Материал: Определение диацетила в некоторых пищевых продуктах

Внимание! Если размещение файла нарушает Ваши авторские права, то обязательно сообщите нам

1.6 Оценка качества вина

Экспертиза потребительских свойств винной продукции определяет соответствие товарных качеств действующим государственным стандартам и техническим условиям на отдельные виды продукции. Методы экспертизы позволяют оценить изменения качества, связанные с технологией производства, использованием сырья, упаковкой, хранением, транспортировкой, условиями реализации.

Товарная экспертиза при исследование качества вина и винной продукции пользуется органолептическими, физико-химическими и микробиологическими показателями. Существует много стандартов, призванных контролировать качество и безопасность производимого вина и другой алкогольной продукции.

Для определения железа (ӀӀӀ) в виноградных соках, плодовых, шампанских, игристых винах, виноматериалах, коньяках и коньячных спиртах, применяют фотометрический метод. Метод основан на образовании комплексного соединения синего цвета берлинской лазури. [15].

Проводят определение массовой концентрации сахаров метолом Бертрана. Метод основан на восстановлении инвертным сахаром окисной формы меди в растворе Фелинга в закисную. Закисную форму меди переводят в окисную с помощью сернокислой окиси железа. Образовавшуюся закись железа определяют перманганатометрически [16].

Для определения альдегидов применяют метод, основанный на связывании альдегидов бисульфитом, окисления бисульфита йодом, разрушении альдегидсернистого соединения щёлочью и йодометрическим титрованием выделившегося сульфита. Метод распространяется на виноградные соки, плодовые, шампанские, игристые вина, виноматериалы, коньячные спирты и плодовые спирты с объёмной долей этилового спирта не мание 40%. [17].

Используют фотоэлектроколориметрический метод определения массовой концентрации сахара (сахарозы, глюкозы, фруктозы) с применением пикриновой кислоты. Диапазон измерения массовой концентрации сахара 0,1 - 300 г./дмі. Данный метод распространяется на вина, виноматериалы, коньяки [18].

Определение массовой концентрации общего экстракта проводят с помощью пикнометра по относительной плотности продукта и относительной плотности его дистиллята. Массовую концентрацию приведённого и остаточного экстракта вычисляют на основании полученного значения общего экстракта [19]. Также определяют объёмную долю продукта этилового спирта ареометром для определения спирта в дистилляте после предварительной перегонки [20].

Метод определения массовой концентрации свободного и общего диоксида серы основан на окислении сернистой кислоты йодом в серную кислоту в кислой среде в присутствии крахмала. Связанная сернистая кислота предварительно разрушается под действием щёлочи, а затем подкисленная серной кислотой, переводится в свободное состояние [21].

Метод определения фурфурола в ректификованном этиловом спирте основан на реакции взаимодействия фурфурола с анилином в присутствии ледяной уксусной кислоты с образованием окрашенных растворов. Метод распространяется на спирт. [22].

Применяют газохроматографический метод определения содержания летучих органических примесей уксусного альдегида, сложных эфиров, сивушного масла, метилового спирта, ацетона, 2-бутанона и диацетила с использованием капиллярных колонок. Определения проводят в отгонах [23].

Используют метод инверсионно-вольтамперометрического определения содержания показателей безопасности: кадмия, свинца, цинка, меди, мышьяка, ртути, железа, и общего диоксида серы [24].

Для контроля качества вина от каждой партии продукции отбирают выборку [25]. Партией считают предназначенную для контроля совокупность едениц продукции одного наименования в однородной таре с одинаковыми физико-химическими показателями, произведённых на одном заводе-изготовителе, на одном технологическом оборудовании, в течении одного технологического цикла, по единому производственному режиму, одной даты изготовления и оформленную одним сопроводительным документом.

1.7 Методы определения диацетила

В процессе ферментативного брожения в вине образуются побочные продукты брожения: 2,3 - бутандиол, 3-окси-2-бутандион (ацетоин) и 2,3 - пентадиол, 2,3 - бутандиона (диацетила), 2,3 - пентандиона. Из побочных продуктов брожения особое значение имеют вицинальные дикетоны, от содержания которых зависят вкусовые качества продукта.

Исследовали динамику разложения вторичных продуктов брожения в пиве. [26, 27, 28]. Предложен метод раздельного определения диацетила и ацетоина, позволяющий определять концентрации указанных веществ и анализировать динамику их разложения. Полученная информация позволяла своевременно корректировать параметры технологического процесса приготовления пива [26].

