Материал: Описание модели работы страховой компании в марковской среде

Внимание! Если размещение файла нарушает Ваши авторские права, то обязательно сообщите нам

Получим интегральные уравнения для вероятностей неразорения без предположения дифференцируемости функции .

Теорема 2.1

Вектор-функция  удовлетворяет системе интегральных уравнений:


Из теоремы 2.1 вытекает следующее утверждение.

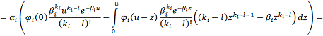
Вектор-функция  - непрерывно-дифференцируема на  и удовлетворяет системе интегрo-дифференциальных уравнений:


Рассмотрим теорему существования и единственности решения системы интегральных уравнений (2.2), удовлетворяющих условию на бесконечности


Эта теорема доказана в [8] методом последовательных приближений.

В работе был рассмотрен следующий метод последовательных приближений для нахождения функций  которые дают решения задачи (2.2), (2.4)


где  - некоторые непрерывные и неубывающие на  начальные функции такие, что .

Теорема 2.3. [7]

Пусть существует постоянная  такая, что


Тогда:)       Система (2.1), (2.4) имеет решение с монотонно неубывающими компонентами  такими, что ;)        Для любого начального приближения такого, что

, соответствующая последовательность приближений (2.5) поточечно сходится к решению .

3. Дифференциальные и интегро-дифференциальные уравнения для вероятностей неразорения страховой компании в случае гамма-распределения страховых исков

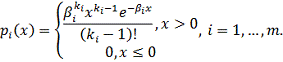
В этом разделе предполагается, что закон распределения величин исков страховой компании, находящейся в -ом состоянии среды, имеет  с плотностью:


Здесь - натуральные числа .

Тогда уравнение (2.3) перепишется в таком виде:


В дальнейшем мы будем дифференцировать равенство (3.1). Покажем, что операция взятия производной будет закономерна вплоть до порядка .

Продифференцируем (3.1) по :


Посчитаем интеграл, взяв его по частям:


Выразим из (3.1) второй интеграл:


Подставим (3.3),(3.4) в (3.2):


Раскроем скобки и приведем подобные:


Проделаем то же действие еще раз, продифференцируем (3.5) по :


Посчитаем интеграл, взяв его по частям:


Выразим из (3.5) второй интеграл:


Подставим (3.7), (3.8) в (3.6):


Раскроем скобки и приведем подобные:


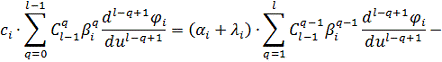
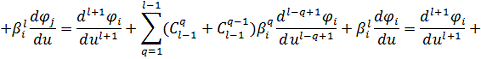
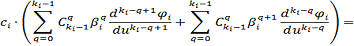
Проделав эти же действия еще раз, получим:


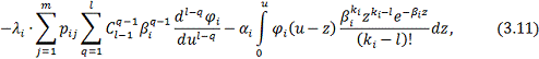
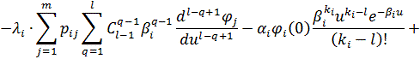
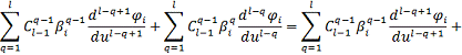
Таким образом, выразим результат -ого дифференцирования:


где .

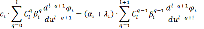
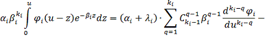
Докажем эту формулу методом математической индукции. Из формул

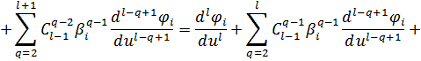
(3.8) - (3.10) следует, что эта формула (3.11) справедлива для  Для того, чтобы доказать, что формула верна для любых , найдем  производную:


Посчитаем интеграл, взяв его по частям:


Выразим второй интеграл из (3.11):


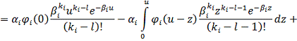
Подставим (3.13),(3.14) в (3.12):


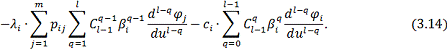
Раскроем скобки и приведем подобные:


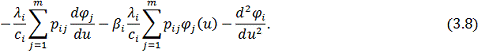
Вычислим суммы:


Подставим (3.14), (3.15), (3.16) в (3.13):


Мы получили формулу (3.11), если в нее вместо  подставить , что и требовалось доказать.

