Содержание
Введение
. Классическая модель Крамера-Лундберга с гамма-распределением величин исков
.1 Описание модели
.2 Дифференциальные уравнения высокого порядка для вероятностей неразорения в случае гамма-распределения величин исков
. Модель работы страховой компании на марковской цепи
.1 Описание модели
.2 Система интегро-дифференциальных уравнений для вероятностей неразорения. Теорема существования и единственности решений
. Дифференциальные и интегро-дифференциальные уравнения для вероятностей неразорения страховой компании в случае гамма-распределения страховых исков
. Охрана труда
Заключение
Литература
Введение
Одним из важнейших показателей стабильности любого бизнеса все еще остается вероятность неразорения страховой компании, которая работает или не работает на финансовом рынке. Нахождению оценки вероятности неразорения страхових компаний был посвящен ряд статей, например и монографиях.
Динамика капитала
страховой
компании описывается уравнением [7]
где
-
начальный капитал;
- порядковый номер
переключения состояния среды;
- число
переключений состояний среды к моменту
;
- число страховых
случаев за время
при их
интенсивности
;
- интенсивности
страховых случаев в состоянии
и после
-ого
переключения соответственно;
- интенсивности
поступления взносов в состоянии
и после
-ого
переключения соответственно;
-
-ый
момент изменения состояния цепи,
;
-
размер
-ого
иска после
-ого переключения.
В работе [8] получена система интегро-дифференциальных уравнений для вероятностей небанкротства страховой компании:
Система уравнений (2) решается при граничных условиях:
Обзор результатов работ по разрешимости задачи приводится во второй главе дипломной работы.
В первой главе приведен обзор работы [9],
который описывает модель Крамера-Лундберга, то есть случай, когда переходов из
состояния в состояние не будет, а размеры исков имеют гамма-распределение с
параметрами
и плотностью:
Тогда вероятность неразорения страховой компании
описывается следующим уравнением:
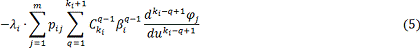
В главе 3 в рамках описанной в главе 2 задачи
исследуется случай, когда величины страховых исков имеют закон
гамма-распределения с параметрами, зависящими от состояния среды. Показано, что
в этом случае вектор
удовлетворяет
векторному дифференциальному уравнению высокого порядка:
1. Классическая модель Крамера-Лундберга без
марковской цепи
.1 Описание модели
Рассмотрим страховую компанию с начальным
капиталом
, которая получает
страховые взносы
, где
-
независимые одинаково распределенные случайные величины, равные величинам
страховых выплат клиентам. Если величины
имеют
функцию распределения
, а число выплат за
временной промежуток
описывается
пуассоновским процессом
с интенсивностью
исков
,
тогда балансовое уравнение для вероятности неразорения такой страховой компании
будет иметь вид [1]:
.2 Дифференциальные уравнения высшего порядка
для вероятностей неразорения
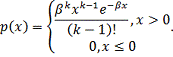
Определим закон гамма-распределения исков с
параметрами
. Его плотность:
Пусть размеры исков описывает
гамма-распределение с параметрами
,
тогда вероятность неразорения страховой компании, капитал которой
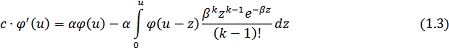
эволюционирует по модели Крамера-Лундберга, описывается уравнением:
Доказательство:
Поскольку размеры исков имеют
гамма-распределение с параметрами
,
то вероятность неразорения будем находить из уравнения:
В дальнейшем нам придется дифференцировать равенство (1.3). Покажем, что операция взятия производной будет закономерна вплоть до порядка
.
Действительно, при выводе формулы (1.1) показано, что функция
имеет
первую производную. Сделаем замену переменных в интеграле правой части (1.3),
положив
, тогда
правая часть уравнения (1.3) очевидно равна
Откуда видно, что правая часть полученного
выражения, а значит, и правая часть (1.3) дифференцируема по
,
то есть у функции
существует вторая
производная. Повторяя в дальнейшем приведенное рассуждение для уравнения
следующего порядка, убедимся в том, что функция
имеет
третью производную и т.д.
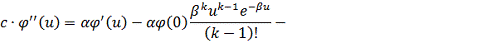
Следовательно, дифференцируя (1.3) по
,
получим следующее интегро-дифференциальное уравнение:
Взяв по частям интеграл и подставив затем
полученное его значение в (1.4), будем иметь:
Выражая теперь значение второго интеграла из
(1.3) и подставив его в (1.5), получим:
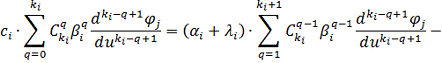
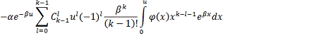
Далее снова продифференцировав по
теперь
уже уравнение (1.6), и проделав затем все те же действия, получим:

Как можно было заметить из приведенных выше уравнений, коэффициенты при производных являются коэффициентами из треугольника Паскаля.
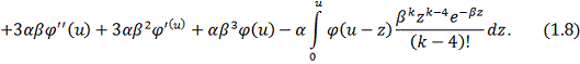
Снова дифференцирую (1.10) по
,
получим:
Взяв по частям интеграл в (1.11), будем иметь:
Подставив полученное его значение в (1.11),
получим:
Выразив
из
(1.10) и подставив его в (1.13), мы окончательно будем иметь:
Что и требовалось доказать.
2. Модель работы страховой компании на
марковской цепи
.1 Описание модели
Будем рассматривать такую модель работы
страховой компании в марковской среде с
состояниями
{
},
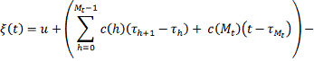
где динамика капитала описывается следующим образом:
где
-
начальный капитал;
- порядковый номер
переключения состояния среды;
- число
переключений состояний среды к моменту
;
- число страховых
случаев за время
при их
интенсивности
;
- интенсивности
страховых случаев в состоянии
и после
-ого
переключения соответственно;
- интенсивности
поступления взносов в состоянии
и после
-ого
переключения соответственно;
-
-ый
момент изменения состояния цепи,
;
-
размер
-ого
иска после
-ого переключения.
Обозначим через
функцию
распределения величины иска, поступающего в страховую компанию, находящуюся в
-ом состоянии среды.
Введем матрицу перехода Марковской цепи
.Предполагается,
что переход из состояния
происходит под
воздействием событий одно-родного пуассоновского потока с интенсивностью
.
При этом при воздейст-вии событий потока переход возможен в одно из состояний
.
Здесь
-
условная вероятность того, что цепь перейдет из состояния
в
состояние
при условии, что
какой-нибудь переход точно произойдет. Так как переходы происходят под
воздействием событий потока и только из состояния
в
состояние
, то
В силу формулы
вероятность осуществления перехода из состояния
в
какое-нибудь состояние за время
под воздействием
пуассоновского потока с интенсивностью
равна
.
.2 Система интегро-дифференциальных уравнений
для вероятностей неразорения. Теорема существования и единственности решения
Рассмотрим вероятность
неразорения
из
-ого
начального состояния цепи и вероятность того, что банкротство не происходит при
начальном капитале
и начальном
состоянии
.