Определяли диацетил, в отдельных сортах пива. Использовали фотоколориметрический метод. Метод позволяет снизить время и затраты на пробоподготовку, уменьшить, по сравнению с существующими спосабами пробоподготовки, потери определяемого вещества. Выполняли экспериментальную проверку свойств адитивности анализируемой сложной системы. Экспресс-анализ был реализован на основе метода серии добавок. Был выполнен анализ возможных источников погрешностей и даны рекомендации по их уменьшению [27].

Предложен экспресс-метод определения диацетила, позволяющий контролировать его во время брожения и дображивания, способствующий корректировки параметров технологического процесса производства пива [28].

Распространенным способом определения диацетила является спектрофотометрический метод с предшествующей дистилляцией с водяным паром. Используется реакция вицинальных дикетонов с дериватизационным реагентом, чаще всего 1,2 - диметиламинобензилом или орто-фенилендиамином, при которой образуются цветные продукты. Слабым местом спектрофотометрических методов является невозможность определить диацетил и пентандион по отдельности.

Хроматографические методы лишены этого недостатка. Для определения вицинальных дикетонов в пиве использовали метод газовой хроматографии, детектор захвата электронов и 2,3 - гександион как внутренний стандарт [29].

Возможно определение глиоксаля, метилглиоксаля и диацетила в пиве и вине методом высокоэффективной жидкостной хроматографии со спектрофотометрическим детектированием в ультрафиолетовой области после получения производных с о-фенилендиамином [30].

Предложена простая, экспрессная и высокочувствительная методика спектрофотометрического определения диацетила в растворах, основанная на его реакции с 2.3-диаминонафталином с образованием сильно флуоресцирующего 2,3 - диметилнафтопиразина. Градуировочный график линеен в интервале концентрации 0,175 - 2,5 мкмоль/л [31].

Также исследована возможность применения инверсионной катодной вольтамперометрии переменного тока с прямоугольным напряжением для определения органических веществ и других компонентов, которые обладают быстрой скоростью восстановления на стадии адсорбции. Вольтамперометрический сигнал переменного тока при этом либо очень мал, или отсутствует. На примере диацетила была исследована зависимость аналитического сигнала от частоты переменного тока [33].

Широко известна реакция диацетила с 1-нафтолом и креатином в щелочной среде [34]. Существует единственная работа в которой предложено заменить 1-нафтол 2-нафтолом для увеличения чувствительности спектрофотометрического определения диацетитла. Определения проводили на модельных растворах [35].

2. Экспериментальная часть

.1 Исходные реактивы, материалы и используемая аппаратура

- электроплитка по ГОСТ14919 - 83.

фотоэлектроколориметр КФК - 3.

весы лабораторные второго класса точности, ВЛР-200 по ГОСТ 24104 - 88.

меры масс ГОСТ 7328 - 82.

пипетки градуированные вместимостью 100, 50, 10, 5, 2, 1 мл по ГОСТ 20292 - 74.

колбы плоскодонные со шлифом вместимостью 250 мл по ГОСТ 25336 - 82.

цилиндры вместимостью 5-10 мл по ГОСТ 1770 - 74.

градуированные пробирки вместимостью 10-15 мл по ГОСТ 19808 - 86.

колбы мерные вместимостью 10, 15, 25 мл по ГОСТ 1770 - 74.

кюветы стеклянные L = 1 см.

воронки лабораторные по ГОСТ 25336 - 82.

кислота соляная х.ч. по ГОСТ 3118 - 77.

креатин х.ч. по ГОСТ 388 - 73.

диацетил х. ч.

2 - нафтол х. ч.

вода, дистиллированная ГОСТ 6709 - 72.

стаканы химические, вместимостью 50-100 смᵌ ГОСТ 25336 - 82.

2.2 Приготовление растворов

Раствор диацетила, концентрация 1,7900 г./л.

Навеску диацетила массой 0,0895 г. растворяем в дистиллированной воде в мерной колбе на 50,0 смᵌ и доводим до метки дистиллированной водой.

Раствор диацетила, концентрация 0,01432 г./л

В мерную колбу на 250,0 смі помещаем 2, 00 смі основного раствора диацетила с концентрацией 1,7900 г./л и доводим до метки дистиллированной водой.

Раствор креатина, молярная концентрация 0,0221 моль/дмі.

Растворяют навеску креатина массой 0,0625 г. в 10-20 смі дистиллированной воды в мерной колбе объёмом 25,0 смі. По окончанию растворения доводят до метки дистиллированной водой.

Раствор 2 - нафтола, молярная концентрация 0,2588 моль/дмі.

В мерную колбу вместимостью 10,00 смі помещают навеску 0,3731 г. 2-нафтола, растворяют в 10,00 смі 1,50 М щёлочи. Раствор должен готовиться непосредственно перед использованием.

Раствор гидроксида натрия, молярная концентрация 1,50 моль/дмі.

В 300-400 смі дистиллированной воды растворяют навеску гидроксида натрия массой 60,00 г. По окончанию растворения разбавляют дистиллированной водой до объёма 1,0 л.

2.3 Установление оптимальных условий эксперимента

Определение суммарной концентрации реагентов 2-нафтола и креатина

В результате взаимодействия диацетила с 2-нафтолом и креатином образуется соединение неописанного состава [35]. Мольное соотношение креатин: 2-нафтол было установлено по литературным данным и оставалось постоянным 1: 6.

Подбирали оптимальные концентрации реагентов 2-нафтола и креатина. При увеличении суммарной концентрации креатина и 2-нафтола происходило увеличение абсорбционности (рисунок 2.1).

Рисунок 2.1 - Зависимость абсорбционности от суммарной концентрации реагентов 2-нафтола и креатина

Была определена суммарная оптимальная концентрация реагентов 20 ммоль/л, при которой оптическая плотность достигала максимума.

Определение концентрации гидроксида натрия

Время развития окраски продукта реакции диацетила с 2-нафтолом и креатином зависит от концентрации щёлочи в растворе (рисунок 2.2)

Рисунок 2.2 - Зависимость оптической плотности от времени. Концентрации гидроксида натрия 0,060M

Время достижения максимальной абсорбционности при концентрации гидроксида натрия 0,06 М составило 40 минут. Для уменьшения времени развития окраски увеличивали концентрацию гидроксида натрия (рисунок 2.3).

Рисунок 2.3 - Зависимость оптической плотности от времени. Концентрации гидроксида натрия 0,3M

При увеличении концентрации гидроксида натрия до 0,3 М время развития окраски уменьшилось с 40 до 12 минут. Окраска раствора стала более устойчивой. При дальнейшем увеличении концентрации щёлочи время развития окраски не изменялось.

2.4 Определение зависимости аналитического сигнала от концентрации диацетила

В мерные колбы вместимостью 10,00 см3 помещали 0,20; 0,30; 0,40; 0,50; 0,70; 1,00; 2,00; 3,00 см3 рабочего раствора диацетила с концентрацией 14,32 мкг/мл. Приливали по 1,40 см3 раствора 2-нафтола с концентрацией 0,2588 моль/дм3, 2,70 см3 креатина с концентрацией 0,0221 моль/дм3 и 0,60 см3 1,50 М раствора щёлочи. Доводили до метки дистиллированной водой. Измеряли оптическую плотность продукта взаимодействия диацетила с 2-нафтолом и креатином в щелочном растворе через 12 минут на фотоэлектроколориметре КФК-3 при длине волны л=498 нм. В качестве растворов сравнения использовали холостую пробу. Получали зависимость А=f (С), где С - концентрация диацетила (рисунок 2.4).

Рисунок 2.4 - Зависимость оптической плотности от концентрации диацетила

2.5 Выделение диацетила методом отгонки

Диацетил - очень летучее вещество. Поэтому для выделения диацетила из анализируемых проб применили метод отгонки. Предварительно диацетил очищали перегонкой над поташем (К2СО3). Соединение идентифицировали по температуре кипения (88°С) и показателю преломления (1,3951). Для оценки полноты извлечения диацетила в плоскодонную колбу на 250,0 мл помещали 50,0 мл стандартных растворов диацетила. Отгонную колбу помещали на электроплитку. Приёмник погружали в стакан со льдом. Время дистилляции 7 - 8 минут. Объём дистиллята 10,0 мл. Для учета потерь при выделении диацетила, определяли зависимость оптической плотности от концентрации модельных растворов диацетила в отгонной колбе (рисунок 2.5).

Рисунок 2.5 - Зависимость оптической плотности от концентрации диацетила

Зависимость оптической плотности от концентрации диацетила подчиняется закону Бугера - Ламберта - Бера в интервале от 0,30 до 3,00 мкг/мл. Коэффициент линейной корелляции RІ = 0,999.