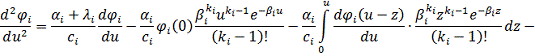
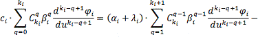
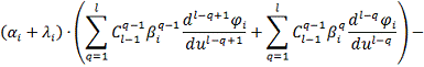
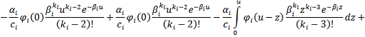
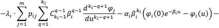
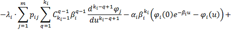
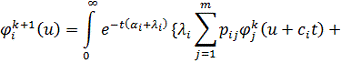
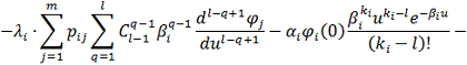
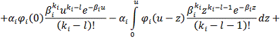
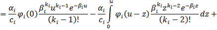
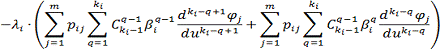
Найдем  производную:


Продифференцируем (3.17):


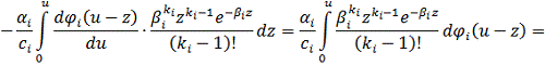
Вычислим интеграл:


Выразим интеграл из (3.17)


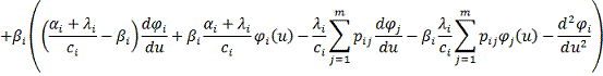
Подставим (3.19), (3.20) в (3.18)


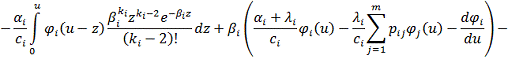
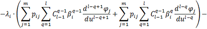
Раскроем скобки и приведем подобные:


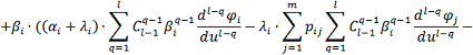
Воспользуемся формулами (3.14), (3.15), (3.16):


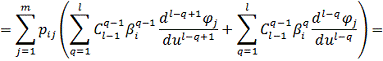
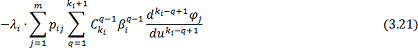
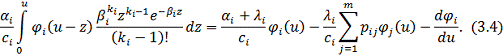
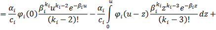
Уравнение (3.21) представимо в векторном виде:


где

- квадратная матрица .

Предположим, что .

Пусть  такая, что  при чем . Тогда матричный коэффициент  может быть вырожденным. Такие уравнения исследовали в [6], [10], [11] в более сложной ситуации бесконечномерного пространства.

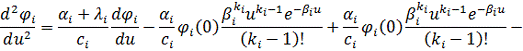
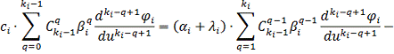
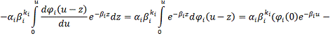
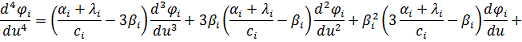
Путем явного дифференцирования уравнения (3.11) при  можно уравнение (3.22) свести к явному уравнению:


Проверим условия теоремы существования и единственности решения. Для этого нам нужно доказать, что существует такая константа , что


Потребуем более сильное условие:


Тогда


4. Охрана труда

Охрана труда - это система законодательно-правовых актов, социально-экономических, организационно-технических, санитарно-гигиенических, лечебно-профилактических мероприятий и средств, обеспечивающих сохранение здоровья и работоспособности человека в процессе труда.

Опасный производственный фактор - это производственный фактор, воздействие которого на работающего в определенных условиях может привести к травме или резкому ухудшению здоровья.

Вредный производственный фактор - это производственный фактор, воздействие которого на работающего в определенных условиях может привести к заболеванию или снижению трудоспособности.

Техника безопасности - это система организационных мероприятий и технических средств, предотвращающих воздействие на работающего опасных производственных факторов.

Производственная санитария - это система организационных мероприятий и технических средств, предотвращающих воздействие на работающего вредных производственных факторов.

Безопасность труда - это состояние условий труда, при которых исключено воздействие на работающего ОВПФ (опасных и вредных производственных факторов).

Гигиена труда - это раздел профилактической медицины, изучающий влияние на организм человека трудового процесса и факторов производственной среды с целью обоснования нормативов и средств профилактики профессиональных заболеваний.

Источники опасных и вредных факторов:

-   монитор (мягкое рентгеновское излучение);

-       мышь (синдром мышки - начинает болеть запястье);

-       клавиатура (из-за работы с клавиатурой приходится находиться в сидячем положении, чтобы набирать текст);

-       системный блок (может служить источником механических повреждений);

-       сканеры, принтеры (являются источником шума).

Требования к освещению:

-   категория зрительных работ пользователей ПК - "Высокой точности";

-       искусственное освещение должно быть совмещенным (общее равномерное + настольные лампы, 300-500 лк);

-       люминесцентные лампы на мониторе < 500 лк.

Требования к шуму:

-   до 40 дБ - при выполнении работ, связанных с разработкой концепций, программ, творческой работой;

-       до 50 дБ - на рабочем месте руководителя, выполняющего умственную работу;

-       до 55 дБ - при выполнении высококвалифицированной умственной работы, требующей сосредоточения;

-       до 65 дБ - при выполнении работы по инструкции.

Работа на электронно-вычислительных машинах.

Требования, по работе с электронно-вычислительным оборудованием конкретизируются к каждому этапу работы: перед началом работы, во время работы, после окончания работы и в аварийных ситуациях. Требования безопасности труда перед началом работы касаются проверки: