîâ.

.1.4 Ðàñ÷åò ïàðàìåòðîâ è âûáîð ìàòåðèàëîâ ìàãíèòíîãî óñòðîéñòâà

 íàñòîÿùåå âðåìÿ â ñâÿçè ñ èçìåíåíèåì èñõîäíûõ ïàðàìåòðîâ ñïóòíèêà íåîáõîäèìî ðàçðàáîòàòü ìàãíèòíûå êàòóøêè ñ ìåíüøèìè ãàáàðèòàìè è ìàññîé è áîëüøèì ìàãíèòíûì ìîìåíòîì.

Çàäà÷ó îïòèìèçàöèè ìîæíî ðåøèòü íåñêîëüêèìè ìåòîäàìè: ãðàôè÷åñêèì, ìàòåìàòè÷åñêèì è àíàëèòè÷åñêèì.

Ìàòåìàòè÷åñêèé ìåòîä ÿâëÿåòñÿ íàèáîëåå òî÷íûì è ñëîæíûì è òðåáóåò çíàíèÿ ñïåöèàëüíîé ñðåäû ðàçðàáîòêè (ïðîãðàììû MathLab) íà ïðîôåññèîíàëüíîì óðîâíå, ïðè ýòîì â ðåçóëüòàòå ïîñëåäóþùåãî ïîäñ÷¸òà ñ ïîäñòàíîâêîé óòî÷í¸ííûõ (îêðóãëåíèå äèàìåòðà ïðîâîäà, ÷èñëà âèòêîâ è äð.) äàííûõ äà¸ò ðåçóëüòàòû ãðàôè÷åñêîãî ìåòîäà.

Àíàëèòè÷åñêèé ìåòîä ÿâëÿåòñÿ ñàìûì ïðîñòûì, íî ïðè ýòîì îí íå ó÷èòûâàåò âñåõ îñîáåííîñòåé çàâèñèìîñòåé ôóíêöèé äðóã îò äðóãà, ïîýòîìó ÿâëÿåòñÿ íàèìåíåå îáúåêòèâíûì äëÿ îïòèìèçàöèè âû÷èñëåíèé.

Âîñïîëüçóåìñÿ ãðàôè÷åñêèì ìåòîäîì êàê íàèáîëåå ïðîñòûì è òî÷íûì, ýòîò ìåòîä çàêëþ÷àåòñÿ â ïîñòðîåíèè ãðàôèêîâ äëÿ ïîñëåäóþùåãî àíàëèçà è ïîèñêà îïòèìàëüíûõ çíà÷åíèé ôóíêöèè.

Äëÿ ïðîâåäåíèè àâòîìàòèçèðîâàííûõ ðàñ÷åòîâ â ïðîãðàììå MathCad íåîáõîäèìî ó÷åñòü ðàçìàãíè÷èâàþùèé ôàêòîð ñåðäå÷íèêà, òîëùèíó ëàêîâîãî ïîêðûòèÿ ïðîâîäà, çàâèñèìîñòü ìàãíèòíîé ïðîíèöàåìîñòè îò âåëè÷èíû ïîëÿ. Äëÿ ýòîãî îïèøåì çàâèñèìîñòè ýòèõ ôóíêöèé.

Âûáîð ìàòåðèàëà îáìîòêè.  ðàçäåëå 1.8 áûë ïðîâåä¸í îáçîð ìàòåðèàëîâ ïðèãîäíûõ äëÿ ïðèìåíåíèÿ â êà÷åñòâå îáìîòêè, â ðåçóëüòàòå, âûáðàíà áûëà ìåäü òàê êàê îíà îáëàäàåò íàèìåíüøèì óäåëüíûì ñîïðîòèâëåíèåì.  òàáëèöå 4 áûë ïðîâåä¸í îáçîð ìåäíûõ ïðîâîäîâ ñ èçîëÿöèåé. Äëÿ ïîëó÷åíèÿ ìèíèìàëüíîé ìàññû è ãàáàðèòîâ ïðèìåíèì ïðîâîä ñ íàèìåíüøåé òîëùèíîé èçîëÿöèè è óäîâëåòâîðÿþùèé ïðîáîéíîìó íàïðÿæåíèþ. Âûáåðåì ïðîâîä ÏÝÂ-1 äëÿ èñïîëüçîâàíèÿ â ðàñ÷¸òàõ, à ïîñëå ïîëó÷åíèÿ ðàñ÷¸òíûõ äàííûõ î êàòóøêå, ïðîâåðèì óäîâëåòâîðÿåò ëè ïðîáîéíîå íàïðÿæåíèå èçîëÿöèè ïðîâîäà ðàáî÷åìó ðåæèìó ìàãíèòíîé êàòóøêè.

Îïðåäåëåíèå çàâèñèìîñòè òîëùèíû ñëîÿ ëàêà îò äèàìåòðà ïðîâîäà.

Ïî òàáëèöå ïðèâåä¸ííîé â òåõíè÷åñêèõ óñëîâèÿõ íà ïðîâîä ÏÝÂ-1 ðàññ÷èòàåì äîëþ ëàêà ïî ôîðìóëå (26) äëÿ íåñêîëüêèõ çíà÷åíèé äèàìåòðà, ñîñòàâèì òàáëèöó 5 è ïîñòðîèì ãðàôèê çàâèñèìîñòè äîëè ëàêà îò äèàìåòðà ïðîâîäà.

Dë = (Dï - Dæ) / Dæ (26)

ãäå: Dë - îòíîñèòåëüíàÿ äîëÿ ëàêà;

Dï - äèàìåòð ïðîâîäà ñ ëàêîì, ìì;

Dæ - äèàìåòð æèëû ïðîâîäà, ìì,

Òàáëèöà 5 - Çíà÷åíèÿ äèàìåòðîâ ïðîâîäà ñ ëàêîì è áåç íåãî

Äèàìåòð æèëû (ìì)

Äèàìåòð ïðîâîäà ñ ëàêîì (ìì)

Îòíîñèòåëüíàÿ äîëÿ ëàêà

0,02

0,025

0,25

0,03

0,037

0,233333

0,04

0,05

0,25

0,06

0,074

0,233333

0,08

0,098

0,225

0,09

0,11

0,222222

0,14

0,166

0,185714

0,16

0,187

0,16875

0,2

0,23

0,15

0,3

0,337

0,123333

0,38

0,421

0,107895

0,45

0,495

0,1

0,6

0,653

0,088333

0,71

0,767

0,080282

1

1,068

0,068

1,4

1,479

0,056429


Ðèñóíîê 10 - Ãðàôèê çàâèñèìîñòè äîëè ëàêà îò äèàìåòðà ïðîâîäà

Ïî ãðàôèêó îïðåäåëèì ëèíèþ òðåíäà è ôóíêöèþ îïèñûâàþùóþ å¸:

= 0,238x4 - 0,8979x3 + 1,239x2 - 0,7813x + 0,2712 (27)

ãäå: x - äèàìåòð æèëû

ó - îáú¸ìíàÿ äîëÿ ëàêà.

Ôîðìóëó (27) ïðèìåíèì äëÿ äàëüíåéøèõ ðàñ÷åòîâ â ïðîãðàììå MathCad.

Îöåíêà âëèÿíèÿ âåëè÷èíû ðàçìàãíè÷èâàþùåãî ôàêòîðà îò ñîîòíîøåíèÿ äëèíû ê ïîïåðå÷íîìó ñå÷åíèþ.

 ðàçäåëå 1.6 áûëè îïèñàíû ðàçìàãíè÷èâàþùåå ïîëå è ðàçìàãíè÷èâàþùèé ôàêòîð è áûëà ñîñòàâëåíà òàáëèöà 2 ïî ôîðìóëå (15) äëÿ îáðàçöà öèëèíäðè÷åñêîé ôîðìû ñ çàâèñèìîñòüþ âåëè÷èíû ðàçìàãíè÷èâàþùåãî ôàêòîðà îò ñîîòíîøåíèÿ äëèíû ê ïëîùàäè ïîïåðå÷íîãî ñå÷åíèÿ. Èç ôîðìóëû (15) è òàáëèöû 2 âèäíî, ÷òî äëÿ óìåíüøåíèÿ âëèÿíèÿ äåéñòâèÿ ðàçìàãíè÷èâàþùåãî ïîëÿ ñåðäå÷íèêà íåîáõîäèìî èñïîëüçîâàòü ìàêñèìàëüíî âîçìîæíóþ äëèíó ñåðäå÷íèêà.  ðàçäåëå 1.1 îïèñàíà ìàãíèòíàÿ ñèñòåìà óïðàâëåíèÿ íàíîñïóòíèêîì â êîòîðîé îïèñàíû òðåáîâàíèÿ ê ðàñïîëîæåíèþ êàòóøåê íà ñïóòíèêå. Ïðè ýòîì öåëåñîîáðàçíî çàäàòüñÿ ìàêñèìàëüíûìè äëèíàìè êàòóøåê è ïðîâåñòè ïîäáîð èõ îïòèìàëüíûõ çíà÷åíèé äèàìåòðîâ äëÿ ïîëó÷åíèÿ ìèíèìàëüíûõ çíà÷åíèé òîêà ïîòðåáëåíèÿ è ìàññû ñ ïîëó÷åíèåì ìàêñèìàëüíîãî ìàãíèòíîãî ìîìåíòà

Âûáîð ìàòåðèàëà ñåðäå÷íèêà.  ðàçäåëå 1.4 òàáëèöå 1 ñðåäè ïåðå÷èñëåííûõ ìàòåðèàëîâ äëÿ èçãîòîâëåíèÿ ñåðäå÷íèêà áîëåå âñåãî ïîäõîäÿò ñïëàâû 79ÍÌ è ñóïåðìàëëîé, òàê êàê îáëàäàþò ìàëîé êîýðöèòèâíîé ñèëîé, âûñîêîé íà÷àëüíîé è ìàêñèìàëüíîé ìàãíèòíîé ïðîíèöàåìîñòüþ.

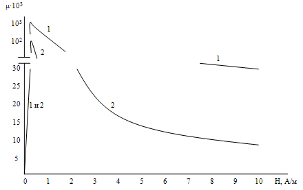
Îöåíêà çàâèñèìîñòè ìàãíèòíîé ïðîíèöàåìîñòè îò âåëè÷èíû ïîëÿ.

1 - ñóïåðìàëëîé, 2 - ïåðìàëëîé 79ÍÌ

Ðèñóíîê 11 - Çàâèñèìîñòü ìàãíèòíîé ïðîíèöàåìîñòè îò âåëè÷èíû ïîëÿ

 ðàçäåëå 1.8 ïðîâåä¸í îáçîð ìåäíûõ ïîâîäîâ ñ èçîëÿöèåé. Ñðåäè ïðèâåä¸ííûõ òèïîâ ïðîâîäà áîëåå âñåãî ïîäõîäèò ïðîâîä ìàðêè ÏÝÂ-1 òàê êàê îí îáëàäàåò áîëüøîé íàðàáîòêîé, ìàëîé òîëùèíîé ëàêà, ïðîâîä âñåõ äèàìåòðîâ óäîâëåòâîðÿåò ïðîáîéíîìó íàïðÿæåíèþ, âûïóñêàåòñÿ â ðàñøèðåííîì äèàïàçîíå äèàìåòðîâ.

Ïî ôîðìóëå (18) ïîñ÷èòàåì óäåëüíîå ñîïðîòèâëåíèå ìåäíîãî ïðîâîäà ïðè ìàêñèìàëüíîé ðàáî÷åé òåìïåðàòóðå (+50Ñ) òàê êàê ïðè ìàêñèìàëüíîé òåìïåðàòóðå áóäóò ìàêñèìàëüíûå ïîòåðè â îáìîòêå è êàê âèäíî èç ôîðìóë (1) è (39) ìèíèìàëüíûé ìàãíèòíûé ìîìåíò.

к  1.58·10-610.0043·50;

к = 1.919·10-6 Ом·см.

Îïðåäåëèì ãàáàðèòû ìàãíèòíûõ êàòóøåê.

 êà÷åñòâå ñåðäå÷íèêà êàòóøêè 1 öåëåñîîáðàçíî èñïîëüçîâàòü ïðîäîëüíûé ìàãíèòíûé ñòåðæåíü ïàññèâíî-ìàãíèòíîé ñèñòåìû îðèåíòàöèè, ïîñêîëüêó îí âûïîëíåí èç ïåðìàëëîÿ 79ÍÌ, êàê îòìå÷àëîñü âûøå ýòî îäèí èç íàèáîëåå ïîäõîäÿùèõ ñïëàâîâ. Ê òîìó æå îí ïðåäóñìîòðåí êîíñòðóêöèåé, à çíà÷èò, åãî ìàññà óæå â êîíñòðóêöèè ó÷òåíà, ñëåäîâàòåëüíî, ìàññà êàòóøêè 1 áóäåò ñîñòîÿòü òîëüêî èç ìàññû ñàìîé îáìîòêè.

Ïîñêîëüêó êàòóøêà 2 ðàñïîëîæåíà ïåðïåíäèêóëÿðíî ê êàòóøêå 1 òî å¸ äëèíó îãðàíè÷èâàåò äèàìåòð íàíîñïóòíèêà. Èñïîëüçîâàòü â êà÷åñòâå ñåðäå÷íèêà ïîïåðå÷íûå ñòåðæíè íåâîçìîæíî, ïîñêîëüêó îíè èìåþò áîëüøîå ÷èñëî ñâàðíûõ øâîâ è ðàñïîëîæåíû áëèçêî äðóã ê äðóãó â ðÿä, à òàêîå ðàñïîëîæåíèå óâåëè÷èâàåò ðàçìàãíè÷èâàþùèé ôàêòîð. Îïðåäåëèìñÿ ñ äèàìåòðîì ñåðäå÷íèêà, ïîñêîëüêó ìàãíèòíûé ìîìåíò ñåðäå÷íèêà íàìíîãî áîëüøå ÷åì îáìîòêè (ïðè áîëüøèõ ñîîòíîøåíèÿõ äëèííû ê äèàìåòðó). Êàê âèäíî èç ôîðìóë (1), (44), (45) ìàãíèòíûé ìîìåíò ñåðäå÷íèêà çàâèñèò îò åãî îáúåìà è ðàçìàãíè÷èâàþùåãî ôàêòîðà ïðè ïîñòîÿííîì ïîëå êàòóøêè. Ïî ôîðìóëàì (15), (26), (27), (32) - (39) ïîñòðîèì ãðàôèêè çàâèñèìîñòè îáðàòíîãî ðàçìàãíè÷èâàþùåãî ôàêòîðà è îáú¸ìà ñåðäå÷íèêà îò åãî äèàìåòðà (ðèñóíîê 12)

Ðèñóíîê 12 - Ãðàôèê çàâèñèìîñòè îáú¸ìà è îáðàòíîãî ðàçìàãíè÷èâàþùåãî ôàêòîðà îò äèàìåòðà è äëèíû

Èñõîäÿ èç ãðàôèêà, íà ðèñóíêå 12, âûáèðàåì äèàìåòð ñåðäå÷íèêà ðàâíûé 0,5 ñì.

Çíàÿ äèàìåòð è äëèíó ñåðäå÷íèêà, òðåáóåìûé ìàãíèòíûé ìîìåíò, ïàðàìåòðû ìàòåðèàëà ñåðäå÷íèêà, èç ôîðìóë (1), (2), (15), (26), (27) - (45) ñîñòàâèì ñèñòåìó óðàâíåíèé ñ äâóìÿ íåèçâåñòíûìè (äèàìåòð è ÷èñëî âèòêîâ). Î÷åâèäíî, ÷òî åñòü íåñêîëüêî ðåøåíèé, íî íàñ èíòåðåñóåò òîëüêî òî, ïðè êîòîðîì òîê ïîòðåáëåíèÿ ìèíèìàëåí. Äëÿ ýòîãî ïîñòðîèì ãðàôèê çàâèñèìîñòè òîêà îò ÷èñëà âèòêîâ.

Ðèñóíîê 13 - Ãðàôèê çàâèñèìîñòè ðàçìàãíè÷èâàþùåãî ôàêòîðà îò äèàìåòðà è äëèíû

Èç ãðàôèêà âèäíî, ÷òî òîê óìåíüøàåòñÿ ïðè óâåëè÷åíèè ÷èñëà âèòêîâ. Ñëåäîâàòåëüíî, èç íåñêîëüêèõ ðåøåíèé âûáèðàåì ðåøåíèå ñ áîëüøèì ÷èñëîì âèòêîâ è ìåíüøèì äèàìåòðîì ïðîâîäà. Ýòî çíà÷åíèÿ: äèàìåòð 0,0799 ìì è 0,078 ìì, ÷èñëî âèòêîâ 6625 è 1245 äëÿ êàòóøêè 1 è 2 ñîîòâåòñòâåííî. Ïî òåõíè÷åñêèì óñëîâèÿì íà ïðîâîä ÏÝÂ-1 [21] ïîäáåðåì íàèáîëåå áëèçêèé ïî äèàìåòðó ïðîâîä â ñòîðîíó óâåëè÷åíèÿ. Ýòî ïðîâîä 0,08 ìì äëÿ äâóõ êàòóøåê, îêðóãëèì ÷èñëî âèòêîâ äî 10 â áîëüøóþ ñòîðîíó, ïîëó÷èì 6630 è 1250 ñîîòâåòñòâåííî.

Òåïåðü ïðîâåä¸ì óòî÷í¸ííîå âû÷èñëåíèå ìàãíèòíîãî ìîìåíòà, òîêà ïîòðåáëåíèÿ, ìàññû, ãàáàðèòîâ ìàãíèòíûõ êàòóøåê.

Äëÿ ýòîãî âîñïîëüçóåìñÿ ôîðìóëàìè: (1), (2), (15), (26), (27) - (45).

Íàõîäèì ìàññó ñåðäå÷íèêà è êàòóøêè ïî ôîðìóëàì:

mñ = ñ · Lñ / Sñ, (28)

ãäå: mñ - ìàññà ñåðäå÷íèêà, ã;

ñ - ïëîòíîñòü ìàòåðèàëà ñåðäå÷íèêà äëÿ ñóïåðìàëëîÿ, ñ = 8,6 ã/ñì3;

Lñ - äëèíà ñåðäå÷íèêà, ñì;

Sñ - ïëîùàäü ïîïåðå÷íîãî ñå÷åíèÿ ñåðäå÷íèêà, ñì2.

mê = ê · N · Lâ / Sæ , (29)

ãäå: mê - ìàññà êàòóøêè, ã;

ê - ïëîòíîñòü ìàòåðèàëà îáìîòêè äëÿ ìåäè, ê = 8,96 ã/ñì3;

Lâ - äëèíà âèêà, ñì;

N - ÷èñëî âèòêîâ, øò;

Sæ - ïëîùàäü ïîïåðå÷íîãî ñå÷åíèÿ ìåòàëëè÷åñêîé æèëû ïðîâîäà, ñì2.

Ïîëíàÿ ìàññà êàòóøêè ðàññ÷èòûâàåòñÿ ïî ôîðìóëå:

m = ms + mk . (31)

×èñëî ñëî¸â íàìîòêè ïðîâîäà:

Nñë = Dï ·N / Lc, (32)

ãäå: Dï - äèàìåòð ïðîâîäà íàéäåííûé ïî ôîðìóëå (26), ñì;

Lñ - äëèíà ñåðäå÷íèêà, ñì.

Çíàÿ ÷èñëî ñëî¸â âû÷èñëèì ìàêñèìàëüíóþ ïëîùàäü ïîïåðå÷íîãî ñå÷åíèÿ êàòóøêè:

, (33)

ãäå: Nñë - ÷èñëî ñëî¸â, øò.

Ñðåäíÿÿ ïëîùàäü ïîïåðå÷íîãî ñå÷åíèÿ êàòóøêè

Sñð = (Smax +Sc)/2 , (34)

ãäå: Smax - ìàêñèìàëüíàÿ ïëîùàäü ïîïåðå÷íîãî ñå÷åíèÿ êàòóøêè.

Ïî ñðåäíåé ïëîùàäè ïîñ÷èòàåì ñðåäíèé äèàìåòð:

, (35)

ãäå: Sñð - ñðåäíÿÿ ïëîùàäü ïîïåðå÷íîãî ñå÷åíèÿ êàòóøêè.

Ñðåäíÿÿ äëèíà âèòêà:

Lâ = π·Dñð, (36)

ãäå: Dñð - ñðåäíèé äèàìåòð êàòóøêè.

Äëÿ âû÷èñëåíèÿ ðàçìàãíè÷èâàþùåãî ôàêòîðà ñåðäå÷íèêà ïî ôîðìóëå (15) íåîáõîäèìî ðàññ÷èòàòü îòíîøåíèå äëèíû ê äèàìåòðó (LD).

LD = Lc/Dñ. (37)

Êàê îòìå÷àëîñü âûøå ïðî îòíîøåíèå äëèíû ê äèàìåòðó â äàëüíåéøèõ ðàñ÷¸òàõ ïðèìåì åãî ðàâíûì 9.

Ñîïðîòèâëåíèå êàòóøêè:

, (38)

ãäå: R - ñîïðîòèâëåíèå êàòóøêè, Îì;

ρý - óäåëüíîå ñîïðîòèâëåíèå ìàòåðèàëà êàòóøêè, Îì·ñì.

Âû÷èñëèì âåëè÷èíó ïîñòîÿííîãî òîêà:

, (39)

ãäå: I - òîê, À;

U - íàïðÿæåíèå ïèòàíèÿ, Â.

Ìàãíèòíûé ìîìåíò êàòóøêè:

, (40)

ãäå: Sñð - ñðåäíÿÿ ïëîùàäü ïîïåðå÷íîãî ñå÷åíèÿ êàòóøêè, ñì2.

Íàïðÿæ¸ííîñòü ìàãíèòíîãî ïîëÿ ñîçäàâàåìîãî êàòóøêîé, À/ì:

 , (41)

ãäå: Lñ - äëèíà ñåðäå÷íèêà (êàòóøêè), ñì.

Ðàñ÷¸ò âåëè÷èíû èñòèííîé íàïðÿæ¸ííîñòè ìàãíèòíîãî ïîëÿ:

, (42)

ãäå: Íb - íàïðÿæ¸ííîñòü ìàãíèòíîãî ïîëÿ ñîçäàâàåìîãî êàòóøêîé, À/ì;

Nf - ðàçìàãíè÷èâàþùèé ôàêòîð.

Íàìàãíè÷åííîñòü ñåðäå÷íèêà â ïîëå Hi, À/ì:

, (43)

ãäå: Hi - èñòèííàÿ âåëè÷èíà ìàãíèòíîãî ïîëÿ, À/ì.

Ìàãíèòíûé ìîìåíò ñåðäå÷íèêà:

, (44)

ãäå: J - íàìàãíè÷åííîñòü ñåðäå÷íèêà, À/ì.

Îáùèé ìàãíèòíûé ìîìåíò ìàãíèòíîé êàòóøêè:

MÌ = ÌÌÊ + ÌÌÑ. (45)

Ïðîâåäåííûé ðàñ÷¸ò â ïðîãðàììå MathCad ñ ïðèìåíåíèåì ôîðìóë (1), (2), (15), (26), (27), (28) - (45), äàë ñëåäóþùèé ðåçóëüòàò äëÿ äâóõ ìàãíèòíûõ êàòóøåê;

äëÿ êàòóøêè 1:

ìàãíèòíûé ìîìåíò = 2,2 À·ì.2

÷èñëî ñëî¸â îáìîòêè ïðîâîäà = 3

ìàññà ìåäíîãî ïðîâîäà = 4,02 ã.

ïîòðåáëÿåìûé òîê = 35 ìÀ.

îáú¸ì êàòóøêè ñ ñåðäå÷íèêîì = 2,89·10-6 ì.

äëÿ êàòóøêè 2:

ìàãíèòíûé ìîìåíò = 1,09 À·ì.2

÷èñëî ñëî¸â îáìîòêè ïðîâîäà = 7

ìàññà = 40 ã.

ïîòðåáëÿåìûé òîê = 14 ìÀ.

îáú¸ì êàòóøêè ñ ñåðäå÷íèêîì = 3,53·10-6 ì.

2.1.5 Àíàëèç ðåçóëüòàòîâ ðàñ÷åòà

Ïðèìåíåíèå ñåðäå÷íèêà â äàííîì ðàñ÷åòå ïîçâîëèëî óìåíüøèòü ìàññó äëÿ êàòóøêè 1 â 9 ðàçà, îáú¸ì çàíèìàåìûé êàòóøêîé â 10 ðàç ó äâóõ êàòóøåê, è óâåëè÷èòü ìàãíèòíûé ìîìåíò â 4 è 9 ðàç äëÿ ìàãíèòíûõ êàòóøåê 2 è 1 ñîîòâåòñòâåííî.  êà÷åñòâå ñåðäå÷íèêà ìàãíèòíîé êàòóøêè 1 ïðèìåí¸í ìàãíèòîìÿãêèé ìàòåðèàë ñ ìàëîé êîýðöèòèâíîé ñèëîé (ïåðìàëëîé 79 ÍÌ), äëÿ êàòóøêè 2 - ñóïåðìàëëîé, îáëàäàþùèé ìåíüøåé êîýðöåòèâíîé ñèëîé è áîëüøåé ïðîíèöàåìîñòüþ ïî ñðàâíåíèþ ñ ïåðìàëëîåì.

Íî äàæå íåáîëüøîå çíà÷åíèå îñòàòî÷íîé íàìàãíè÷åííîñòè ñåðäå÷íèêà ÷åðåç äëèòåëüíîå âðåìÿ ìîæåò íåãàòèâíî ñêàçàòüñÿ íà ïðàâèëüíîñòü îðèåíòàöèè ñïóòíèêà, ïîýòîìó íåîáõîäèìî å¸ ñíèçèòü äî íóëÿ. Ïðîâåä¸ì îáçîð ìåòîäîâ êîìïåíñàöèè îñòàòî÷íîé íàìàãíè÷åííîñòè.

.2 Îáçîð âàðèàíòîâ êîìïåíñàöèè îñòàòî÷íîé íàìàãíè÷åííîñòè

 íàøåì ñëó÷àå êîýðöèòèâíàÿ ñèëà ÿâëÿåòñÿ âåñüìà âðåäíûì ôàêòîðîì, îò êîòîðîãî íåîáõîäèìî èçáàâèòüñÿ, òàê êàê ïðè îòêëþ÷åíèè ïèòàíèÿ ñ êàòóøêè îíà íå äîëæíà îáëàäàòü ìàãíèòíûì ìîìåíòîì, êîòîðûé è ÿâëÿåòñÿ ýëåìåíòîì óïðàâëåíèÿ îðèåíòàöèåé. Èçáàâèòüñÿ îò êîýðöèòèâíîé ñèëû ìîæíî íåñêîëüêèìè ñïîñîáàìè

- èñïîëüçóÿ ìàãíèòîìÿãêèå ìàòåðèàëû ñåðäå÷íèêà.

çà ñ÷¸ò ðàçìàãíè÷èâàþùåãî ôàêòîðà, ó êàòóøåê ñ ìàëûì çíà÷åíèåì

çàìûêàíèåì ÝÄÑ ñàìîèíäóêöèè â êîíòóðå êàòóøêè.

äîïîëíèòåëüíàÿ ýëåêòðîííàÿ ñõåìà ðàçìàãíè÷èâàíèÿ ñ íåçàâèñèìîé îáìîòêîé

Ïðèìåíåíèå ìàãíèòîìÿãêèõ ìàòåðèàëîâ. Ìàãíèòîìÿãêèå ìàòåðèàëû îáëàäàþò âûñîêèìè çíà÷åíèÿìè ìàãíèòíîé ïðîíèöàåìîñòè è ìàëîé êîýðöèòèâíîé ñèëîé, íî ïîñêîëüêó ñåðäå÷íèê ðàáîòàåò â ñèëüíûõ ìàãíèòíûõ ïîëÿõ è íàìàãíè÷èâàåòñÿ äî íàñûùåíèÿ, òî ïîñëå ïðîïàäàíèÿ ïîëÿ êàòóøêè îí âñ¸ æå íåìíîãî îñòà¸òñÿ íàìàãíè÷åí è ïîëíîãî èñ÷åçíîâåíèÿ ïîëÿ íå ïðîèñõîäèò, ÷òî íåäîïóñòèìî. Äàííûé ìåòîä íåîáõîäèìî èñïîëüçîâàòü â ñîâîêóïíîñòè ñ äðóãèìè ìåòîäàìè.

Çà ñ÷¸ò ðàçìàãíè÷èâàþùåãî ôàêòîðà, êîòîðûé çàâèñèò îò ãåîìåòðèè ñåðäå÷íèêà êàòóøêè îò ñîîòíîøåíèÿ äëèíû ê äèàìåòðó (L/D). Ôèçèêà äàííîãî ïðîöåññà ñîñòîèò â òîì, ÷òî íà òîðöàõ ñåðäå÷íèêà îáðàçóþòñÿ çàêðóãë¸ííûå ìàãíèòíûå ñèëîâûå ëèíèè êîòîðûå çàìûêàþò êðàÿ ñåðäå÷íèêà êàòóøêè. Îíè ñèëüíî îñëàáëÿþò âûðàáàòûâàåìîå êàòóøêîé ìàãíèòíîå ïîëå. ×åì ñåðäå÷íèê êîðî÷å è ÷åì áîëüøå åãî äèàìåòð, òåì áîëüøå äåéñòâèå ðàçìàãíè÷èâàþùåãî ïîëÿ. Ïîñëå ïðîïàäàíèÿ âíåøíåãî ïîëÿ, ðàçìàãíè÷èâàþùåå ïîëå íà÷èíàåò ðàçìàãíè÷èâàòü ñåðäå÷íèê, ÷òî è òðåáóåòñÿ, íî îíî òàêæå äåéñòâóåò è âî âíåøíåì ïîëå, òåì ñàìûì îñëàáëÿÿ ïîëå êàòóøêè. Ïîýòîìó èñïîëüçîâàíèå ñåðäå÷íèêà ñ áîëüøèì ðàçìàãíè÷èâàþùèì ïîëåì íå öåëåñîîáðàçíî, òàê êàê îíè íå áóäóò äàâàòü îùóòèìîãî óñèëåíèÿ ìàãíèòíîãî ìîìåíòà. À ñàì ìåòîä ñëàáî ýôôåêòèâåí ïðè èñïîëüçîâàíèè äëèíûõ è òîíêèõ ñåðäå÷íèêîâ.

Çàìûêàíèåì ÝÄÑ ñàìîèíäóêöèè. Íàèáîëåå ýôôåêòèâíûé ñïîñîá áîðüáû ñ îñòàòî÷íîé íàìàãíè÷åííîñòüþ, íå îáëàäàåò çàâèñèìîñòüþ îò ãåîìåòðèè èëè òèïà ñåðäå÷íèêà. Íå òðåáóåò ïîòðåáëåíèÿ äîïîëíèòåëüíîé ýíåðãèè, ñàìîðåãóëèðóåìûé, íå òðåáóåò êîíòðîëÿ ïðîâåäåíèÿ ïðîöåññà.

Ðàññìîòðèì ïðèíöèï ðàáîòû. Ïðè ïîÿâëåíèè òîêà â öåïè êàòóøêè âîçíèêàåò íàïðÿæ¸ííîñòü ìàãíèòíîãî ïîëÿ, âûçûâàÿ ðîñò èíäóêöèè ìàãíèòíîãî ïîëÿ, òî÷êè 1-2 ðèñóíîê 14. Ïðè ïðîïàäàíèè òîêà â öåïè ïîëå ïàäàåò, à èíäóêöèÿ íå ïàäàåò äî êîíöà, à ïåðåõîäèò â òî÷êó Bc, ýòî è åñòü îñòàòî÷íàÿ íàìàãíè÷åííîñòü, òî÷êè 2-3. Êàê èçâåñòíî ïðè ïðîïàäàíèè òîêà, èíäóêòèâíîñòü ñòðåìèòñÿ âåðíóòü åãî îáðàòíî, âîçíèêàåò ÝÄÑ ñàìîèíäóêöèè ñ îáðàòíîé ïîëÿðíîñòüþ. Ïðè çàìûêàíèè âûâîäîâ êàòóøêè ìåæäó ñîáîé â ìîìåíò âîçíèêíîâåíèÿ ÝÄÑ ñàìîèíäóêöèè, èìïóëüñ ÝÄÑ íà÷í¸ò ïåðåìàãíè÷èâàòü êàòóøêó â ïðîòèâîïîëîæåííóþ ñòîðîíó. Ïîñëå ïåðåìàãíè÷èâàíèÿ ñåðäå÷íèêà â ïðîòèâîïîëîæíóþ ñòîðîíó ïðîïàäàíèå ïåðâîãî èìïóëüñà ÝÄÑ ñàìîèíäóêöèè âûçîâåð ïîÿâëåíèå âòîðîãî ïðîòèâîïîëîæåííîé ïîëÿðíîñòè ïåðâîìó è òàê áóäåò ïðîäîëæàòüñÿ äî òåõ ïîð ïîêà ïîòåðè ïîëíîñòüþ íå óíè÷òîæàò ýòî ÝÄÑ ñàìîèíäóêöèè. Ïðè ýòîì ÷àñòîòà ïåðåìàãíè÷èâàíèÿ áóäåò ñîîòâåòñòâîâàòü ñîáñòâåííîé ðåçîíàíñíîé ÷àñòîòå êàòóøêè.  êàòóøêå áåç ñåðäå÷íèêà áóäóò äåéñòâîâàòü òîëüêî ïîòåðè â ñîïðîòèâëåíèè îáìîòêè, à â êàòóøêå ñ ñåðäå÷íèêîì åù¸ è ïîòåðè íà ïåðåìàãíè÷èâàíèå ñåðäå÷íèêà, ó ìàãíèòîìÿãêèõ ñåðäå÷íèêîâ ïîòåðè áóäóò ìåíüøå ÷åì ó ìàãíèòîòâ¸ðäûõ.


Äîïîëíèòåëüíàÿ ýëåêòðîííàÿ ñõåìà ðàçìàãíè÷èâàíèÿ ñ íåçàâèñèìîé îáìîòêîé. ßâëÿåòñÿ ñàìûì ýôôåêòèâíûì âàðèàíòîì, íî òðåáóåò äîïîëíèòåëüíîãî óñëîæíåíèÿ ñõåìû è ìàìîé êàòóøêè, ÷òî íå áëàãîïðèÿòíî ñêàçûâàåòñÿ íà íà䏿íîñòè êîñìè÷åñêîãî àïïàðàòà, òàê êàê óâåëè÷åíèå ÷èñëà ýëåìåíòîâ è ïàÿíûõ ñîåäèíåíèé, óìåíüøàåò íà䏿íîñòü.