Диацетил отгоняли из объема 50 мл, объем дистиллята 10 мл. В результате дистилляции происходит увеличение концентрации диацетила.

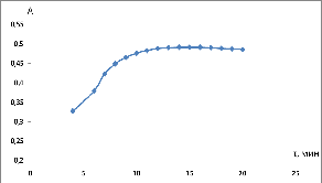
Коэффициент концентрирования зависит от концентрации модельных растворов диацетила и изменяется от 2,50 до 3,60. При уменьшении концентрации диацетила коэффициент концентрирования уменьшается (рисунок 2.6).

Рисунок 2.6 - Зависимость коэффициента концентрирования диацетила от его отгонной колбе

2.6 Проверка правильности методики методом «введено найдено»

Правильность предложенной методики была проверена методом «введено-найдено» (таблица 2.1).

В 300,00 мл вина (белого и красного) прибавляли 3,00 мл стандартного раствора диацетила и тщательно перемащивали. Из полученного раствора отбирали 50,00 мл и отгоняли 10,00 мл дистиллята. После прибавляли растворы реагентов 2-нафтола и креатина. Оптическую плотность полученных растворов определяли на ФЭКе.

Таблица 2.1 - Проверка правильности методики методом «введено-найдено».

Название вина

Концентрация диацетила, мг/дмᵌ


Проба

Введено

Найдено

«Каберне»

0,69±0,06

0,716

1,37±0,07

«Земфира»

0, 39±0,02

0,550

0,84±0,02

«Шардоне»

0,51±0,03

0,716

1,20±0,08


Погрешность определения не превысила 5%.

2.7 Определение диацетила в винах

Были проанализированы 10 образцов вина, приобретённые в торговой сети. Диацетил, несмотря на относительно низкие концентрации в вине оказывает влияние на его аромат, кроме того, он участвует в биохимических реакциях приводящих к образованию других ароматобразующих соединений.

Диацетил отгоняли из пробы вина 50,00 смі. Отгон проводили в течение 7 - 8 минут. Объём дистиллята 10,0 смі. В мерную колбу на 10,00 смі помещали 5,00 смі дистиллята, прибавляли 1,40 смі 2-нафтола с концентрацией 0,02588 моль/дм3, 2,70 смі креатина с концентрацией 0,0221 моль/дм3 и 0,60 смі 1,50 М гидроксида натрия. Доводили до метки дистиллированной водой. Выдерживали растворы 12 минут и определяли оптическую плотность на фотоэлектроколориметре KФK-3 при длине волны 490 нм., длина кюветы 10 мм. Рассчитывали концентрацию диацетила в вине по формуле

C = (C1V1)/V2 (1)

Где С - концентрация диацетила в вине, мкг/мл;

С1 - концентрация диацетила по градуировачному графику мкг/мл;

V1 - объём мерной колбы, 10,0 смі;

V2 - объём дистиллята, 10,0 смі взятого для анализа;

Результаты анализа образцов вина представлены в таблице 2.2.

Таблица 2.2 - Результаты анализа образцов вина

Название образцов вина

Производитель

НТД

Концентрация диацетила в пробе мг/дмᵌ

«Каберне»

ОАО АПФ «Фанагория», кр. Краснодарский, п. Сенной. Вино столовое сухое красное

ГОСТ Р 52523-2006

0,69±0,06

«Земфира»

OOO КПП «Северское», кр. Краснодарский, ст. Северская. Вино столовое сухое белое.

ГОСТ Р 52523-2006

0, 39±0,02

«Шардоне»

ООО «Кубань-вино» кр. Краснодарский, ст. Старотитаровская. Вино столовое сухое белое.

ГОСТ Р 52523-2006

0,51±0,03

«Мускат фанагория»

ОАО АПФ «Фанагория», кр. Краснодарский, п. Сенной. Вино столовое полусладкое белое.

ГОСТ Р 52523-2006

0,44±0,03

«Монашеский орден»

ООО «Кубанские Вина», кр. Краснодарский, г. Темрюк. Вино столовое полусладкое белое.

ГОСТ Р 52523-2006

0,74±0,05

 «Николь»

OOO «Суворов-Вин», г. Кишинёв. Вино столовое красное полусладкое.

ГОСТ Р 52523-2006

0,17±0,01

«Золотой лотос»

ООО «Марьянские вина», г. Краснодар. Вино белое сладкое.

-

0,40±0,03

«Изабелла»

ООО «Долина», кр. Краснодарский, ст. Вышестеблиевская. Вино красное.

ГОСТ Р 52404-2005

0,71±0,04

«Роза в бокале»

ООО «ТВК-Кубань», кр. Краснодарский, ст. Старотитаровская. Вино полусладкое красное.

ГОСТ Р 52523-2006

0,58±0,04

«Красный лотос»

ООО «Марьянские вина», г. Краснодар. Вино белое сладкое.

-

0,14±0,01


Содержание диацетила в вине определяет степень его окисленности. При концентрации диацетила больше 0,8 мг/дмᵌ вино приобретает тона окисленности. Проанализированные вина относятся к винам не окисленного типа так как содержание диацетила не превышает 0,8 мг/дмᵌ.

.8 Метрологическое оценка показателей качества разработанной методики

Разработка методики анализа предусматривает установление приписанных характеристик погрешности. Значения приписанных характеристик погрешности устанавливают для всего диапазона действия методики анализа. Планирование эксперимента должно отвечать условиям воспроизводимости. С этой целью ОО отсылают в L лабораторий, каждая из которых получает N результатов единичного анализа в условиях повторяемости. Под «лабораторией» подразумевают сочетание таких факторов, как «оператор», «оборудование» и «место измерений». Одна лаборатория в общепринятом значении этого слова представляет собой несколько «лабораторий» в том случае, если она может предусматривать наличие нескольких операторов, каждый из которых располагает своим рабочим местом с комплектом оборудования и условиями, в которых выполняют работу.

Для оценки показателей качества был выбран образец красного вина «Каберне» (ОАО АПФ «Фанагория»). Оценку прецизионности проводили согласно РМГ 61 - 2003 Государственная система обеспечения единства измерений. Показатели точности, правильности и прецизионности методов количественного химического анализа. Методы оценки. Для образца вина в условиях внутрилабораторной прецизионности было получено 10 сходимых результатов определения диацетила, каждое из которых представляло среднее арифметическое 2-х параллельных определений (таблица 2.3).

Таблица 2.3 - Результаты для оценки прецизионности диацетила в вине «Каберне»

Х1

Х2

№Х1Х2





1

0,635

0,645

0,640

11

0,549

0,517

0,533

2

0,679

0,681

0,680

12

0,621

0,589

0,605

3

0,600

0,580

0,590

13

0,525

0,495

0,510

4

0,753

0,775

0,764

14

0,582

0,552

0,567

5

0,679

0,695

0,687

15

0,563

0,545

0,554

6

0,705

0,691

0,698

16

0,630

0,656

0,643

7

0,689

0,711

0,700

17

0,589

0,611

0,600

8

0,560

0,593

0,577

18

0,597

0,577

0,587

9

0,658

0,650

0,654

19

0,643

0,661

0,652

10

0,638

0,656

0,647

20

0,575

0,620

0,598

 

Алгоритм оценивания прецизионности включал в себя расчет среднего арифметического по формуле (2), показателя разброса по формуле (3), проверку однородности дисперсии по критерию Кохрена и расчет показателя и предела повторяемости на основе данных, представленных в таблице 11:

,        (2)

, l = 1,…, L. (3)

На основе полученных значений выборочных дисперсий проверили гипотезу о равенстве генеральных дисперсий, используя критерий Кохрена. Дисперсии результатов единичного анализа, полученные в различных лабораториях, имеют различные значения. Предполагают, что для аттестованной методики анализа такие различия между лабораториями невелики и, что допустимо установить одно общее (усредненное) значение дисперсии для всех лабораторий, применяющих данную методику.

Значение критерия Кохрена Gmax рассчитали по формуле:

 (4)

и сравнили его с табличным значением этого критерия (Gтабл) для числа степеней свободы v = N - 1, соответствующего максимальной дисперсии, и f=L, соответствующего числу суммируемых дисперсий, и принятой доверительной вероятности Р = 0,95.

Так как Gmax < Gтабл, то  считали однородными и по ним оценивали средние квадратические отклонения (далее - СКО), характеризующие повторяемость результатов единичного анализа (параллельных определений), полученных для содержания, соответствующего содержанию компонента. СКО - Srl рассчитывают по формуле:

, (5)

Показатель повторяемости методики анализа в виде СКО - srl для содержания, соответствующего содержанию компонента в ОО, устанавливают, принимая равным Srl:

srl » Srl.