 ðåçóëüòàòå ó÷èòûâàÿ âñå äîñòîèíñòâà è íåäîñòàòêè ïåðå÷èñëåííûõ ìåòîäîâ çà îñíîâíîé âîçüì¸ì ìåòîä çàìûêàíèÿ ÝÄÑ ñàìîèíäóêöèè.

3. Ýêñïåðèìåíòàëüíàÿ ÷àñòü

.1 Ìåòîäèêà èññëåäîâàíèÿ

 äàííîì ðàçäåëå ðàáîòû ïðîâîäèòñÿ èññëåäîâàíèå êîìïåíñàöèè îñòàòî÷íîé íàìàãíè÷åííîñòè êàòóøêè ñ ñåðäå÷íèêîì.

.1.1 Îáúåêòû èññëåäîâàíèÿ

Äëÿ èññëåäîâàíèÿ áûëè âûáðàíû ñåðäå÷íèêè èç ïåðìàëëîÿ 79 ÍÌ è ýëåêòðîòåõíè÷åñêîé ñòàëè Ý31 äèàìåòðîì 12 ìì, äëèíîé 15 è 20 ñì ñîîòâåòñòâåííî, êàòóøêà, ñîäåðæàùàÿ 11000 âèòêîâ ïðîâîäà ÏÝÂ-1 ñå÷åíèåì 0,063ìì ñ ñîïðîòèâëåíèåì îáìîòêè 3800 Îì, äëèíîé 14ìì è âíóòðåííèì äèàìåòðîì 12ìì.

.1.2 Àïïàðàòóðà äëÿ ïðîâåäåíèÿ èññëåäîâàíèÿ

Ãåíåðàòîð èìïóëüñíûé Ã5-54. Ãåíåðàòîð èìïóëüñíûé, ñðåäíå÷àñòîòíûé, ñ ðåãóëèðîâêîé àìïëèòóäû, ÷àñòîòû è ñêâàæíîñòè. Èñòî÷íèê ïèòàíèÿ (ïîñòîÿííîãî òîêà) Á5-7. Èñòî÷íèê ïèòàíèÿ ïîñòîÿííîãî òîêà èìååò îäèí âûõîä, ðó÷êó ðåãóëèðîâêè íàïðÿæåíèÿ äî 30Â, àâòîìàò çàùèòû îò ïåðåãðóçêè íà 3À. Ìàêåòíàÿ ïëàòà. Âûïîëíåíà íà ïðîòðàâëåííîì òåêñòîëèòå ñ óñòàíîâëåííûìè íà íåé îðãàíàìè óïðàâëåíèÿ (êíîïêàìè, ïåðåêëþ÷àòåëÿìè) ðàçú¸ìàìè äëÿ ïîäêëþ÷åíèÿ ïèòàíèÿ, ãåíåðàòîðà, èññëåäóåìîé êàòóøêè. Îíà ïðåäñòàâëÿåò ñîáîé óñèëèòåëü òîêà äëÿ êàòóøêè, ñîáðàíà íà ìèêðîñõåìå ëîãè÷åñêîé èíâåðñèè è òðàíçèñòîðíîì êëþ÷å. Ïëàòó ìîæíî óñòàíîâèòü â íåñêîëüêî ðåæèìîâ (êîíäåíñàòîð, äèîä, ÊÌÎÏ-âûõîä). Ðåæèì "êîíäåíñàòîð" òîãäà ïàðàëëåëüíî êàòóøêå áóäåò âêëþ÷åí êîíäåíñàòîð.  ýòîì ðåæèìå ïîñëå ïîäà÷è èìïóëüñà òîêà â êàòóøêå íå áóäåò ïîÿâëåíèÿ ÝÄÑ ñàìîèíäóêöèè (ðèñóíîê 15). Äàííûé ðåæèì íåîáõîäèì äëÿ íàìàãíè÷èâàíèÿ ñåðäå÷íèêà è îïðåäåëåíèÿ åãî îñòàòî÷íîé íàìàãíè÷åííîñòè.


Ðåæèì "äèîä" âêëþ÷àåò ïàðàëëåëüíî êàòóøêå äèîä îáðàòíîé ïîëÿðíîñòüþ, òåì ñàìûì äèîä çàìûêàåò ÷åðåç ñåáÿ îáðàòíûé èìïóëüñ ÝÄÑ ñàìîèíäóêöèè êàòóøêè.

Ðåæèì "ÊÌÎÏ âûõîä", ïðåäíàçíà÷åí äëÿ ïîäêëþ÷åíèÿ êàòóøêè íåïîñðåäñòâåííî ê âûõîäó ìèêðîñõåìû ëîãèêè èìåþùèé ÊÌÎÏ âûõîä.  ýòîì ðåæèìå ñðàçó æå ïîñëå îêîí÷àíèÿ èìïóëüñà òîêà âûõîä ìèêðîñõåìû ïåðåêëþ÷àåòñÿ â ñîñòîÿíèå ëîãè÷åñêîãî íóëÿ çàìûêàÿ òåì ñàìûì îáà âûâîäà êàòóøêè ìåæäó ñîáîé. Äàííûé ðåæèì èìååò îãðàíè÷åíèå ïî òîêó â 25 ìÀ, à åñëè ó÷åñòü, ÷òî ÝÄÑ ñàìîèíäóêöèè ìîæåò ïðåâîñõîäèòü ïîäàâàåìîå íàïðÿæåíèå, òî ïîëó÷èì çíà÷åíèå íå áîëåå 10 ìÀ.

Îñöèëëîãðàô Ñ1-96 äâóëó÷åâîé, âûñîêîîìíûé âõîä, îáëàäàåò âûñîêîé ÷óâñòâèòåëüíîñòüþ è øèðîêîé ïîëîñîé ïðîïóñêàíèÿ ÷àñòîò.

Ìàãíèòîìåòð HMR2300 âûñîêî÷óâñòâèòåëüíûé èçìåðèòåëü ìàãíèòíîé èíäóêöèè, ñî øêàëîé îò -2000 ìÃñ äî +2000 ìÃñ. Èìååò òðè äàò÷èêà îðèåíòèðîâàííûõ äðóã îòíîñèòåëüíî äðóãà ïåðïåíäèêóëÿðíî. Íå èìååò ñîáñòâåííûõ îðãàíîâ îòîáðàæåíèÿ èíôîðìàöèè, îòîáðàæåíèå îáåñïå÷èâàåòñÿ ÷åðåç ÏÊ. Ïèòàåòñÿ íàïðÿæåíèåì 12 Â, ïîòðåáëÿåò 26 ìÀ, ïîäêëþ÷àåòñÿ ê ÏÊ ÷åðåç ÑÎÌ-ïîðò. Ïðèáîð îáëàäàåò íå âûñîêîé ñêîðîñòüþ îöèôðîâêè (1Ãö).

3.1.3 Ïîñëåäîâàòåëüíîñòü âûïîëíåíèÿ, ðåçóëüòàòû ýêñïåðèìåíòîâ

Íàñòðîéêà ìàãíèòîìåòðà. Ïîñêîëüêó ìàãíèòîìåòð îáëàäàåò âûñîêîé ÷óâñòâèòåëüíîñòüþ, à áîëüøèíñòâî ïðèáîðîâ â ëàáîðàòîðèè âî âðåìÿ ðàáîòû èçëó÷àþò ñâîè ìàãíèòíûå ïîëÿ, òî ñóùåñòâóåò íåîáõîäèìîñòü îòêàëèáðîâàòü. Äëÿ ýòîãî íàõîäèì ìåñòî íà ðàáî÷åì ñòîëå, ãäå ìàãíèòîìåòð ïîêàçûâàåò íàèìåíüøåå çíà÷åíèå ìàãíèòíîãî ïîëÿ, ïðè ýòîì íà ìàãíèòîìåòðå äîëæåí áûòü óñòàíîâëåí îáðàçåö èññëåäîâàíèÿ (ñåðäå÷íèê èç ìàòåðèàëà ñ íàèáîëüøåé ìàãíèòíîé ïðîíèöàåìîñòüþ) äëÿ óñèëåíèÿ âíåøíèõ ïîëåé. Ïîñëå ôèêñèðîâàíèÿ ïåðâîãî çíà÷åíèÿ, ïåðåâîðà÷èâàåì ñåðäå÷íèê äðóãîé ñòîðîíîé è çàïèñûâàåì âòîðîå çíà÷åíèå. Ñðåäíåå çíà÷åíèå ïîêàçàíèé ìàãíèòîìåòðà áóäåì ñ÷èòàòü çà "íîëü". Çàôèêñèðóåì ïîëîæåíèå ìàãíèòîìåòðà. Ïîñêîëüêó ìàãíèòîìåòð äâóõïîëÿðíûé (âåêòîðíûé), óñëîâèìñÿ ñ÷èòàòü ïîëîæèòåëüíûì íàïðàâëåíèå ìàãíèòíîãî ïîëÿ â ñòîðîíó ìàãíèòîìåòðà, à îò íåãî - îòðèöàòåëüíûì.

Âûïîëíåíèå îïûòà ¹1. Ïîäêëþ÷àåì ïðèáîðû ïî ðèñóíêó 16. Öåëüþ äàííîãî îïûòà ÿâëÿåòñÿ, èçó÷åíèå âëèÿíèÿ ÝÄÑ ñàìîèíäóêöèè íà íàìàãíè÷åííîñòü ñåðäå÷íèêà. Âûáèðàåì ñåðäå÷íèê ñ íàèáîëüøåé ìàãíèòíîé ïðîíèöàåìîñòüþ (ïåðìàëëîé 79ÍÌ). Èçìåðèòåëüíóþ êàòóøêó, ñîñòîÿùóþ èç 30 âèòêîâ, ïîäêëþ÷àåì ê îñöèëëîãðàôó. Îíà ôèêñèðóåò èçìåíåíèå ìàãíèòíîãî ïîëÿ è íàìàãíè÷åííîñòè ñåðäå÷íèêà, îòîáðàæàÿ ñèãíàë íà îñöèëëîãðàôå (ðèñóíîê 17). Èìïóëüñíûé ñèãíàë ñ ãåíåðàòîðà ÷åðåç ìàêåòíóþ ïëàòó óñèëèâàåòñÿ è ïîäàåòñÿ íà êàòóøêó. À ïàðàëëåëüíî êàòóøêå ïîäêëþ÷àåì äèîä â îáðàòíîì íàïðàâëåíèè.


Ðèñóíîê 17 - Ñèãíàë èçìåðèòåëüíîé êàòóøêè.

Ïî ôîðìå ñèãíàëà èçìåðèòåëüíîé êàòóøêè âèäíî, ÷òî ñåðäå÷íèê ïåðåìàãíè÷èâàåòñÿ çà ñ÷¸ò ÝÄÑ ñàìîèíäóêöèè, ñëåäîâàòåëüíî íåîáõîäèìî ïðîâåñòè îïûò ïî èçìåðåíèþ îñòàòî÷íîé íàìàãíè÷åííîñòè ïîñëå ïåðåìàãíè÷èâàíèÿ.

Âûïîëíåíèå îïûòà ¹2. Ïîäêëþ÷àåì ïðèáîðû ïî ðèñóíêó 18 . Öåëüþ äàííîãî îïûòà ÿâëÿåòñÿ ïîëó÷åíèå ÷èñëåííûõ äàííûõ î âåëè÷èíå îñòàòî÷íîé íàìàãíè÷åííîñòè êîñâåííûì ìåòîäîì. Äëÿ ýòîãî âûáèðàåì ñåðäå÷íèê äëÿ èññëåäîâàíèÿ ñ íàèáîëüøåé êîýðöèòèâíîé ñèëîé (ñåðäå÷íèê èç ýëåêòðîòåõíè÷åñêîé ñòàëè Ý31).


Ñòàâèì íà ìàêåòíîé ïëàòå ðåæèì - "êîíäåíñàòîð", íàæàâ êíîïêó ìàêåòíîé ïëàòû íàìàãíè÷èâàåì ñåðäå÷íèê. Ïîñëå îòïóñêàíèÿ êíîïêè íàïðÿæåíèå ïàäàåò íå ìãíîâåííî, à ïëàâíî ïî êðèâîé ðàçðÿäà êîíäåíñàòîðà.  ýòîì ñëó÷àå â êàòóøêå íå áóäåò ïðîõîäèòü ïåðåõîäíîé ïðîöåññ ñ ïîÿâëåíèåì ÝÄÑ ñàìîèíäóêöèè à ñàì ñåðäå÷íèê îñòàíåòñÿ íàìàãíè÷åííûì. Ñäåëàåì òðè çàìåðà, ñîñòàâèì òàáëèöó êóäà è çàïèøåì ñðåäíå çíà÷åíèå îñòàòî÷íîé íàìàãíè÷åííîñòè, èçìåíèâ ïîëÿðíîñòü ïîäêëþ÷åíèÿ êàòóøêè ïîâòîðèì ýêñïåðèìåíò (òàáëèöà 6).

Ïåðåêëþ÷àåì ìàêåòíóþ ïëàòó â ðåæèì "äèîä" ïîâòîðÿåì ïðîäåëàííûé ýêñïåðèìåíò, äàííûå çàíîñèì â òàáëèöó 6.  äàííîì ðåæèìå â êàòóøêå âîçíèêàåò ÝÄÑ ñàìîèíäóêöèè îòðèöàòåëüíûé èìïóëüñ êîòîðîé çàìûêàåòñÿ ÷åðåç äèîä è ïåðåìàãíè÷èâàåò ñåðäå÷íèê.

Ïåðåêëþ÷àåì ìàêåòíóþ ïëàòó â ðåæèì "ÊÌÎÏ-âûõîä" ïîâòîðÿåì ïðîäåëàííûé ýêñïåðèìåíò, äàííûå çàíîñèì â òàáëèöó 6.  äàííîì ðåæèìå â êàòóøêå âîçíèêàåò ÝÄÑ ñàìîèíäóêöèè, êîòîðàÿ çàìûêàåòñÿ ÷åðåç âûõîä ìèêðîñõåìû.

Òàáëèöà 6 - Äàííûå ñ êîñâåííûìè èçìåðåíèÿìè îñòàòî÷íîé íàìàãíè÷åííîñòè

Íîìåð îïûòà

Ðåæèì

Ïîëÿðíîñòü âêëþ÷åíèÿ êàòóøêè

Âåëè÷èíà ìàãíèòíîãî ïîëÿ íà ðàññòîÿíèè 5ìì îò òîðöà ñåðäå÷íèêà äî ñåíñîðà èçìåðèòåëÿ.




ìÃñ

À/ì

1

Êîíäåíñàòîð

+

+30

0,375

2

Êîíäåíñàòîð

-

-30

-0,375

3

Äèîä

+

-2

-0,015

4

Äèîä

-

+2

0,015

5

ÊÌÎÏ âûõîä

+

0

0

6

ÊÌÎÏ âûõîä

-

0

0


Ïîâòîðíîå ïðîâåäåíèå ýêñïåðèìåíòà ñ ïðèìåíåíèåì ñåðäå÷íèêà èç ïåðìàëëîÿ 79 ÍÌ íå äàëî ïîëîæèòåëüíûõ ðåçóëüòàòîâ.

.2 Àíàëèç ðåçóëüòàòîâ ýêñïåðèìåíòà

Èç ïðîäåëàííûõ îïûòîâ ñî ñòàëüíûì ñåðäå÷íèêîì âèäíî, ÷òî ïðè âêëþ÷åíèè êîíäåíñàòîðà ìàãíèòîìåòð ïîêàçûâàåò ìàêñèìàëüíóþ îñòàòî÷íóþ íàìàãíè÷åííîñòü ñåðäå÷íèêà. Ïðè âêëþ÷åíèè äèîäà ïðîèñõîäèò îäíîêðàòíîå ïåðåìàãíè÷èâàíèå ñ ïðîòèâîïîëîæåííûì çíàêîì ìàãíèòíîãî ìîìåíòà. À ïðè âêëþ÷åíèè ÊÌÎÏ âûõîäà ïðîèñõîäèò öåëàÿ ñåðèÿ ïåðåìàãíè÷èâàíèè, â ðåçóëüòàòå äåéñòâèÿ êîòîðûõ îñòàòî÷íàÿ íàìàãíè÷åííîñòü ïîëíîñòüþ ïðîïàäàåò.

Ñëåäîâàòåëüíî, íàèáîëåå ýôôåêòèâíûé ìåòîä êîìïåíñàöèè îñòàòî÷íîé íàìàãíè÷åííîñòè ñåðäå÷íèêà, - ýòî èñïîëüçîâàíèå ÊÌÎÏ-âûõîäà äëÿ óïðàâëåíèÿ ìàãíèòíîé êàòóøêîé.

À ýêñïåðèìåíò ñ ïðèìåíåíèåì ñåðäå÷íèêà èç ïåðìàëëîÿ 79 ÍÌ íå äàë ïîëîæèòåëüíûõ ðåçóëüòàòîâ ïî ïðè÷èíå åãî ìàëîé êîýðöèòèâíîé ñèëû è âûñîêîãî ðàçìàãíè÷èâàþùåãî ïîëÿ.