Показатель повторяемости методики анализа в виде СКО, выраженный в процентах рассчитывают:

srl, % = , (6)

где Х - общее среднее значение результатов анализа, полученных в условиях повторяемости.

Предел повторяемости рассчитывали по формуле:

rl = Q (P, n)уrl,                                 (7)

где n - число параллельных измерений.

При Р=0,95; n=2; Q (P, n)=2,77.

Для оценки показателя воспроизводимости методики анализа рассчитали выборочное СКО результатов анализа, полученных в условиях воспроизводимости, - SRl по формуле:

 (8)

где n - число экспериментальных лабораторий.

N - число измерений в одной лаборатории.

Показатель воспроизводимости методики анализа в виде СКО - sR для содержания, соответствующего содержанию компонента, устанавливают, принимая равным SRl:

sRl » SRl

Показатель воспроизводимости методики анализа в виде СКО, выраженный в процентах:

sRl, % =                              (9)

Предел повторяемости рассчитывали по формуле:

R = Q (P, n)уRl,                                (10)

Для оценки правильности и точности методики анализа применяли метод добавки. Образцами для оценивания являлись рабочие пробы и пробы с добавкой, которую вносили в виде раствора вещества-стандарта. Исходные данные представлены в таблице 2.4

Таблица 2.4 - Результаты для оценки правильности и точности диацетила

Результат анализа пробы без добавки Хl

Результат анализа пробы с добавкой Xl

Значение экспериментально найденной добавки Хд = Xl′ - Хl

1

0,680

1,325

0,654

2

0,590

1,263

0,673

3

0,764

1,453

0,689

4

0,687

1,393

0,706

5

0,698

1,365

0,667

6

0,700

1,429

0,729

7

0,577

1,286

0,709

8

0,654

1,370

0,716

9

0,677

1,352

0,705

10

0,640

1,370

0,730

11

0,533

1,244

0,711

12

0,605

1,260

0,679

13

0,510

1,229

0,719

14

0,567

1,289

0,722

15

0,554

1,247

0,693

16

0,643

1,368

0,717

17

0,600

1,318

0,718

18

0,587

1,303

0,716

19

0,625

1,325

0,700

20

0,598

1,277

0,679

 

Для оценки правильности методики анализа рассчитывали среднее арифметическое экспериментально найденной добавки и дисперсию, характеризующую разброс средних арифметических значений результатов единичного анализа Xl относительно среднего значения результатов анализа рабочих проб и рабочих проб с добавкой:

,         (11)

, l = 1,…, L.                     (12)

Далее для оценки показателя правильности методики анализа рассчитывали оценку математического ожидания систематической погрешности методики анализа - Q как разность между средним значением экспериментально найденной добавки Хд и аттестованным значением добавки - C:

Q = Хд - C (13)

Проверили значимость вычисленных значений Q по критерию Стьюдента. Для этого рассчитали значение t-критерия (tэксп):

, (14)

где  − дисперсия, характеризующая разброс средних арифметических значений результатов единичного анализа Хl, относительного среднего значения результатов анализа Х;

Dдоб - погрешность аттестованного значения добавки к пробе.

 (15)

где Сдоб - приписанное модельной смеси значение концентрации диацетила (для диацетила - 0,716 мг/дм3);

щ - массовая доля примесей в аналитическом стандарте диацетила;

щ - массовая доля диацетила в аналитическом стандарте (99,0%);

Дm - предел возможного отклонения весов лабораторных второго класса точности, при взвешивании стандартной навески ();

m - масса стандартной навески (0,0895 г.);

Vк - номинальный объем колбы, в которой готовится раствор (100см3);

ДVк - предел возможного отклонения объема мерной колбы от номинального (0,8 см3);

Vп1 - объем конечного раствора, отбираемого пипеткой второго класса с делениями (1см3);

ДVп - предел возможного объема раствора, отбираемого пипеткой (0,015см3);

Vп2 - объем конечного раствора, отбираемого пипеткой второго класса с делениями (5см3);

ДVп - предел возможного объема раствора, отбираемого пипеткой (0,05см3);

Vп3 - объем конечного раствора, отбираемого пипеткой второго класса (50см3);

ДVп - предел возможного объема раствора, отбираемого пипеткой (0,05см3);

Полученное значение tэксп сравнивали с tтабл при числе степеней свободы f =L для доверительной вероятности Р = 0,95.

Так как tэксп < tтабл, то оценка систематической погрешности незначима на фоне случайного разброса, и в этом случае ее принимают равной нулю (Qm =0).