4. Áåçîïàñíîñòü æèçíåäåÿòåëüíîñòè

Öåëüþ äàííîãî ðàçäåëà ÿâëÿåòñÿ ïðîâåäåíèå àíàëèçà îïåðàöèé, ïðîèçâîäèìûõ ïðè âûïîëíåíèè äèïëîìíîé ðàáîòû, äëÿ âûÿâëåíèÿ îïàñíûõ è âðåäíûõ ïðîèçâîäñòâåííûõ ôàêòîðîâ (ÎÂÏÔ), äåéñòâóþùèõ íà îðãàíèçì èññëåäîâàòåëÿ.

Ïðè âûïîëíåíèè ðàáîòû êðàéíå âàæíî ïðàâèëüíîå ñîáëþäåíèå âñåõ ïðàâèë áåçîïàñíîñòè ïðè ðàáîòå â ëàáîðàòîðèè, íåîáõîäèìî âûÿâèòü îïàñíûå è âðåäíûå ôàêòîðû, êîòîðûå ìîãóò âëèÿòü íà îðãàíèçì è òðóäîñïîñîáíîñòü ÷åëîâåêà. Òàêæå âàæíî ïðàâèëüíî ïîäîáðàòü óñëîâèÿ òðóäà, òàê êàê èõ àíàëèç èìååò îñíîâíîå çíà÷åíèå äëÿ ðàçðàáîòêè âñåõ ìåðîïðèÿòèé, îáåñïå÷èâàþùèõ çàùèòó ðàáîòàþùèõ îò îïàñíûõ è âðåäíûõ ïðîèçâîäñòâåííûõ ôàêòîðîâ. Óñëîâèÿ òðóäà ïðåäñòàâëÿþò ñîáîé êîìïëåêñ ïðîèçâîäèòåëüíûõ ôàêòîðîâ, îêàçûâàþùèõ âëèÿíèå íà çäîðîâüå è ðàáîòîñïîñîáíîñòü ÷åëîâåêà â ïðîöåññå òðóäà.

Òàêèì îáðàçîì, ýòîò ðàçäåë íàïðàâëåí íà ñîçäàíèå áåçîïàñíûõ, áåçâðåäíûõ è áëàãîïðèÿòíûõ äëÿ ÷åëîâåêà óñëîâèé òðóäà, ðàçðàáîòêó ìåð çàùèòû îò âûÿâëåííûõ îïàñíûõ è âðåäíûõ ïðîèçâîäñòâåííûõ ôàêòîðîâ.

.1 Èäåíòèôèêàöèÿ îïàñíûõ è âðåäíûõ ïðîèçâîäñòâåííûõ ôàêòîðîâ

 ðàçäåëå äàåòñÿ ïåðå÷åíü âñåõ îïàñíûõ è âðåäíûõ ïðîèçâîäñòâåííûõ ôàêòîðîâ, êîòîðûå ìîãóò ñîïóòñòâîâàòü êàæäîé èç âûïîëíÿåìûõ â ðàáîòå îïåðàöèé èëè ïðîÿâëÿòüñÿ ïðè ïðàêòè÷åñêîì èñïîëüçîâàíèè ðåçóëüòàòîâ ðàáîòû. Íîìåíêëàòóðà è êëàññèôèêàöèÿ îïàñíûõ è âðåäíûõ ôàêòîðîâ ñîîòâåòñòâóþò ÃÎÑÒ 12.0.003-74[7]. Ïðè âûïîëíåíèè äàííîé ÍÈÐ áûëè âûÿâëåíû îïàñíûå è âðåäíûå ïðîèçâîäñòâåííûå ôàêòîðû ñîãëàñíî ÃÎÑÒ 12.0.003-74[7]. Êîòîðûå ïðèâåäåíû â òàáëèöå 7.

Òàáëèöà 7 - Àíàëèç îïàñíûõ è âðåäíûõ ôàêòîðîâ

îïåðàöèÿ

Îáîðóäîâàíèå è ìàòåðèàëû

Âðåäíûé ôàêòîð

Íîðìàòèâíûé ïàðàìåòð



êëàññèôèêàöèÿ

ïåðå÷åíü


Ðàáîòà ñ ÏÊ

ÏÊ

Ôèçè÷åñêèé      Ôèçè÷åñêèé

Ïîâûøåííîå çíà÷åíèå íàïðÿæåíèÿ â ýëåêòðè÷åñêîé öåïè, çàìûêàíèå, êîòîðîå ìîæåò ïðîèçîéòè ÷åðåç òåëî ÷åëîâåêà U = 220 B, I = 1 À Ïîâûøåííûé óðîâåíü ýëåêòðîìàãíèòíûõ èçëó÷åíèé Å = 12 Â/ì

U = 2,0  I ≤ 0,3 ìÀ ïðè f = 50 Ãö E = 2,5 Â/ì H = 25 íÒë ïðè f = 5 - 2000 Ãö. E = 25 B/ì, H = 250 íÒë ïðè f = 2 - 400 êÃö



Ïñèõîôè- çèîëîãè÷åñêèé

Íàïðÿæåíèå çðåíèÿ

×åðåç êàæäûé ÷àñ ðàáîòû íóæåí 15 ìèíóòíûé ïåðåðûâ

Ðàáîòà ñ ìàêåòîì

Ìàêåò

Ôèçè÷åñêèé

Ïîâûøåííûé óðîâåíü ýëåêòðîìàãíèòíûõ èçëó÷åíèé Å = 12 Â/ì

E = 25 B/ì, H = 250 íÒë ïðè f = 2 - 400 êÃö



Ôèçè÷åñêèé

Ïîâûøåííîå çíà÷åíèå íàïðÿæåíèÿ â ýëåêòðè÷åñêîé öåïè,

U = 2,0  I ≤ 0,3 ìÀ ïðè




çàìûêàíèå, êîòîðîå ìîæåò ïðîèçîéòè ÷åðåç òåëî ÷åëîâåêà U = 220 B, I = 0,1 À

f = 50 Ãö



Ïñèõîôè- çèîëîãè÷åñêèé

Íàïðÿæåíèå çðåíèÿ

×åðåç êàæäûé ÷àñ ðàáîòû íóæåí 15 ìèíóòíûé ïåðåðûâ


Èçìåðèòåëüíàÿ àïïàðàòóðà

Ôèçè÷åñêèé

Ïîâûøåííîå çíà÷åíèå íàïðÿæåíèÿ â ýëåêòðè÷åñêîé öåïè, çàìûêàíèå, êîòîðîå ìîæåò ïðîèçîéòè ÷åðåç òåëî ÷åëîâåêà U = 220 B, I = 1 À

U = 2,0  I ≤ 0,3 ìÀ ïðè f = 50 Ãö


4.2 Õàðàêòåðèñòèêà èñïîëüçóåìûõ âåùåñòâ è ìàòåðèàëîâ

Õàðàêòåðèñòèêà èñïîëüçóåìûõ â ðàáîòå âåùåñòâ è ìàòåðèàëîâ (èñõîäíûõ è îáðàçóþùèõñÿ â ðåçóëüòàòå èõ âçàèìîäåéñòâèÿ) äîëæíà ñîäåðæàòü ñâåäåíèÿ, íåîáõîäèìûå äëÿ ñîñòàâëåíèÿ "Ïàñïîðòà áåçîïàñíîñòè âåùåñòâà (ìàòåðèàëà)", â ñîîòâåòñòâèè ñ ÃÎÑÒ Ð 50587-93[8]. Êðîìå òîãî, ìîãóò áûòü ðàññìîòðåíû õàðàêòåðèñòèêè ïîáî÷íûõ è ïðîìåæóòî÷íûõ ïðîäóêòîâ, êîòîðûå ìîãóò âûäåëÿòüñÿ èëè íàêàïëèâàòüñÿ â òåõíîëîãè÷åñêèõ ïðîöåññàõ è ïðîèçâîäñòâåííûõ îòõîäîâ.

 "Ïàñïîðò áåçîïàñíîñòè âåùåñòâà" âíîñÿòñÿ ôèçè÷åñêèå è õèìè÷åñêèå ñâîéñòâà âåùåñòâà è ñâåäåíèÿ î åãî ñòàáèëüíîñòè è õèìè÷åñêîé àêòèâíîñòè, êîòîðûå ìîãóò áûòü âçÿòû èç ñïðàâî÷íèêîâ ïî ôèçèêî-õèìè÷åñêèì ñâîéñòâàì, õàðàêòåðèñòèêè òîêñè÷íîñòè; õàðàêòåðèñòèêè âçðûâîïîæàðîîïàñíîñòè.

.2.1 Ôèçè÷åñêèå è õèìè÷åñêèå õàðàêòåðèñòèêè

Îñíîâíûå ôèçè÷åñêèå è õèìè÷åñêèå õàðàêòåðèñòèêè ïðèâåäåíû â òàáëèöå 8. Òàê êàê ýòè ñâîéñòâà äîëæíû õàðàêòåðèçîâàòü ñòåïåíü îïàñíîñòè óòå÷êè âåùåñòâà èç îáîðóäîâàíèÿ è åìêîñòåé, à òàêæå âîçìîæíîñòü è ïóòè èõ ïîïàäàíèÿ â îðãàíèçì, ñâåäåíèÿ îá àãðåãàòíîì ñîñòîÿíèè è äàâëåíèè ïàðîâ ïðèâîäÿòñÿ êàê ïðè êîìíàòíîé òåìïåðàòóðå, òàê è ïðè òåìïåðàòóðå ïðîâåäåíèÿ ýêñïåðèìåíòà.

Òàáëèöà 8 - Îñíîâíûå ôèçè÷åñêèå è õèìè÷åñêèå õàðàêòåðèñòèêè.

Ôàêòîð \ Ìàòåðèàë

Æåëåçî

Ìåäü

Ïåðìàëëîé

Ôèçè÷åñêîå ñîñòîÿíèå ïðè Í.Ó., öâåò

Òâ¸ðäûé ìåòàëë ñåðåáðèñòîãî öâåòà.

Òâ¸ðäûé ìåòàëë æ¸ëòî-ðûæåãî öâåòà

Òâ¸ðäûé ìåòàëë ñåðåáðèñòîãî öâåòà

ðH âîäíîãî ðàñòâîðà

Íå îáðàçóåò

Íå îáðàçóåò

Íå îáðàçóåò

Òåìïåðàòóðà êèïåíèÿ (ïëàâëåíèÿ)

 2750î C (1539î) C

 2600î C (1084î C)

 1820î C (1500î C)

Îêèñëèò. ñâ-âà

Íåò.

Íåò.

Íåò.

Äàâëåíèå ïàðîâ ïðè í. ó. (ïðè +50Ñ)

___

___

Ïëîòíîñòü

7,87 ã/ñì3

8,96 ã/ñì3

7,6 ã/ñì3

Ðàñòâîðèìîñòü

Íå ðàñòâîðèì

Íå ðàñòâîðèì

Íå ðàñòâîðèì

Ïðîâîäèìîñòü

10 000 000 (Îì×ì)-1

58 800 000 (Îì×ì)-1

10 750 000 (Îì×ì)-1

Ïðîíèöàåìîñòü

Äî 8000 (áåçðàçìåð)

≈ 1 (áåçðàçìåð)

Îò 10 äî 1000



4.2.2 Õàðàêòåðèñòèêè òîêñè÷íîñòè

Õàðàêòåðèñòèêè òîêñè÷íîñòè, ñîäåðæàùèåñÿ â ÃÎÑÒ12.1.005-88[9]: âåëè÷èíà ïðåäåëüíî äîïóñòèìîé êîíöåíòðàöèè (ÏÄÊ), êëàññ îïàñíîñòè, îñîáåííîñòè äåéñòâèÿ íà îðãàíèçì óêàçàíû â òàáëèöå 9 .

Òàáëèöà 9 - Êëàññèôèêàöèÿ âåùåñòâ ïî íàïðàâëåííîñòè âîçäåéñòâèÿ è òîêñè÷íîñòè

Âåùåñòâî

Ãðóïïà

Íàïðàâëåíèå âîçäåéñòâèÿ

Êðàòêîå îïèñàíèå âîçäåéñòâèÿ

Òîêñè÷íîñòü

Êëàññ îïàñ- íîñòè

ÏÄÊ ìã/ì3

Æåëåçî

Íåò

-

Íå âîçäåéñòâóåò

Íå òîêñè÷åí

4

4

Ìåäü

Íåò

-

Íå âîçäåéñòâóåò

Íå òîêñè÷åí

4

0,5

Ïåðìàëëîé (Fe-Ni)

Àëëåðãåí

Âûçûâàåò èçìåíåíèå ðåàêòèâíîé ñïîñîáíîñòè îðãàíèçìà.

Ïðè äëèòåëüíîì êîíòàêòå ñ âåùåñòâîì âîçìîæíà àëëåðãè÷åñêàÿ ðåàêöèÿ (ïîêðàñíåíèå êîæè, ïîÿâëåíèå ñûïè, çóä).

 Íå òîêñè÷åí

 3

 0,05


4.2.3 Õàðàêòåðèñòèêà ïîæàðîâçðûâîîïàñíîñòè

Ïîêàçàòåëè ïîæàðîâçðûâîîïàñíîñòè âêëþ÷àþòñÿ â "Ïàñïîðò áåçîïàñíîñòè âåùåñòâà".  ÷èñëî òàêèõ ïîêàçàòåëåé âõîäÿò òåìïåðàòóðû âñïûøêè è âîñïëàìåíåíèÿ, ñîñòîÿíèå ïðè âîñïëàìåíåíèè (òâåðäîå âåùåñòâî, æèäêîñòü, ãàç), îêèñëèòåëüíûå ñâîéñòâà. Áîëåå äåòàëüíî íîìåíêëàòóðó ïîêàçàòåëåé ïîæàðîâçðûâîîïàñíîñòè îïðåäåëÿåò ÃÎÑÒ 12.1.044-89[10].

 äàííîé íàó÷íî-èññëåäîâàòåëüñêîé ðàáîòå (ÍÈÐ) ãîðþ÷èå è âçðûâîîïàñíûå ãàçû, æèäêîñòè è òâ¸ðäûå âåùåñòâà íå ïðèìåíÿþòñÿ, îäíàêî, â ëàáîðàòîðíîì ïîìåùåíèè èìåþòñÿ ãîðþ÷èå ìàòåðèàëû (ìåáåëü, áóìàãà, ïîêðûòèå ïîëà è ò.ï.), ïîýòîìó îíî îòíîñèòñÿ ê êàòåãîðèè Â.

4.3 Ñàíèòàðíî-òåõíè÷åñêèå òðåáîâàíèÿ

 ýòîì ïàðàãðàôå êðàòêî èçëàãàþòñÿ òðåáîâàíèÿ ê óñòðîéñòâó è ñàíèòàðíî-òåõíè÷åñêîìó îáîðóäîâàíèþ ëàáîðàòîðèè, â êîòîðîé âûïîëíÿþòñÿ îñíîâíûå îïåðàöèè ýêñïåðèìåíòàëüíîé ÷àñòè ðàáîòû.

Îñíîâíàÿ çàäà÷à ýòîãî ïàðàãðàôà - óêàçàòü ñàíèòàðíûå òðåáîâàíèÿ äëÿ îáåñïå÷åíèÿ áëàãîïðèÿòíûõ óñëîâèé òðóäà.

4.3.1 Òðåáîâàíèÿ ê ïëàíèðîâêå ïîìåùåíèÿ

Ëàáîðàòîðèÿ äëÿ ïðîâåäåíèÿ ýêñïåðèìåíòàëüíîé ÷àñòè èññëåäîâàíèÿ ðàñïîëàãàåòñÿ íà òåððèòîðèè êàôåäðû ÒÌÝ Ìîñêîâñêîãî Ãîñóäàðñòâåííîãî Èíñòèòóòà Ñòàëè è Ñïëàâîâ (ÌÈÑèÑ) è ÿâëÿåòñÿ ñïåöèàëüíî îáîðóäîâàííûì ïîìåùåíèåì äëÿ ïðîâåäåíèÿ íàó÷íûõ èññëåäîâàíèé, ýêñïåðèìåíòàëüíûõ îïûòîâ.

Òèï ëàáîðàòîðèè - ôèçè÷åñêàÿ, ïëîùàäü ïîìåùåíèÿ 25 ì2, îáú¸ì - 75 ì3.

×èñëî îäíîâðåìåííî ðàáîòàþùèõ ñîòðóäíèêîâ - 2 (ñîòðóäíèê è äèïëîìíèê).  ðåçóëüòàòå íà êàæäîãî ðàáîòàþùåãî ñîòðóäíèêà ïðèõîäèòñÿ 12,5 ì2.

Òàáëèöà 10 - Ïåðå÷åíü îáîðóäîâàíèÿ

Íàèìåíîâàíèå

Òèï

Èñòî÷íèê ïèòàíèÿ

Á5-7

Èñòî÷íèê ïèòàíèÿ

Á5-8

Îñöèëëîãðàô

Ñ1-96

Ìèêðîñêîï

ÌÁÑ-9

Ãåíåðàòîð èìïóëüñíûé

Ã5-54

Âîëüòìåòð

Â7-22

ÝÂÌ

P4-1.6/256

Ïðèáîð èçìåðèòåëüíûé

Ö4353

×àñòîòîìåð

×3-66


Òàáëèöà 11 - Ïàðàìåòðû ïîìåùåíèÿ è åãî íîðìû

Ïàðàìåòð

Âåëè÷èíà

Íîðìà

Ïëîùàäü íà 1 ñîòðóäíèêà (ì2/÷åë)

12

≥12

Âûñîòà ïîìåùåíèÿ

3

≥2,7

Øèðèíà ïðîõîäîâ

2,5

≥1,5

Ðàññòîÿíèå ìåæäó ñòîëàìè ñ ÝÂÌ

2

≥2


4.3.2 Òðåáîâàíèÿ ê ìèêðîêëèìàòó ïîìåùåíèÿ

Íîðìèðîâàíèå ïàðàìåòðîâ ìèêðîêëèìàòà ïðîèçâîäèòñÿ â ñîîòâåòñòâèè ñ ÃÎÑÒ12.1.005-88[9].  òàáëèöå 12 óêàçàíû îïòèìàëüíûå çíà÷åíèÿ òåìïåðàòóðû, îòíîñèòåëüíîé âëàæíîñòè è ñêîðîñòè äâèæåíèÿ âîçäóõà â ðàáî÷åé çîíå â çàâèñèìîñòè îò ïåðèîäà ãîäà è êàòåãîðèè âûïîëíÿåìûõ ðàáîò ïî òÿæåñòè, à òàêæå äîïóñòèìàÿ èíòåíñèâíîñòü òåïëîâîãî èçëó÷åíèÿ.  ïîìåùåíèÿõ ñ ÏÝÂÌ äîëæíû îáåñïå÷èâàòüñÿ îïòèìàëüíûå ïàðàìåòðû ìèêðîêëèìàòà äëÿ êàòåãîðèè 1à è 1á. Äàííàÿ ëàáîðàòîðèÿ îòíîñèòñÿ ê êàòåãîðèè 1á.

Òàáëèöà 12 - Îïòèìàëüíûå è äîïóñòèìûå ìåòåîóñëîâèÿ ïîìåùåíèÿ ëàáîðàòîðèè

Íàèìåíîâàíèå ïàðàìåòðà

Õîëîäíûé ïåðèîä

Òåïëûé ïåðèîä


Îïòèìàëüíûå óñëîâèÿ

Äîïóñòèìûå óñëîâèÿ

Îïòèìàëüíûå óñëîâèÿ

Äîïóñòèìûå óñëîâèÿ

Òåìïåðàòóðà âîçäóõà, °Ñ

20 - 23

19 - 25

22 - 25

ìåíåå 28

Îòíîñèòåëüíàÿ âëàæíîñòü, %

40 - 60

ìåíåå 75

40 - 60

ìåíåå 65

Ñêîðîñòü äâèæåíèÿ âîçäóõà, ì∙c-1

ìåíåå 0,2

ìåíåå 0,2

ìåíåå 0,2

ìåíåå 0,2


Îñíîâíûå ñàíèòàðíî-òåõíè÷åñêèå óñòðîéñòâà, èñïîëüçóåìûå äëÿ ïîääåðæàíèÿ îïòèìàëüíûõ ïàðàìåòðîâ ìèêðîêëèìàòà: îáùåîáìåííàÿ âåíòèëÿöèÿ, óñòðîéñòâà îòîïëåíèÿ.

Îòîïëåíèå îòâå÷àåò òðåáîâàíèÿì ÃÎÑÒ 12.1.005-88 [9], òèï òåïëîíîñèòåëÿ - âîäà, òèï íàãðåâàòåëüíîãî óñòðîéñòâà - ðàäèàòîð ÌÑ140-500-0.9-7, 7-ìè ñåêöèîííûé ÃÎÑÒ 8690-94 [11].

Îáùåîáìåííàÿ âåíòèëÿöèÿ îòâå÷àåò òðåáîâàíèÿì òåõ æå íîðìàòèâíûõ äîêóìåíòîâ: êðàòíîñòü âîçäóõîîáìåíà ïî âûòÿæêå áîëåå 5 ðàç â ÷àñ.

4.3.3 Òðåáîâàíèÿ ê îñâåùåíèþ ëàáîðàòîðèè

Äëÿ ñîçäàíèÿ áëàãîïðèÿòíûõ óñëîâèé òðóäà áîëüøîå çíà÷åíèå èìååò îñâåùåíèå.  ëàáîðàòîðèè êðîìå åñòåñòâåííîãî ïðåäóñìîòðåíî è èñêóññòâåííîå îñâåùåíèå. Èñêóññòâåííîå îñâåùåíèå ÿâëÿåòñÿ êîìáèíèðîâàííûì, ñîñòîèò èç îáùåãî è ìåñòíîãî. Îáùåå èñêóññòâåííîå îñâåùåíèå ñîçäàåòñÿ ëþìèíåñöåíòíûìè ëàìïàìè, êîòîðûå óñòàíàâëèâàþòñÿ â âåðõíåé ÷àñòè ïîìåùåíèÿ ïàðàëëåëüíî ñòåíå ñ îêîííûìè ïðîåìàìè, ÷òî ïîçâîëÿåò îòêëþ÷àòü èõ ïîñëåäîâàòåëüíî â çàâèñèìîñòè îò èçìåíåíèÿ åñòåñòâåííîãî îñâåùåíèÿ. Ìåñòíîå èñêóññòâåííîå îñâåùåíèå ñîçäàåòñÿ íàñòîëüíûìè ëàìïàìè íàêàëèâàíèÿ, êîíöåíòðèðóþùèìè ñâåòîâîé ïîòîê íåïîñðåäñòâåííî íà ðàáî÷åì ìåñòå. Îíî ïðèìåíÿåòñÿ â êîìáèíàöèè ñ îáùèì îñâåùåíèåì, ÷òî èñêëþ÷àåò çàòåìíåíèå, ïîâûøàåò êîíòðàñòíîñòü ïðåäìåòîâ â ïîëå çðåíèÿ, ñíèæàåò óòîìëÿåìîñòü çðåíèÿ.

Åñòåñòâåííîå îñâåùåíèå ïîìåùåíèé ïðîåêòèðóåòñÿ â ñîîòâåòñòâèè ñ äåéñòâóþùèìè ñòðîèòåëüíûìè íîðìàìè è ïðàâèëàìè (ÑÍèÏ 23-05-95 [6]). Åñòåñòâåííîå îñâåùåíèå äîëæíî îñóùåñòâëÿòüñÿ ÷åðåç ñâåòîïðîåìû, îðèåíòèðîâàííûå ïðåèìóùåñòâåííî íà ñåâåð è ñåâåðî-âîñòîê, è îáåñïå÷èâàòü êîýôôèöèåíò åñòåñòâåííîé îñâåùåííîñòè (ÊÅÎ) íå íèæå 1,2 % â çîíàõ ñ óñòîé÷èâûì ñíåæíûì ïîêðîâîì è íå íèæå 1,5 % íà îñòàëüíîé òåððèòîðèè.

 çàâèñèìîñòè îò õàðàêòåðà è òî÷íîñòè âûïîëíÿåìûõ ðàáîò âûáèðàåòñÿ îñâåùåíèå ëàáîðàòîðèè, è íîðìèðóþòñÿ åãî ïàðàìåòðû â ñîîòâåòñòâèè ñî ñòðîèòåëüíûìè íîðìàìè è ïðàâèëàìè. Îñâåù¸ííîñòü ëàáîðàòîðèè çàâèñèò îò õàðàêòåðèñòèê çðèòåëüíûõ ðàáîò, íàèìåíüøåãî ðàçìåðà îáúåêòà, êîíòðàñòà îáúåêòà ñ ôîíîì, õàðàêòåðèñòèê ôîíà.  ÑÍèÏ 23-05-95 [6] óêàçàíà îñâåù¸ííîñòü äëÿ çàäàííûõ ïàðàìåòðîâ çðèòåëüíûõ ðàáîò.

Îñâåùåííîñòü ïîìåùåíèÿ íîðìèðóåòñÿ ñîãëàñíî ñâåäåíèÿì â òàáëèöàõ 13 è 14.

Òàáëèöà 13 - Íîðìèðîâàíèå îñâåùåííîñòè â óñëîâèÿõ åñòåñòâåííîãî èñòî÷íèêà ñâåòà

Âûïîëíÿåìàÿ îïåðàöèÿ

Ðàçðÿä ðàáîò

Íàèìåíüøèé ðàçìåð îáúåêòà, ìì

ÊÅÎ

Ïðîâåäåíèå ýêñïåðèìåíòà

À1

0,15 - 0,3

1,5

Çàïèñü è îáðàáîòêà ðåçóëüòàòîâ

Á1

0,3 - 0,5

1,0


Òàáëèöà 14 - Íîðìèðîâàíèå îñâåùåííîñòè â óñëîâèÿõ èñêóññòâåííîãî èñòî÷íèêà ñâåòà

Âûïîëíÿåìàÿ îïåðàöèÿ

Ðàçðÿä ðàáîò

Êï

Îñâåùåííîñòü, ëê

Ïðîâåäåíèå ýêñïåðèìåíòà

À1

10%

500

Çàïèñü è îáðàáîòêà ðåçóëüòàòîâ

Á1

15%

300


Ðàñ÷åò íåîáõîäèìîé åñòåñòâåííîé îñâåùåííîñòè ïðîèçâîäèòñÿ ïî ôîðìóëå:

S0 = (Sn · en · ή0 · Kçä)/(r1 · t0 · 100), (46)

ãäå: S0 - íåîáõîäèìûé ðàçìåð ñâåòîâîãî ïðîåìà, ì2;

Sn - ïëîùàäü êîìíàòû, Sn =25 ì2;

ή0 - êîýôôèöèåíò, ó÷èòûâàþùèé ðàñïîëîæåíèå ôðîíòàëüíîé ñòåíû, ή0 = 6,5;

Êçä - êîýôôèöèåíò, ó÷èòûâàþùèé çàòåìíåíèå îêîí ïðîòèâîïîëîæíûì çäàíèåì, Êçä = 1;

r1 - êîýôôèöèåíò, ó÷èòûâàþùèé îñâåùåííîñòü çà ñ÷åò îòðàæåíèÿ ñâåòîâîãî ïîòîêà îò âíóòðåííèõ ïîâåðõíîñòåé ïîìåùåíèÿ, r1 = 5;

t0 - îáùèé êîýôôèöèåíò, ó÷èòûâàþùèé ñâåòîïðîïóñêàþùóþ ñïîñîáíîñòü ñâåòîâîãî ïðîåìà, t0 = 0,8;

en - êîýôôèöèåíò åñòåñòâåííîé îñâåùåííîñòè, ån = 100%.

Íåîáõîäèìûé ðàçìåð ñâåòîâîãî ïðîåìà åñòåñòâåííîé îñâåùåííîñòè ðàâåí:

S0 = (25 · 100 · 6,5 · 1)/(5 · 0,8 · 100);

S0 = 40,6 ì2

Èç ðàñ÷åòà âèäíî, ÷òî åñòåñòâåííîãî îñâåùåíèÿ íåäîñòàòî÷íî äëÿ ñîçäàíèÿ íåîáõîäèìîé îñâåùåííîñòè, ò.ê. ðåàëüíàÿ ïëîùàäü îêîííûõ ïðîåìîâ ñîñòàâëÿåò 9 ì2.

Ñëåäîâàòåëüíî, íåîáõîäèìî èñêóññòâåííîå îñâåùåíèå. Äëÿ ðàñ÷¸òà ëàáîðàòîðíîãî îñâåùåíèÿ áûë âûáðàí ìåòîä ðàñ÷¸òà ïî êîýôôèöèåíòó èñïîëüçîâàíèÿ ñâåòîâîãî ïîòîêà.

Îáùåå îñâåùåíèå îáåñïå÷èâàþò 6 äâóõëàìïîâûõ ëþìèíåñöåíòíûõ ñâåòèëüíèêîâ, óñòàíîâëåííûõ íà ïîòîëêå.  ñâåòèëüíèêå èñïîëüçóþòñÿ ëàìïû áåëîãî ñâåòà ËÁ - 80 ñî ñâåòîâûì ïîòîêîì 5220 ëì. Íåîáõîäèìîå êîëè÷åñòâî ñâåòèëüíèêîâ ðàññ÷èòûâàåòñÿ ïî ôîðìóëå:

N = E×S×Kçàï×Z/(Ôë×n×η), (47)

ãäå: Å - íîðìèðîâàííîå çíà÷åíèå îñâåù¸ííîñòè, Å = 500 ëê;

S - ïëîùàäü îñâåùàåìîãî ïîìåùåíèÿ, S = 25 ì2;

 - êîýôôèöèåíò çàïàñà,  = 1,5;

Z - êîýôôèöèåíò ìèíèìàëüíîé îñâåù¸ííîñòè, Z = 1,2;

 - ñâåòîâîé ïîòîê îäíîé ëàìïû,  = 5220 ëê;

n - êîëè÷åñòâî ëàìï â îäíîì ñâåòèëüíèêå, n = 2 øò.;

 - êîýôôèöèåíò èñïîëüçîâàíèÿ ñâåòîâîãî ïîòîêà îò èñòî÷íèêà.

Îïðåäåëÿåì èíäåêñ ïîìåùåíèÿ ïî ôîðìóëå:

I = S/((A+B)×H), (48)

ãäå: S - ïëîùàäü êîìíàòû, S = 25 ì2;

À - øèðèíà êîìíàòû, À = 4 ì;

 - äëèíà êîìíàòû,  = 6,25 ì;

Íò - âûñîòà ïîäâåñà ñâåòèëüíèêà íàä ðàáî÷åé ïîâåðõíîñòüþ, Íò =3 ì.

I = 25/((4+6,25)×3);

I = 0,81.

Ïî èíäåêñó ïîìåùåíèÿ îïðåäåëÿåì êîýôôèöèåíò èñïîëüçîâàíèÿ ñâåòîâîãî ïîòîêà îò èñòî÷íèêà:  = 0,41.

N = 500·25·1,5·1,2/(5220·2·0,41);

N = 5,25 øò.;

N ≈ 6 øò.

Íåîáõîäèìî 6 ñâåòèëüíèêîâ.        

Ðàññ÷èòàåì ñóììàðíóþ ìîùíîñòü îñâåòèòåëüíûõ óñòàíîâîê ïî ôîðìóëå:

Ð = Ðë ∙ Ncâ ∙ n

ãäå: Ðë - ìîùíîñòü ëàìïû, Ðë = 80Âò;

 - íåîáõîäèìîå ÷èñëî ñâåòèëüíèêîâ â ïîìåùåíèè,  = 6 øò.;

n - êîëè÷åñòâî ëàìï â ñâåòèëüíèêå.

Ð = 80×6×2;

Ð = 960 Âò.

Ðåàëüíî óñòàíîâëåíî 8 ñâåòèëüíèêîâ. Ñëåäîâàòåëüíî, îíè îáåñïå÷èâàþò íåîáõîäèìóþ îñâåùåííîñòü, íîðìèðîâàííóþ ÑÍèÏ 23-05-95.

4.3.4 Ðàçðàáîòêà ìåð çàùèòû îò îïàñíûõ è âðåäíûõ ôàêòîðîâ

Öåëüþ ýòîãî ïàðàãðàôà ÿâëÿåòñÿ îöåíêà ýôôåêòèâíîñòè ñðåäñòâ çàùèòû, ïðåäóñìîòðåííûõ â êîíñòðóêöèè îáîðóäîâàíèÿ, âûáîð è ðàçðàáîòêà äîïîëíèòåëüíûõ ìåðîïðèÿòèé è òåõíè÷åñêèõ ñðåäñòâ çàùèòû. Ïðîâåäåí îáîñíîâàííûé âûáîð ìåð çàùèòû îò âñåõ îïàñíûõ è âðåäíûõ ôàêòîðîâ, è ïîêàçàíî, ÷òî ýòè ìåðû ãàðàíòèðóþò ñíèæåíèå èõ óðîâíÿ äî äîïóñòèìûõ ïðåäåëîâ êàê ïðè îáû÷íûõ óñëîâèÿõ, òàê è ïðè àâàðèÿõ.

Îðãàíèçàöèîííûå ìåðû: ïåðñîíàë äîëæåí áûòü îçíàêîìëåí ñ èíñòðóêöèÿìè ïî òåõíèêå áåçîïàñíîñòè â ïîëíîì îáúåìå. Íåîáõîäèì ïîñòîÿííûé êîíòðîëü çà ñîñòîÿíèåì îáîðóäîâàíèÿ: íå äîïóñêàòü çàãðÿçíåíèÿ ðàáî÷èõ ïîâåðõíîñòåé è ïîïàäàíèÿ âëàãè íà óñòàíîâêó; ïðîâåðêà ñîåäèíåíèÿ êîðïóñà óñòàíîâîê è ïðèáîðîâ ñ çàçåìëÿþùèì ïðîâîäîì; íå äîïóñêàòü ñèëüíûõ ïåðåãèáîâ ýëåêòðè÷åñêèõ ïðîâîäîâ, à òàêæå ïîâðåæäåíèé èçîëÿöèè.

Òàáëèöà 15 - Ðàçðàáîòêà ìåð çàùèòû îò îïàñíûõ è âðåäíûõ ïðîèçâ. Ôàêòîðîâ



4.4 Áåçîïàñíîñòü æèçíåäåÿòåëüíîñòè â ÷ðåçâû÷àéíûõ ñèòóàöèÿõ

Ìåðîïðèÿòèÿ ïî îáåñïå÷åíèþ áåçîïàñíîñòè â ÷ðåçâû÷àéíûõ ñèòóàöèÿõ îïèñûâàþòñÿ â òîé ìåðå, â êîòîðîé îíè ñâÿçàíû ñ õàðàêòåðîì âûïîëíÿåìûõ ðàáîò è ñâîéñòâàìè èñïîëüçóåìûõ ìàòåðèàëîâ.