При выполнении данного критерия может быть принято решение о введении в результаты анализа, получаемые при реализации данной методики, поправки на значение Q, то есть значение Q, соответствующее содержанию С - Q(С), вычитают из любого результата анализа, полученного по методике.

При незначимости Q или при принятом для методики анализа решении о введении в результаты анализа поправки показатель правильности методики анализа [верхнюю (Dс.в) и нижнюю (Dс.н) границы, в которых неисключенная систематическая погрешность методики анализа находится с принятой вероятностью Р= 0,95, рассчитывают по формуле:

 (16)

Для оценки показателя точности методики анализа рассчитали верхнюю (Dв) и нижнюю (Dн) границы, в которых погрешность результата анализа находится с принятой вероятностью Р = 0,95:

. (17)

В результате метрологической оценки были получены следующие показатели точности, правильности, повторяемости, воспроизводимости и пределы повторяемости и воспроизводимости для образцов вина (таблица 2.5).

Таблица 2.5 - Значения показателей качества методики анализа

Метрологические характеристики

Диацетил

Показатель правильности Дс, %

12

Показатель точности Д, %

22

Показатель повторяемости уrl, %

7

Предел повторяемости rl, %

17

Показатель воспроизводимости уRl, %

10

Предел воспроизводимости Rl, %

27

 

В результате выполнения работы был разработан проект стандарта организации на методику определения катионов щелочных и щелочноземельных металлов в вине.

Заключение

. Подобраны условия выделения и определения диацетила спектрофотометрическим методом.

. Показано, что в процессе дистилляции происходит концентрирование диацетила. Степень концентрирования изменяется от 3,8 до 2,2 и зависит от концентрации стандартных растворов диацетила.

. Получена линейная зависимость аналитических сигналов от концентрации диацетила в отгонной колбе.

. Определена суммарная концентрация реагентов креатина и в-нафтола (20 ммоль/л). Молярное соотношение Скреатин: Св-нафтол =1:6.

. Изучена зависимость времени развития окраски от концентрации гидроксида натрия. Установлено, что при концентрации гидроксида натрия не менее 0,3 моль/л время развития окраски уменьшается до 12 мин. Дальнейшее увеличение концентрации щёлочи не уменьшает время развития окраски.

. Правильность разработанной методики проверена методом «введено-найдено».

. Проведена метрологическая оценка показателей качества разработанной методики анализа.

. По разработанной методике определено содержание диацетила в вине. Все проанализированные вина не имеют тона окисленности.

Список используемых источников

1 Электронный ресурс. URL: http://ru.wikipedia.html

Электронный ресурс. URL: http://flavourartexpress.ru/diacetyl.html

3 Электронный ресурс. URL: http://milkco.ru/masla/aromat-masla.htm

Электронный ресурс. URL: http://ckhtl.com/books/gorbatov. html

Электронный ресурс. URL: http://bibliofond.ru/view. html

Электронный ресурс. URL: http://www.alcomarket.info. html

Электронный ресурс. URL: http://iok.narod.ru/bf.html

Шевченко, В.В. Товароведение и экспертиза потребительских товаров. - М.: ИНФА, 2001. - 544 с.

Электронный ресурс. URL: http://sortov.net/poisk.html

Иванов, М.Г. Мир вина. - Смоленск.: Русич, 2001. - 510 с.

Валуйко, Г.Г. Виноградные вина. - М.: Пищевая промышленность, 1988. - 254 с.

12 Электронныйресурс.URL:http://alcogol.nmn.su/ page. html

13 Электронный ресурс. URL: http://aquanox.ru/shampanskoe/54-izmenenie-aromatobrazuyuschih-komponentov.html

Электронный ресурс.URL: http: //www.prostoflora.ru/ximvino.html

ГОСТ 13195 - 73. Вина, виноматериалы, коньяки, коньячные спирты, соки плодово-ягодные спиртованные. Метод определения железа. - Введ. 1975.01.01. - М.: Изд-во стандартов, 1973. - 4 с.

ГОСТ 13192-73 Вина, виноматериалы, коньяки. Метод определения сахаров. - Введ. 1975.01.01 - М.: Изд-во стандартов, 1973. - 9 с.

ГОСТ 12280 - 75 Вина, виноматериалы, коньячные и плодовые спирты. Метод определения альдегидов. - Введ. 1977.01.07. - М.: Изд-во стандартов, 1975. - 8 с.