Êàê ïðàâèëî, øèðîêîìàñøòàáíûå çàãðÿçíåíèÿ ïðè òåõ êîëè÷åñòâàõ òîêñè÷íûõ è ðàäèîàêòèâíûõ âåùåñòâ, êîòîðûå èñïîëüçóþòñÿ â ëàáîðàòîðèè, ìàëîâåðîÿòíû, ïîýòîìó äîñòàòî÷íî îïèñàòü ìåðû áåçîïàñíîñòè è ýêîçàùèòíûå ìåðîïðèÿòèÿ ïðè àâàðèÿõ îáîðóäîâàíèÿ è óòå÷êå õèìè÷åñêèõ è ðàäèîàêòèâíûõ âåùåñòâ, ïðåäóñìîòðåâ ñèñòåìó ñèãíàëèçàöèè è îïîâåùåíèÿ îá àâàðèÿõ.

4.4.1 Êàòåãîðèÿ ïîìåùåíèÿ ïî âçðûâîïîæàðíîé è ïîæàðíîé îïàñíîñòè

Èñõîäÿ èç õàðàêòåðèñòèê âåùåñòâ, íàõîäÿùèõñÿ â ïîìåùåíèè, âñå ïîìåùåíèÿ ïî ÑÏ 12.13130.2009 [12] êëàññèôèöèðóþòñÿ ïî êàòåãîðèÿì: À, Á, Â(1-4), Ã.

 ðàçäåëå 2,3 áûë îïðåäåë¸í êëàññ ïîæàðîâçðûâîîïàñíîñòè "Â". Ýòîò êëàññ ñîäåðæèò â ñåáå 4 êàòåãîðèè (1-4), â çàâèñèìîñòè îò êîëè÷åñòâà ãîðþ÷åãî ìàòåðèàëà â ïîìåùåíèè.

Îïðåäåëåíèå ïîæàðîîïàñíîé êàòåãîðèè ïîìåùåíèÿ îñóùåñòâëÿåòñÿ ïóòåì ñðàâíåíèÿ ìàêñèìàëüíîãî çíà÷åíèÿ óäåëüíîé âðåìåííîé ïîæàðíîé íàãðóçêè íà ëþáîì èç ó÷àñòêîâ ñ âåëè÷èíîé óäåëüíîé ïîæàðíîé íàãðóçêè, ïðèâåäåííîé â òàáëèöå 16.

Òàáëèöà 16 - Îïðåäåëåíèå êàòåãîðèè ïîæàðîîïàñíûõ ïîìåùåíèé

Íàèìåíîâàíèå êàòåãîðèè

Óäåëüíàÿ ïîæàðíàÿ íàãðóçêà, ÌÄæ/ì

Â1 Â2 ÂÇ Â4

>2200 1401-2200 181-1401 1-181



Ïîæàðíàÿ íàãðóçêà ïîìåùåíèé ìîæåò âêëþ÷àòü â ñåáÿ ðàçëè÷íûå ñî÷åòàíèÿ ãîðþ÷èõ è òðóäíîãîðþ÷èõ æèäêîñòåé è òâåðäûõ ìàòåðèàëîâ â ïðåäåëàõ ïîæàðîîïàñíîãî ó÷àñòêà è îïðåäåëÿåòñÿ ïî ôîðìóëå:

Q = Σ Gj∙QHP , (50)

ãäå: G - êîëè÷åñòâî j -òîãî ìàòåðèàëà ïîæàðíîé íàãðóçêè, êã;

QHp - íèçøàÿ òåïëîòà ñãîðàíèÿ j -òîãî ìàòåðèàëà, êÄæ/êã.

Óäåëüíàÿ ïîæàðíàÿ íàãðóçêà q îïðåäåëÿåòñÿ ïî ôîðìóëå:

q = Q/S, (51)

ãäå: Q - ïîæàðíàÿ íàãðóçêà ïîìåùåíèé, êÄæ;

S - ïëîùàäü ðàçìåùåíèÿ ïîæàðíîé íàãðóçêè, ì2.

Åñëè ïî óêàçàííîé ìåòîäèêå ïîìåùåíèå îòíåñåíî ê êàòåãîðèÿì Â2 èëè ÂÇ, òî ïðîâåðÿåòñÿ âûïîëíåíèå óñëîâèÿ: Q > 0,64qH.

 òîì ñëó÷àå, êîãäà ýòî óñëîâèå íå âûïîëíÿåòñÿ, ïîìåùåíèå îòíîñÿò ñîîòâåòñòâåííî ê êàòåãîðèÿì Â1 èëè Â2.  òàáëèöå 17 ïðèâåäåíû çíà÷åíèÿ òåïëîòû ñãîðàíèÿ è ìàññû ãîðþ÷èõ ìàòåðèàëîâ, íàõîäÿùèõñÿ â ëàáîðàòîðèè.

Òàáëèöà 17 - Ïåðå÷åíü ïîæàðîîïàñíûõ ìàòåðèàëîâ èõ òåïëîòû ñãîðàíèÿ è êîëè÷åñòâà

Ìàòåðèàë

Òåïëîòà ñãîðàíèÿ, êÄæ/êã

Îáùàÿ ìàññà, êã

Àëþìèíèé

31087

15

Áóìàãà

20000

100

Äåðåâî

19000

200


Ïîäñòàâèâ çíà÷åíèÿ èç òàáëèöû 17 â ôîðìóëó 50, ïîëó÷èì:

Q = 31087*15 + 20000*100 + 19000*200; = 6266305 êÄæ;

Q = 6266,305 ÌÄæ;

q = 6266,305 / 25;

q = 250,7 Ìäæ/ì2,

÷òî ñîîòâåòñòâóåò êàòåãîðèè "Â3".

Ýòî îçíà÷àåò, ÷òî ïîìåùåíèå îòíîñèòñÿ ê êàòåãîðèè "Â3" (ïîæàðîîïàñíûå), ñîãëàñíî òåõíè÷åñêîìó ðåãëàìåíòó î òðåáîâàíèÿõ ïîæàðíîé áåçîïàñíîñòè ÑÏ12.13130.2009 [12].

 êîìïëåêñ ïðîòèâîïîæàðíûõ ìåðîïðèÿòèé âõîäèò ïðåäóïðåæäåíèå ïîæàðà: ñîçäàíèå óñëîâèé íîðìàëüíîé ýêñïëóàòàöèè, îáåñïå÷åíèå áûñòðîé ëîêàëèçàöèè è òóøåíèå ïîæàðà.

Îñíîâíîé ïðè÷èíîé âîçãîðàíèÿ â ëàáîðàòîðèè ìîæåò ÿâèòüñÿ íåèñïðàâíîñòü ýëåêòðè÷åñêîãî îáîðóäîâàíèÿ. Äëÿ ïðåäóïðåæäåíèÿ ïîæàðà óñòàíîâêè îáîðóäîâàíû çàùèòíûìè áëîêàìè, â ëàáîðàòîðèè óñòàíîâëåíà ñèñòåìà ïîæàðíîé ñâÿçè è ñèãíàëèçàöèè, ðó÷íûå óãëåêèñëîòíûå îãíåòóøèòåëè ÎÓ - 5.

.5 Ñïåöèàëüíàÿ ðàçðàáîòêà ïî îáåñïå÷åíèþ áåçîïàñíîñòè: "ðàñ÷åò çàùèòíîãî çàçåìëåíèÿ"

Èñõîäíûå äàííûå:

ãðóíò, ÷åðíîç¸ì 30 Îì·ì;

íàïðÿæåíèå, 220 Â;

ðàñïîëîæåíèå, â ðÿä;

äëèíà ýëåìåíòà, 2,9 ì;

äèàìåòð ñòåðæíÿ, 15 ìì;

çàãëóáëåíèå, 0,6 ì;

øèðèíà ïîëîñû, 60 ìì;

åñòåñòâåííûé çàçåìëèòåëü, ôóíäàìåíò;

ïëîùàäü ñå÷åíèÿ, 80 ìì2.

Ïðîâåäåíèå ðàñ÷åòà:

à) Ìàêñèìàëüíî äîïóñòèìîå ñîïðîòèâëåíèå çàçåìëåíèÿ, Rí = 4 Îì;

á) Ðàñ÷åò óäåëüíîãî ñîïðîòèâëåíèÿ ãðóíòà (ρ) äëÿ çîíû 1:

, (52)

ãäå: ρòàá - òàáëè÷íîå çíà÷åíèå óäåëüíîãî ñîïðîòèâëåíèÿ ñîîòâåòñòâóþùåãî ãðóíòà, Îì·ì;

Ψ - êîýôôèöèåíò çîíû.

;

 Îì·ì.

â) Îïðåäåëèì âîçìîæíîñòü èñïîëüçîâàíèÿ äëÿ óñòðîéñòâà çàçåìëèòåëÿ ñóùåñòâóþùèõ åñòåñòâåííûõ çàçåìëèòåëåé:

, (53)

ãäå: S - ïëîùàäü ñå÷åíèÿ, ì2.

;

Îì.

ã) Îïðåäåëèì òðåáóåìîå ñîïðîòèâëåíèå èñêóññòâåííîãî çàçåìëåíèÿ:

, (54)

ãäå: RÅ - ñîïðîòèâëåíèå åñòåñòâåííîãî çàçåìëèòåëÿ, Îì;

RH - ìàêñèìàëüíî äîïóñòèìîå ñîïðîòèâëåíèå çàçåìëåíèÿ, Îì.

;

Îì.

ä) Âûáåðåì ðàñïîëîæåíèå çàçåìëèòåëåé - â ðÿä.

å) Âûáèðàåì òèï è ðàçìåðû îäèíî÷íîãî çàçåìëèòåëÿ:

äëèííà ýëåìåíòà, L=2,9 ì;

äèàìåòð ñòåðæíÿ, d =15 ìì;

ñðåäíÿÿ ãëóáèíà çàçåìëèòåëÿ, t0=0,6 ì.

æ) Îïðåäåëèì ñîïðîòèâëåíèå ðàñòåêàíèþ òîêà:

, (55)

ãäå: L - äëèííà ýëåìåíòà, ì;

d - äèàìåòð ñòåðæíÿ, ì;

t - ñðåäíÿÿ ãëóáèíà çàçåìëèòåëÿ, ì.

, (56)

ãäå: t0 - çàãëóáëåíèå, ì.

;

ì;

;

;

;

Îì;

;

;

Îì.

ç) Îïðåäåëèì ïðåäâàðèòåëüíîå êîëè÷åñòâî ýëåêòðîäîâ:

; (57)

;

ì.

, (58)

ãäå: - ðàññòîÿíèå ìåæäó ñîñåäíèìè ýëåêòðîäàìè, ì;

- ïðåäâàðèòåëüíîå êîëè÷åñòâî ýëåêòðîäîâ, øò.

;

øò.

è) Îáùåå ýëåêòðè÷åñêîå ñîïðîòèâëåíèå âåðòèêàëüíûõ ýëåêòðîäîâ:

, (59)

ãäå: Rý - ñîïðîòèâëåíèå ýëåêòðîäà, Îì;

η0 - êîýôôèöèåíò èñïîëüçîâàíèÿ âåðòèêàëüíîãî ýëåêòðîäà, η0 = 0,83;

n - êîëè÷åñòâî ýëåêòðîäîâ, n = 3 øò.

;

Îì.

ê) Îïðåäåëèì ñîïðîòèâëåíèå ãîðèçîíòàëüíîé ñîåäèíèòåëüíîé ïîëîñû (Rã):

; (60

; (61)

;

ì.

, (62)

ãäå: b - øèðèíà ïîëîñû, ì.

;

ì;

;

 Îì;

Îïðåäåëèì ñîïðîòèâëåíèå ãîðèçîíòàëüíîé ñîåäèíèòåëüíîé ïîëîñû:

, (62)

ãäå: Rã - ñîïðîòèâëåíèå ãîðèçîíòàëüíîé ñîåäèíèòåëüíîé ïîëîñû.

;

Îì.

ë) Îáùåå ñîïðîòèâëåíèå èñêóññòâåííîãî çàçåìëåíèÿ:

;

;

;

Îì.

; (63)

;

;

Âûâîä: ïîëó÷åííîå çàçåìëåíèå ñîïðîòèâëåíèåì 2,318 Îì óäîâëåòâîðÿåò òðåáîâàíèÿì áåçîïàñíîñòè, òàêèì îáðàçîì äëÿ ðåàëèçàöèè çàçåìëåíèÿ íåîáõîäèìî óñòàíîâèòü â ðÿä 6 ýëåêòðîäîâ äëèííîé 2,9ì è äèàìåòðîì 15ìì ïðè çàãëóáëåíèè 0,6ì.

4.6 Âûâîäû ïî áåçîïàñíîñòè æèçíåäåÿòåëüíîñòè

 äàííîì ðàçäåëå ïðîâåäåí àíàëèç îïåðàöèé, ïðîèçâîäèìûõ ïðè âûïîëíåíèè äèïëîìíîé ðàáîòû.

Âûÿâëåíû îïàñíûå è âðåäíûå ïðîèçâîäñòâåííûå ôàêòîðû, êîòîðûå áûëè êëàññèôèöèðîâàíû ïî êëàññàì è äàíû ïðåäåëüíî äîïóñòèìûå äîçû è íîðìèðóåìûå çíà÷åíèÿ ïàðàìåòðîâ. Òàêæå ïðåäëîæåíû ìåðû çàùèòû îò ýòèõ ôàêòîðîâ.

Ïðèâåäåíû îïòèìàëüíûå è äîïóñòèìûå ìåòåîóñëîâèÿ ïîìåùåíèÿ ëàáîðàòîðèè ñ ó÷åòîì êàòåãîðèè ðàáîò ïî òÿæåñòè.

Ïðîâåäåíà êëàññèôèêàöèÿ ëàáîðàòîðèè ïî îïàñíîñòè ïîðàæåíèÿ ýëåêòðè÷åñêèì òîêîì.

Ïðîèçâåäåí ðàñ÷åò íåîáõîäèìîé åñòåñòâåííîé è èñêóññòâåííîé îñâåùåííîñòè ëàáîðàòîðèè è ïðèâåäåíû íîðìèðóåìûå ïàðàìåòðû.

Ïðîèçâåäåí ðàñ÷åò çàùèòíîãî çàçåìëåíèÿ.

Ïðîâåäåíà îöåíêà ïîæàðîâçðûâîîïàñíîñòè ëàáîðàòîðèè.

5. Îõðàíà îêðóæàþùåé ñðåäû

5.1 Îõðàíà îêðóæàþùåé ñðåäû

Çàäà÷åé ýòîãî ïàðàãðàôà ÿâëÿåòñÿ ïðåäîòâðàùåíèå óòå÷êè â îêðóæàþùóþ ñðåäó òîêñè÷íûõ âåùåñòâ â êîíöåíòðàöèÿõ è êîëè÷åñòâàõ, ïðåâûøàþùèõ ïðåäåëüíî äîïóñòèìûå çíà÷åíèÿ è ïîñòóïëåíèÿ â íåå ðàäèîàêòèâíûõ âåùåñòâ.

Ïîñêîëüêó â äàííîé ÍÈÐ ðàáîòû ñ òîêñè÷íûìè è ðàäèîàêòèâíûìè âåùåñòâàìè íå ïðîâîäÿòñÿ, òî äàëüíåéøàÿ îöåíêà âîçìîæíîãî óðîâíÿ çàãðÿçíåíèÿ ïðîâîäèòüñÿ íå áóäåò.

5.2 Âûâîäû ïî îõðàíå îêðóæàþùåé ñðåäû

 äàííîì ðàçäåëå ó÷òåíû îïàñíûå è âðåäíûå ïðîèçâîäñòâåííûå ôàêòîðû, ïðîÿâèâøèåñÿ ïðè âûïîëíåíèè äèïëîìíîé ðàáîòû è ïðåäñòàâëÿþùèå îïàñíîñòü äëÿ îêðóæàþùåé ñðåäû.

Îïðåäåëåíî, ÷òî äàííàÿ ðàáîòà íå íàíîñèò óùåðáà îêðóæàþùåé ñðåäå.

6. Ýêîíîìè÷åñêàÿ ÷àñòü

.1 Òåõíèêî-ýêîíîìè÷åñêîå îáîñíîâàíèå ÍÈÐ

Äàííàÿ ðàáîòà ïðîâîäèòñÿ âïåðâûå è íàõîäèòñÿ íà ñòàäèè ëàáîðàòîðíûõ èññëåäîâàíèé, à òàê æå ÿâëÿåòñÿ òåîðåòè÷åñêîé ÍÈÐ. Ïîñêîëüêó â ïîñëåäíèå ãîäû ìèêðîýëåêòðîíèêà øàãíóëà äàëåêî âïåð¸ä, ñòàëî âîçìîæíûì èçãîòîâëåíèå íîâîãî êëàññà ñïóòíèêîâ - íàíîñïóòíèêîâ. Íàíîñïóòíèêè ýòî àïïàðàòû âåñîì 1-10 êã, ñ êîðîòêèì ñðîêîì àêòèâíîãî ñóùåñòâîâàíèÿ íà îðáèòå. Ïîñêîëüêó àïïàðàòàì òðåáóåòñÿ ìàãíèòíàÿ ñèñòåìà îðèåíòàöèè, à ðàáîòû â äàííîé îáëàñòè íå ïðîâîäèëèñü, öåëüþ äàííîé ðàáîòû ÿâëÿåòñÿ âûáîð ìàòåðèàëîâ è êîíñòðóêöèè ìàãíèòíîé êàòóøêè óïðàâëåíèÿ íàíîñïóòíèêîì. Íåîáõîäèìîñòü ïîäîáíîé ðàáîòû ñâÿçàíà ñ òåì, ÷òî òðåáóåòñÿ ðåøèòü òðè îñíîâíûå çàäà÷è:

- Óìåíüøåíèå âåñà è ãàáàðèòîâ ñâÿçàíî ñ òåì, ÷òî ñòîèìîñòü âûâîäà íà îðáèòó 1 êã ïîëåçíîãî ãðóçà îñòà¸òñÿ î÷åíü âûñîêà, (Ñîþç-ÒÌÀ 10 òûñ. äîëë. ÑØÀ; Ïðîòîí 5òûñ. äîëë. ÑØÀ) ïîýòîìó öåëåñîîáðàçíî ìàêñèìàëüíî óìåíüøèòü âåñ ñïóòíèêà. Óìåíüøåíèå âåñà, òàê æå óïðîùàåò óïðàâëåíèå ñïóòíèêîì.