ГОСТ Р 51875 - 2002 Вина, виноматериалы и коньяки. Фотоэлектроколориметрический метод определения массовой концентрации сахара с применением пикриновой кислоты (тринитрофенола). - Введ. 2003.01.01. - М.: Госстандарт России: Изд-во стандартов, 2002. - 11 с.

ГОСТ Р 51620 - 2000 Алкогольная продукция и сырьё для её производства. Метод определения массовой концентрации приведенного экстракта. - Введ. 2001.01.01. - М.: Госстандарт России: Изд-во стандартов, 2000. - 5 с.

ГОСТ Р 51653 - 2000 Алкогольная продукция и сырьё для её производства. Метод определения объёмной доли этилового спирта. - Введ. 2001.07.01. - М.: Госстандарт России: Изд-во стандартов, 2001. - 6 с.

ГОСТ Р 51655 - 2000 Алкогольная продукция и сырьё для её производства. Метод определения массовой концентрации свободного и общего диоксида серы. - Введ. 2001.07.01. - М.: Госстандарт России: Изд-во стандартов, 2000. - 7 с.

ГОСТ Р 51710 - 2001 Спирт этиловый. Метод определения наличия фурфурола. - Введ. 2002.01.01. - М.: Госстандарт России: Изд-во стандартов, 2001. - 7 с.

ГОСТ Р 52363 - 2005 Спиртосодержащие отходы спиртового и лекёроводочного производства. Газохроматографический метод определения содержания летучих органических примесей. - Введ. 2006.07.01. - М.: Госстандарт России: Изд-во стандартов, 2005. - 11 с.

ГОСТ Р 51823 - 2001 Алкогольная продукция и сырьё для её производства. Метод инверсионно-вольтамперометрического определения содержания кадмия, свинца, цинка, меди, мышьяка, ртути, железа, и общего диоксида серы. - Введ. 2003.01.01. - М.: Госстандарт России: Изд-во стандартов, 2001. - 8 с.

ГОСТ Р 51144 - 98 Продукты винодельческой промышленности. Правила приёмки и методы отбора проб. - Введ. 1999.01.01. - М.: Госстандарт России: Изд-во стандартов, 1998. - 6 с.

Третьяк, Л.Н. Анализ динамики разложения вторичных продуктов брожения в пиве / Л.Н. Третьяк, Ю.А. Лосев, В.Р. Халиуллин // Вестник ОГУ. - 2004. - №2. - С. 152-156.

Третьяк, Л.Н. Контроль качества пива на основе экспрессного определения диацетила / Л.Н. Третьяк, В.И. Федорченко // Вестник ОГУ. - 2006. - №10. - С. 451-455.

Третьяк, Л.Н., Контроль качества пива в условиях ограниченно оборудованных пивоваренных лабораторий / Л.Н. Третьяк, Ю.А. Лосев, Е.Г. Бондаренко // Вестник ОГУ - 2005. - №10. - С. 144-149.

Электронный ресурс. URL: http://www.propivo.ru/sens/33/02.html

30 Barros, A. Determination of glyoxal, methylglyoxal, and diacetyl in selected beer and wine, by HPLC with uv spectrophotometric detection, after derivatization with o-phenylenediamine / A. Barros, J.A. Rodrigues, M.T. Oliva-Telts //J. liq. technol. - 1999. - Т. 22, - С. 2061-2069.

Mariaud, M. New quantitative determination of 2,3 - dioxobutane (diacetyl) in alcoholic beverages by an indirect spectrofluorimetric procedure with use of 2,3 - diaminonaphtalene as reagent of derivatization / M. Mariaud, P. Levillain // Talanta. - 1993. - Т. 41, - №1. - С. 75-79.

Bakirci, I. The effect of commercial starter culture and storage temperature on the oxidative stability and diacetyl production in butter/ I. Bakirci, S. Celik, C. Ozdemir // Dairy Technology. - 2002. - Т. 55, - №4. - С. 177-181.

Rodrigues, О.А. Flow injection square wave cathodic stripping voltammetric determination at a hanging mercury drop electrode of rapidly reduced compounds. Determination of diacetyl in wine as 2,3 - dimethylquinoxaline // О.А. Rodrigues, A.A. Barros, P.J. Almeida // Analytica Chimica Acta. - 2001. - С. 119-127.

Mattessich, J. The Spectrophotometric Determination of Diacetyl / J. Mattessich, J.R. Cooper // Analytical Biochemistry. - 1989. - Т. 180, - С. 349-350.