Ýíåðãîïîòðåáëåíèå. Ïîñêîëüêó íàíîñïóòíèê îáëàäàåò ìàëîé ìàññîé, ðàçìåð ÀÊÁ è åãî ¸ìêîñòü òîæå íå âåëèêà.  òàêîì ñëó÷àå äåôèöèò ýëåêòðîïèòàíèÿ ìîæåò ïðèâåñòè ê ïîëíîé ïîòåðå ñïóòíèêà, ñëåäîâàòåëüíî, íóæíî ìàêñèìàëüíî ýôôåêòèâíî èñïîëüçîâàòü ýëåêòðîïèòàíèå.

Êîìïåíñàöèÿ îñòàòî÷íîé íàìàãíè÷åííîñòè ñåðäå÷íèêà, ÿâëÿåòñÿ îäíîé èç îñíîâíûõ çàäà÷. Ïðèìåíåíèå ñåðäå÷íèêà ñèëüíî óâåëè÷èâàåò ìàãíèòíûé ìîìåíò êàòóøêè, óìåíüøàåò å¸ ãàáàðèòû è ìàññó, íî ïîÿâëÿåòñÿ îäèí íå áëàãîïðèÿòíûé ôàêòîð, ýòî åãî îñòàòî÷íàÿ íàìàãíè÷åííîñòü, êîòîðûé ìîæåò ñáèòü ñïóòíèê ñ çàäàííîé îðáèòû. Ñëåäîâàòåëüíî, íàäî ðàçðàáîòàòü íåñêîëüêî âàðèàíòîâ åãî êîìïåíñàöèè.

Çàäà÷è ðåøàþòñÿ ïóò¸ì âûáîðà ìàòåðèàëîâ ñåðäå÷íèêà è îáìîòêè, ãåîìåòðèè, êîíñòðóêòèâíîãî èñïîëíåíèÿ êàòóøêè è å¸ ñïîñîáà âêëþ÷åíèÿ è óñòàíîâêè.

.2 Ñìåòíàÿ ñòîèìîñòü ïðîâåäåíèÿ èññëåäîâàíèÿ

.2.1 Ðàñ÷åò çàòðàò íà ìàòåðèàëû

Çàòðàòû íà ìàòåðèàëû, ñûðüå, ïîêóïíûå êîìïëåêòóþùèå èçäåëèÿ è ïîëóôàáðèêàòû îïðåäåëÿþòñÿ èñõîäÿ èç êîëè÷åñòâà èçðàñõîäîâàííûõ íà èññëåäîâàíèå ðåñóðñîâ â íàòóðàëüíîì âûðàæåíèè, öåí ðåñóðñîâ, êîëè÷åñòâà âîçâðàòíûõ ìàòåðèàëîâ, èõ öåí è òðàíñïîðòíî-çàãîòîâèòåëüíûõ ðàñõîäîâ (ïîðÿäêà 10% îò ñòîèìîñòè ìàòåðèàëîâ).

Òàáëèöà 18 - Ìàòåðèàëüíûå çàòðàòû íà âûïîëíåíèå ÍÈÐ


6.2.2 Ðàñ÷åò çàòðàò íà çàðàáîòíóþ ïëàòó èñïîëíèòåëåé äèïëîìíîé ÍÈÐ è åäèíîãî ñîöèàëüíîãî íàëîãà

Çàðàáîòíàÿ ïëàòà ðóêîâîäèòåëÿ ðàáîòû è êîíñóëüòàíòîâ ïî ðàçäåëàì ðàññ÷èòûâàåòñÿ èñõîäÿ èç ñòîèìîñòè îäíîãî ó÷åáíîãî ÷àñà è êîëè÷åñòâà ÷àñîâ, çàòðà÷åííûõ ïðåïîäàâàòåëÿìè íà ðóêîâîäñòâî è êîíñóëüòàöèè:

ÇÏ = f÷àñt, (64)

ãäå: f÷àñ - ÷àñîâàÿ ñòàâêà ðóêîâîäèòåëÿ ðàáîòû èëè êîíñóëüòàíòà, ðóá./÷;

Çàòðàòû äðóãèõ èñïîëíèòåëåé òåìû îïðåäåëÿåòñÿ èç ôàêòè÷åñêè çàòðà÷åííîãî âðåìåíè. ÅÑÍ - 26% îò îñíîâíîé çàðàáîòíîé ïëàòû.

Òàáëèöà 19 - Çàòðàòû íà îïëàòó òðóäà èñïîëíèòåëåé ÍÈÐ


6.2.3 Ðàñ÷åò ýíåðãåòè÷åñêèõ çàòðàò

Ñîñòàâèì òàáëèöó ñ ïåðå÷íåì îáîðóäîâàíèÿ è åãî ìîùíîñòüþ, âñ¸ ïðèìåí¸ííîå îáîðóäîâàíèå ìàëîìîùíîå. Äëÿ óäîáñòâà ðàáîòû à òàêæå äëÿ óìåíüøåíèÿ ýíåðãåòè÷åñêèõ çàòðàò âìåñòî ñòàöèîíàðíîãî ÏÊ â ÍÈÐ ïðèìåí¸í íîóòáóê. Ïîäñ÷èòàåì âðåìÿ èñïîëüçîâàíèÿ îáîðóäîâàíèÿ: 8-ìè ÷àñîâîé ðàáî÷èé äåíü äåëèòñÿ íà 2 ÷àñòè, 4 ÷àñà íà òåîðåòè÷åñêèå ðàñ÷åòû è 4 ÷àñà íà ýêñïåðèìåíòû, ïîìíîæèì íà ÷èñëî äíåé ïîëó÷èì 400.

Òàáëèöà 20 - Çàòðàòû íà ýëåêòðîýíåðãèþ


Ðàñõîä ýëåêòðîýíåðãèè îïðåäåëÿåòñÿ ïî ïàñïîðòàì ýëåêòðîïðèáîðîâ. Çàòðàòû íà ýëåêòðîýíåðãèþ ðàññ÷èòûâàþòñÿ ïî ôîðìóëå:

Çý = ΣPitiÖ , (65)

ãäå: Pi - ìîùíîñòü ýëåêòðîïðèáîðà ïî ïàñïîðòó, êÂò;

ti - âðåìÿ èñïîëüçîâàíèÿ ýëåêòðîîáîðóäîâàíèÿ ïðè âûïîëíåíèè äèïëîìíîé ðàáîòû, ÷;

Ö - öåíà çà 1 êÂò*÷, ðóá.

Òàê êàê â ðàáîòå íåò íàäîáíîñòè èññëåäîâàòü òåìïåðàòóðíûå õàðàêòåðèñòèêè ìàòåðèàëîâ, â ïåðå÷íå îáîðóäîâàíèÿ íåò âûñîêîìîùíûõ íàãðåâàòåëåé, ðåçóëüòàòå, ïîëó÷àþòñÿ äîñòàòî÷íî íèçêèå ðàñõîäû íà ýëåêòðîýíåðãèþ.

.2.4 Ðàñ÷åò çàòðàò, ñâÿçàííûõ ñ èñïîëüçîâàíèåì îáîðóäîâàíèÿ è ïðèáîðîâ

Ñîñòàâèì ñâîäíóþ òàáëèöó ñ ïðèìåí¸ííûì îáîðóäîâàíèåì è åãî ñòîèìîñòüþ.

Òàáëèöà 21 - Àìîðòèçàöèîííûå îò÷èñëåíèÿ


Ýòè çàòðàòû îïðåäåëÿþòñÿ â âèäå àìîðòèçàöèè ïî ôîðìóëå:

Çàì = Êîá · Hàì · Òîá / (365 · 100) , (66)

ãäå: Kîá - ñòîèìîñòü åäèíèöû îáîðóäîâàíèÿ èëè ïðèáîðà, ðóá.;

Íàì - íîðìà àìîðòèçàöèè îáîðóäîâàíèÿ èëè ïðèáîðà, %;

Òîá - âðåìÿ èñïîëüçîâàíèÿ îáîðóäîâàíèÿ, äíè.

6.2.5 Ðàñ÷åò íàêëàäíûõ ðàñõîäîâ

Íàêëàäíûå ðàñõîäû (íà óïðàâëåíèå, ìàëîöåííûé è áûñòðîèçíàøèâàþùèéñÿ èíñòðóìåíò, ñîäåðæàíèå ëàáîðàòîðèé, áèáëèîòåê, îòîïëåíèå, îñâåùåíèå, âîäó, îáó÷åíèå ñòóäåíòîâ è ò.ä.) îïðåäåëÿþòñÿ èñõîäÿ èç óñòàíîâëåííîãî äëÿ êàæäîãî êîíêðåòíîãî ïðåäïðèÿòèÿ ïðîöåíòà îò ñòîèìîñòè ÍÈÐ èëè îò ñóììû çàðàáîòíîé ïëàòû èñïîëíèòåëåé (áåç ÅÑÍ). Äëÿ ÌÈÑèÑ ïðîöåíò íàêëàäíûõ ðàñõîäîâ ñîñòàâëÿåò 20% îò ñòîèìîñòè ÍÈÐ.

Ñòîèìîñòü íàêëàäíûõ ðàñõîäîâ = (1342+60792+434,36+1315,03) ·0,2 =12736,68.

6.2.6 Ðàñ÷åò ñóììàðíûõ çàòðàò íà âûïîëíåíèå ðàáîòû

Òàáëèöà 22 - Ñòîèìîñòü ïðîâåäåíèÿ ÍÈÐ

Íàèìåíîâàíèå çàòðàò

Ñóììà, ðóá.

Äîëÿ â îáùèõ çàòðàòàõ, %

Çàòðàòû íà ñûðüå, ìàòåðèàëû è òðàíñïîðòíî-çàãîòîâèòåëüíûå ðàñõîäû

1342

1,76

Çàðàáîòíàÿ ïëàòà

60792

79,6

Ýíåðãåòè÷åñêèå çàòðàòû

434,36

0,6

Àìîðòèçàöèîííûå îò÷èñëåíèÿ

1315,03

1,47

Íàêëàäíûå ðàñõîäû

12736,68

16,66

Èòîãî

76361,07

100

 

6.3 Îöåíêà ýôôåêòèâíîñòè ðåçóëüòàòîâ âûïîëíåíèÿ òåîðåòè÷åñêîé èññëåäîâàòåëüñêîé äèïëîìíîé ðàáîòû

 íàñòîÿùåå âðåìÿ íå ïðåäñòàâëÿåòñÿ âîçìîæíûì äàòü êîëè÷åñòâåííóþ îöåíêó ýêîíîìè÷åñêîé ýôôåêòèâíîñòè ðåçóëüòàòîâ íàó÷íî-èññëåäîâàòåëüñêîé ðàáîòû (ÍÈÐ) â ñâÿçè ñ îòñóòñòâèåì íåîáõîäèìîé èíôîðìàöèè. Ïîñêîëüêó äàííàÿ ðàáîòà ïðîâîäèòñÿ âïåðâûå è íàõîäèòñÿ íà ñòàäèè ëàáîðàòîðíûõ èññëåäîâàíèé, à òàê æå ÿâëÿåòñÿ òåîðåòè÷åñêîé ÍÈÐ.

À â äàííîì ñëó÷àå îòñóòñòâèÿ íåîáõîäèìîé èíôîðìàöèè ïî êîëè÷åñòâåííîé îöåíêå ýêîíîìè÷åñêîé ýôôåêòèâíîñòè ðåçóëüòàòîâ òåîðåòè÷åñêîé ðàáîòû ïðîèçâîäèòñÿ êà÷åñòâåííàÿ îöåíêà íàó÷íî-òåõíè÷åñêîé ýôôåêòèâíîñòè ýòèõ ðåçóëüòàòîâ. Îíà íîñèò ýêñïåðòíî-âåðîÿòíîñòíîé õàðàêòåð è ìîæåò áûòü ïðîèçâåäåíà ìåòîäàìè ýêñïåðòíûõ îöåíîê, ê ïðèìåðó, ïîñðåäñòâîì àïðèîðíîãî ðàíæèðîâàíèÿ îöåíîê ýêñïåðòîâ ìåòîäîì ðàíãîâûõ êîððåëÿöèé.

Ïðèíöèïû ìåòîäà ðàíãîâûõ êîððåëÿöèé, ïðèìåðû åãî ïðàêòè÷åñêîãî èñïîëüçîâàíèÿ â îòðàñëè äëÿ ðàçðàáîòêè ýêîíîìèêî-ìàòåìàòè÷åñêèõ ìîäåëåé òðóäîåìêîñòè ïðîâåäåíèÿ ÍÈÐ, à òàêæå ôîíäîåìêîñòè èçãîòîâëåíèÿ ïðîäóêöèè õîðîøî èçâåñòíû.

Äëÿ ïðîâåäåíèÿ ýêñïåðòíîé îöåíêè ìîæíî èñïîëüçîâàòü ïðåäñòàâëåííûå â òàáëèöå 23 äåâÿòü îñíîâíûõ ôàêòîðîâ, õàðàêòåðèçóþùèõ íàó÷íî-òåõíè÷åñêóþ è ýêîíîìè÷åñêóþ ýôôåêòèâíîñòü òåîðåòè÷åñêèõ ðàáîò. Ôàêòîðû èìåþò ðàçíûå çíàêè âêëþ÷åíèÿ â ðåçóëüòèðóþùèé ïîêàçàòåëü ýôôåêòèâíîñòè, à òàêæå ñîîòâåòñòâóþùèå êîððåêòèðîâî÷íûå êîýôôèöèåíòû. Ðàçëè÷èå çíàêîâ îòðàæàåò âëèÿíèå òîãî èëè èíîãî ôàêòîðà íà ðåçóëüòèðóþùèé ïîêàçàòåëü ýôôåêòèâíîñòè: çíàê "ïëþñ" õàðàêòåðèçóåò ïîëîæèòåëüíîå âëèÿíèå, çíàê "ìèíóñ" - îòðèöàòåëüíîå. Êîððåêòèðîâî÷íûå êîýôôèöèåíòû õàðàêòåðèçóþò çíà÷èìîñòü ðàññìàòðèâàåìûõ ôàêòîðîâ ñ òî÷êè çðåíèÿ êîìïëåêñíîé îöåíêè íàó÷íî-òåõíè÷åñêîé è ýêîíîìè÷åñêîé ýôôåêòèâíîñòè ðàáîò. Êîððåêòèðîâî÷íûå êîýôôèöèåíòû ÿâëÿþòñÿ ñâîåîáðàçíûìè "ðàíãàìè", èõ çíà÷åíèÿ ïðèíÿòû îò 1,0 äî 1,4.

Òàáëèöà 23 - Îñíîâíûå ôàêòîðû, õàðàêòåðèçóþùèå íàó÷íî-òåõíè÷åñêóþ è ýêîíîìè÷åñêóþ ýôôåêòèâíîñòü òåîðåòè÷åñêèõ ðàáîò



 òàáëèöå 24 ïðåäñòàâëåíà ðàñøèôðîâêà ôàêòîðîâ ñ ñîîòâåòñòâóþùèìè âíóòðèôàêòîðíûìè ðàíãàìè. Ñòðóêòóðà ðàíãîâ êàæäîãî ôàêòîðà ïîñòðîåíà ïî ïðÿìîé (â îòëè÷èå îò îáðàòíîé) ïÿòèáàëëüíîé ñèñòåìå: ÷åì âûøå, ïî ìíåíèþ ýêñïåðòà õàðàêòåðèñòèêà óðîâíÿ ðàññìàòðèâàåìîãî ôàêòîðà ïðèìåíèòåëüíî ê äàííîé ðàáîòå, òåì áîëüøå çíà÷åíèå âíóòðèôàêòîðíîãî ðàíãà ýòîé ðàáîòà (îò 1 äî 5).

Èñïîëüçîâàíèå ïðè ïðîâåäåíèè êîëëåêòèâíîé ýêñïåðòíîé îöåíêè "äâîéíûõ ðàíãîâ" (ò.å. âíóòðèôàêòîðíûõ è ìåæôàêòîðíûõ), à òàêæå ðàçëè÷íûõ çíàêîâ âëèÿíèÿ è ñðàâíèòåëüíî áîëüøîãî êîëè÷åñòâà îñíîâíûõ ôàêòîðîâ ïîçâîëÿåò, ïî íàøåìó ìíåíèþ, äîáèòüñÿ áîëüøåé ñòåïåíè âåðîÿòíîñòè äîñòîâåðíîé îöåíêè ðåçóëüòèðóþùåé íàó÷íî-òåõíè÷åñêîé è ýêîíîìè÷åñêîé ýôôåêòèâíîñòè ðàáîò. Åñòåñòâåííî, ñàìè âåëè÷èíû íàçâàííûõ ýëåìåíòîâ ñèñòåìû êîëëåêòèâíîé ýêñïåðòíîé îöåíêè ïî ìåðå ïðèîáðåòåíèÿ îïûòà è äîïîëíèòåëüíîé èíôîðìàöèè ìîãóò óòî÷íÿòüñÿ è ñîâåðøåíñòâîâàòüñÿ.

 

Òàáëèöà 24 - Ïðèìåí¸ííûå ôàêòîðû, è èõ ðàíãè


Âûáðàííûå ïîäõîäÿùèå ôàêòîðû ïîäñòàâèì â ôîðìóëó.

Âåëè÷èíà ðåçóëüòèðóþùåé êîìïëåêñíîé áàëëüíîé îöåíêè íàó÷íî-òåõíè÷åñêîé è ýêîíîìè÷åñêîé ýôôåêòèâíîñòè òåîðåòè÷åñêèõ ðàáîò îïðåäåëÿåòñÿ ïî ôîðìóëå:

 (67)

ãäå: Ýi-äèôôåðåíöèðîâàííàÿ îöåíêà íàó÷íî-òåõíè÷åñêîé è ýêîíîìè÷åñêîé ýôôåêòèâíîñòè òåîðåòè÷åñêîé ðàáîòû ïî õàðàêòåðèçóþùåìó åå i-ìó îñíîâíîìó ôàêòîðó, áàëëû (Ý = 1…5; çíàêè âëèÿíèÿ ôàêòîðîâ íà Ýò: + èëè -);

Êi       -        êîððåêòèðîâî÷íîé êîýôôèöèåíò ýôôåêòèâíîñòè i-ãî ôàêòîðà, ó÷èòûâàþùèé ñòåïåíü âëèÿíèÿ ýòîãî ôàêòîðà íà ðåçóëüòèðóþùèé ïîêàçàòåëü ýôôåêòèâíîñòè Ýò (Êi = 1,0…1,4);

n -      ÷èñëî ó÷èòûâàåìûõ îñíîâíûõ i-õ ôàêòîðîâ, õàðàêòåðèçóþùèõ ðàññìàòðèâàåìóþ ýôôåêòèâíîñòü Ýò (n = 9).

Ñ ó÷åòîì çíàêîâ âëèÿíèÿ ôàêòîðîâ íà Ýò çíà÷åíèé êîýôôèöèåíòîâ Êi è êîëè÷åñòâà îñíîâíûõ ôàêòîðîâ ôîðìóëó (4.57) ìîæíî ïðåäñòàâèòü â ðàçâåðíóòîì âèäå:

                 (68)

ãäå: çíà÷åíèÿ ðàíãîâ (êîëè÷åñòâî áàëëîâ) Ý1, ..., Ý9 îïðåäåëÿþòñÿ ïî äàííûì òàáëèöû 24:

;

.

Íà îñíîâå ïîëó÷åííûõ çíà÷åíèé Ýò îïðåäåëÿþòñÿ ñîîòâåòñòâóþùèå óðîâíè íàó÷íî-òåõíè÷åñêîé è ýêîíîìè÷åñêîé ýôôåêòèâíîñòè òåîðåòè÷åñêèõ ðàáîò. Ðåêîìåíäóåòñÿ ÷åòûðå óðîâíÿ ýôôåêòèâíîñòè: íèçêàÿ, ñðåäíÿÿ, âûñîêàÿ, î÷åíü âûñîêàÿ. Óðîâíè ïðåäñòàâëåíû â òàáëèöå 25

Òàáëèöà 25 - Óðîâíè áàëëüíîé îöåíêè íàó÷íî-òåõíè÷åñêîé è ýêîíîìè÷åñêîé ýôôåêòèâíîñòè òåîðåòè÷åñêèõ ðàáîò


Ðàáîòà ñ÷èòàåòñÿ ñîîòâåòñòâóþùåé ïðåäúÿâëåííûì òðåáîâàíèÿì â òîì ñëó÷àå, êîãäà âåëè÷èíà åå ðåçóëüòèðóþùåé ýôôåêòèâíîñòè Ýò ÿâëÿåòñÿ ïîëîæèòåëüíîé (Ýò > 0). Åñëè çíà÷åíèå Ýò ≤ 0, òî òàêàÿ ðàáîòà áóäåò èìåòü íèçêóþ ýôôåêòèâíîñòü è, ñëåäîâàòåëüíî, åå ïðîâåäåíèå íåöåëåñîîáðàçíî. Áîëüøèíñòâî òåîðåòè÷åñêèõ ðàáîò, ïðîâîäèìûõ â îòðàñëÿõ ÍÈÈ è ÊÁ, èìåþò ñðåäíþþ ýôôåêòèâíîñòü (çíà÷åíèÿ Ýò îò 0,001 äî 1,99).

Äàííàÿ ðàáîòà îòíîñèòñÿ ê âûñîêî ýôôåêòèâíîé ñî çíà÷åíèåì îöåíêè íàó÷íî-òåõíè÷åñêîé è ýêîíîìè÷åñêîé ýôôåêòèâíîñòè +2,11

.4 Âûâîäû ïî ýêîíîìè÷åñêîé ÷àñòè

Ïðîâåä¸ííûå èññëåäîâàíèÿ ïîêàçàëè, ÷òî ýòà äèïëîìíàÿ ðàáîòà ÿâëÿåòñÿ ýêîíîìè÷åñêè öåëåñîîáðàçíîé è àêòóàëüíîé. Ðåçóëüòàòû ðàáîòû ïîêàçàëè, ÷òî ïóò¸ì îïòèìàëüíîãî âûáîðà ìàòåðèàëîâ è êîíñòðóêöèè âîçìîæíî èçãîòîâèòü ìàãíèòíóþ êàòóøêó óäîâëåòâîðÿþùóþ âñåì çàäàííûì ïàðàìåòðàì òåõíè÷åñêîãî çàäàíèÿ.

Çàòðàòû íà ïðîâåäåíèÿ äèïëîìíîé ðàáîòû ñîñòàâèëè: 76361,07 ðóá. Ðàññ÷èòàííàÿ ñìåòà çàòðàò òàáëèöà 22 ïîêàçûâàåò, ÷òî îñíîâíîé ñòàòü¸é çàòðàò ÿâëÿåòñÿ çàðàáîòàííàÿ ïëàòà - 60792 ðóáëåé, ÷òî ñîñòàâëÿåò 79,6 % îò îáùåé ñóììû çàòðàò íà ïðîâåäåíèå äèïëîìíîé ðàáîòû, ýòî ãîâîðèò î çíà÷èòåëüíûõ ðàñõîäàõ íà îïëàòó òðóäà. Ïîäîáíîå ðàñïðåäåëåíèå çàòðàò ìîæíî îáúÿñíèòü òåì, ÷òî äàííàÿ èññëåäîâàòåëüñêàÿ ðàáîòà ÿâëÿåòñÿ î÷åíü òðóäî¸ìêîé, ýòî è îáúÿñíÿåò áîëüøèå çàòðàòû íà çàðàáîòíóþ ïëàòó.

Áûëà ïðîâåäåíà êà÷åñòâåííàÿ íàó÷íî-òåõíè÷åñêàÿ îöåíêà ýôôåêòèâíîñòè äàííîé ÍÈÐ. Äëÿ îöåíêè ýêîíîìè÷åñêîé ýôôåêòèâíîñòè áûë âûáðàí ìåòîä áàëüíîé îöåíêè òåîðåòè÷åñêîé ðàáîòû.  ðåçóëüòàòå ýêîíîìè÷åñêàÿ ýôôåêòèâíîñòü ðàññ÷èòàííàÿ äàííûì ìåòîäîì ñîñòàâèëà +2,11.

Òàêèì îáðàçîì, ìîæíî ñêàçàòü, ÷òî äàííàÿ íàó÷íî-èññëåäîâàòåëüñêàÿ ðàáîòà â öåëîì ýôôåêòèâíà, òàê êàê â õîäå èññëåäîâàíèÿ áûëè äîñòèãíóòû âñå îæèäàåìûå ðåçóëüòàòû êàê ñ èññëåäîâàòåëüñêîé òàê è ñ ýêîíîìè÷åñêîé òî÷êè çðåíèÿ.

Çàêëþ÷åíèå è âûâîäû

 äàííîé ðàáîòå áûë ïðîâåä¸í îáçîð ëèòåðàòóðû ïî èíòåðåñóþùèì ìàòåðèàëàì, ðåçóëüòàòå àíàëèçà êîòîðûõ áûë ïðîâåä¸í âûáîð ìàòåðèàëîâ ñåðäå÷íèêà è îáìîòêè êàòóøêè.  ðàñ÷¸òíîé ÷àñòè ðàáîòû ïðîâåä¸í ðàñ÷¸ò ïàðàìåòðîâ ìàãíèòíûõ êàòóøåê, êîòîðûé äàë òðåáóåìûé ðåçóëüòàò â ñî÷åòàíèè ñ âûáðàííûìè ìàòåðèàëàìè. Ïðîâåä¸ííûé îáçîð ìåòîäîâ êîìïåíñàöèè îñòàòî÷íîé íàìàãíè÷åííîñòè è èõ ýôôåêòèâíîñòè, áûë ýêñïåðèìåíòàëüíî ïðîâåðåí â ýêñïåðèìåíòàëüíîé ÷åñòè ðàáîòû.  ðàçäåëå áåçîïàñíîñòè æèçíåäåÿòåëüíîñòè â êà÷åñòâå ñïåöèàëüíîé ðàçðàáîòêè áûëà ïðîâåäåíà ðàçðàáîòêà çàùèòíîãî çàçåìëåíèÿ. À â ýêîíîìè÷åñêîé ÷àñòè ñîñòàâëåíà ñìåòà çàòðàò íà ïðîâåäåíèå äàííîé ðàáîòû.

Ñïèñîê èñïîëüçîâàííûõ èñòî÷íèêîâ

ìàãíèòíûé íàíîñïóòíèê ñåðäå÷íèê ñîïðîòèâëåíèå

1 Ïàññèâíàÿ ìàãíèòíàÿ ñèñòåìà îðèåíòàöèè ïåðâîãî ðîññèéñêîãî íàíîñïóòíèêà ÒÍÑ-0/ Í.Â.Êóïðèÿíîâà, Ì.Þ.Îâ÷èííèêîâ, Â.È. Ïåíüêîâ, À.Ñ. Ñåëèâàíîâ; Ïðåïðèíò ÈÏÌ èì.Ì.Â.Êåëäûøà. - 2005. - ¹46.

Àíàëèç âðàùàòåëüíîãî äâèæåíèÿ ïåðâîãî ðîññèéñêîãî íàíîñïóòíèêà ÒÍÑ-0 ïî ðåçóëüòàòàì ë¸òíûõ èñïûòàíèé/ À.À.Èëüèí, Í.Â.Êóïðèÿíîâà, Ì.Þ.Îâ÷èííèêîâ, Â.È. Ïåíüêîâ, À.Ñ. Ñåëèâàíîâ; Ïðåïðèíò ÈÏÌ èì.Ì.Â.Êåëäûøà. - 2006. - ¹18.

Ðàñ÷¸ò òîêîâûõ êàòóøåê äëÿ óïðàâëåíèÿ ìàêåòîì ñïóòíèêà â ëàáîðàòîðíûõ óñëîâèÿõ È.Å.Çàðàìåíñêèõ, Ì.Þ.Îâ÷èííèêîâ; Ïðåïðèíò ÈÏÌ èì.Ì.Â.Êåëäûøà. - 2005. - ¹93.

Â.È. ×å÷åðíèêîâ, Ìàãíèòíûå èçìåðåíèÿ. - Ìîñêâà, 1969.

Å.Ñ.Áîðîâèê, Â.Â.Åðåìåíêî, À.Ñ.Ìèëüíåð, Ëåêöèè ïî ìàãíåòèçìó, 3-å èçäàíèå. - Ìîñêâà, 2005.

6 Ìåòðîëîãè÷åñêîå îáåñïå÷åíèå áåçîïàñíîñòè òðóäà/ Ïîä ðåä. È. Õ. Ñîëîãÿíà. - Ì.: Èçä-âî ñòàíäàðòîâ, 1989.

Áåçîïàñíîñòü æèçíåäåÿòåëüíîñòè â ìåòàëëóðãèè: Ó÷åáíèê äëÿ âóçîâ / Ë. Ñ. Ñòðèæêî, Å. Ï. Ïîòîöêèé, È. Â. Áàáàéöåâ è äð.; Ïîä ðåä. Ë. Ñ. Ñòðèæêî. - Ì.: Ìåòàëëóðãèÿ, 1996.

Áåçîïàñíîñòü òðóäà íà ïðîèçâîäñòâå. Çàùèòíûå óñòðîéñòâà: Ñïðàâî÷íîå ïîñîáèå / Êîëë. àâò.; Ïîä ðåä. Á.Ì. Çëîáèíñêîãî. - Ì.: Ìåòàëëóðãèÿ, 1971.

ÑÍèÏ 2.01.02-85. Ïðîòèâîïîæàðíûå íîðìû/ Ãîññòðîé ÑÑÑÐ. - Ì.: ÖÈÒÏ Ãîññòðîÿ ÑÑÑÐ, 1986.

10 ÑÍèÏ 2.04.05-91. Îòîïëåíèå, âåíòèëÿöèÿ è êîíäèöèîíèðîâàíèå/ Ãîññòðîé ÑÑÑÐ. - Ì.: ÃÓÏ ÖÏÏ, 1999.

11 ÑÍèÏ 23-05-95. Åñòåñòâåííîå è èñêóññòâåííîå îñâåùåíèå/Ìèíñòðîé Ðîññèè. - Ì.: ÃÏ ÖÏÏ, 1995.

12 ÃÎÑÒ 12.0.003-74. Ñèñòåìà ñòàíäàðòîâ áåçîïàñíîñòè òðóäà. Îïàñíûå è âðåäíûå ïðîèçâîäñòâåííûå ôàêòîðû. Êëàññèôèêàöèÿ. - Ïåðåèçä. Àâã. 2004 ñ èçì.1. - Ì.: Ñòàíäàðòèíôîðì, 2007.

13 ÃÎÑÒ Ð 50587-93. Ïàñïîðò áåçîïàñíîñòè âåùåñòâà (ìàòåðèàëà). Îñíîâíûå ïîëîæåíèÿ. Èíôîðìàöèÿ ïî îáåñïå÷åíèþ áåçîïàñíîñòè ïðè ïðîèçâîäñòâå, ïðèìåíåíèè, õðàíåíèè, òðàíñïîðòèðîâàíèè, óòèëèçàöèè. - Ì.: Èçä-âî ñòàíäàðòîâ, 1993.

ÃÎÑÒ 12.1.005-88. Ñèñòåìà ñòàíäàðòîâ áåçîïàñíîñòè òðóäà. Îáùèå ñàíèòàðíî-ãèãèåíè÷åñêèå òðåáîâàíèÿ ê âîçäóõó ðàáî÷åé çîíû. - Ïåðåèçä. ßíâ. 2008 ñ èçì.1.. - Ì.: Ñòàíäàðòèíôîðì, 2008..

15 ÃÎÑÒ 12.1.044-89. ÑÑÁÒ. Ïîæàðîâçðûâîîïàñíîñòü âåùåñòâ è ìàòåðèàëîâ. Íîìåíêëàòóðà ïîêàçàòåëåé è ìåòîäû èõ îïðåäåëåíèÿ. - Ì.: Èçä-âî ñòàíäàðòîâ, 1990.

ÃÎÑÒ 31311-2005. Ðàäèàòîðû îòîïèòåëüíûå ÷óãóííûå. Òåõíè÷åñêèå óñëîâèÿ. - Ì.: Ñòàíäàðòèíôîðì, 2005.

ÑÏ12.13130.2009. Îïðåäåëåíèå êàòåãîðèé ïîìåùåíèé, çäàíèé è íàðóæíûõ óñòàíîâîê ïî âçðûâîïîæàðíîé è ïîæàðíîé îïàñíîñòè. - Ìîñêâà, Ì×Ñ Ðîññèè, 2009.

18 Ýêîíîìèêà è îðãàíèçàöèÿ ïðîèçâîäñòâà/ Ë. À. Ô¸äîðîâ; Â. Â. Ãîëóáöîâ; ó÷åáíîå ïîñîáèå ÌÈÑèÑ. - 2005.

Ýêîíîìèêà è îðãàíèçàöèÿ ïðîèçâîäñòâà/ Ì. Î. Âèõðîâà; ó÷åáíî-ìåòîäè÷åñêîå ïîñîáèå ÌÈÑèÑ. - 2006.

Îïðåäåëåíèå ýêîíîìè÷åñêîé ýôôåêòèâíîñòè ÍÈÐ è ÎÊÐ/ ãèðåäìåò. - 2003 ã.

21 ÃÎÑÒ 7262 - 05. Ïðîâîäà ìåäíûå, èçîëèðîâàííûå ëàêîì ÂË - 931. Òåõíè÷åñêèå óñëîâèÿ. - Ì.: Ñòàíäàðòèíôîðì, 2005.

Ðàçìåùåíî íà Allbest.ru