Материал: Общая гидрогеология Кирюхин В.А..docx101

Внимание! Если размещение файла нарушает Ваши авторские права, то обязательно сообщите нам
  • Назовите несколько районов, в которых можно добы­вать термальные воды с температурой более 60 °С в промышлен­ных масштабах.


    Глава 11. Проблемы экологической гидрогеологии

    1. ОБЩИЕ ПРЕДСТАВЛЕНИЯ ОБ ЭКОЛОГИЧЕСКОЙ ГИДРОГЕОЛОГИИ

    В экологическом отношении подземные воды всегда рас­сматривались в двух аспектах: как показатель степени «здоровья» окружающей среды и как важный компонент природопользования. В первом случае, состояние подземных вод верхних водоносных го­ризонтов отражает влияние естественных и антропогенных факторов на режим, ресурсы и состав водной среды, во втором, использование подземных вод в различных практических целях определяет уровень комфортности жизни людей, степень санитарно-гигиенической и экологической безопасности их проживания.

    Оформление экологического направления в самостоятель­ный раздел гидрогеологии произошло сравнительно недавно всего 20-25 лет тому назад. Сначала оно функционировало под названием «Охрана подземных вод от загрязнения и истощения», а затем, по предложению А.А. Карцева и Н.И. Плотникова (1986), был сформу­лирован круг задач экологической гидрогеологии. Дальнейшее раз­витие эти проблемы нашли в работах Ф.И. Тютюновой по экологи­ческой гцдрогеохимии, В.А. Мироненко и В.Г. Румынина по условиям разработки месторождений полезных ископаемых [29], Е.В. Пиннекера по теоретическим проблемам экологической гидрогеологии, М.С. Го­лицына и JI.A. Островского по методике эколого-гидрогеологического картографирования [43]. Коллективом ВСЕГИНГЕО под руково­дством Г.С. Вартаняна подготовлена монография по экологической гидрогеологии европейской части России. Так, определились объект и предмет экологической гидрогеологии и основные ее ответвления. Объектом исследования экологической гидрогеологии является верхняя часть подземной гидросферы, которая подвержена антро­погенной нагрузке. Предметом ее исследования является система вода - порода - газ - живые организмы - инженерные сооружения (антропогенная нагрузка).

    Экологическая гидрогеология обслуживает две науки. Она является разделом гидрогеологии и в то же время разделом экологи­

    401

    ческой геологии. Если в первом случае доказательства родственно­сти связи экологической гидрогеологии не требуется, то во втором случае они видны из рассмотрения объекта и предмета исследова­ний смежной науки. Объектом исследований экологической геоло­гии является геологическая среда, важнейшим компонентом которой является верхняя часть подземной гидросферы. Предмет исследова­ния этой науки - экологические функции литосферы (ресурсная, фи­зико-химическая, защитная, эволюционная, геофизическая и гео- динамическая). В проявлении этих функций важную роль играют подземные воды. Они вместе с другими компонентами геологиче­ской среды обеспечивают жизнедеятельность биоты, в том числе и человечества.

    Экологическая гидрогеология, помимо наук геологическо­го направления, тесно взаимодействует с науками географическо­го, биологического, экономического, социологического и других циклов. Это необходимо для комплексной оценки влияния естест­венных и техногенных факторов формирования подземных вод, изучения, учета и прогноза экологических функций подземной гидросферы. Поэтому содержание этого молодого раздела гидро­геологии становится все шире и разнообразнее, особенно с уче­том усиления антропогенного воздействия на подземную гидро­сферу. Наряду с задачами изучения загрязнения подземных вод и истощения их ресурсов, в круг интересов экологической гидро­геологии стали входить проблемы территории мегаполисов, захо­ронения твердых и жидких отходов, в том числе радиоактивных, свалок мусора, мест прокладки трубопроводов и прохождения транспортных артерий, карьерных и шахтных полей, освоения сельскохозяйственных территорий, последствий проявления фи­зико-геологических процессов и др. Из широкого диапазона явле­ний и проблем, изучаемых в рамках экологической гидрогеоло­гии, выберем две наиболее важные: загрязнение и истощение под­земных вод.

    402

    11.2. Загрязнение подземных вод

    Пресные воды, как уже указывалось, залегают в верхней час­ти гидрогеологического разреза, поэтому легче всего подвергаются загрязнению. Предотвратить его или, по крайней мере, уменьшить степень воздействия, могут водоупорные породы, которые залегают над грунтовыми водами.

    Причины загрязнения подземных вод весьма разнообразны и могут иметь как естественное, так и техногенное происхождение. Различают следующие виды загрязнений вод: химическое, нефтяное, радиоактивное, микробиологическое и тепловое. Предельно допус­тимые концентрации (ПДК) компонентов в подземных водах регу­лируются санитарно-эпидемиологическими правилами и нормати­вами СанПин 2.1.4.1074-01 [40].

    Химическое загрязнение. Этот вид загрязнения имеет ре­гиональное и локальное распространение. Региональные процессы, которые обусловливают превышение концентрации отдельных ком­понентов в подземных водах по сравнению с ПДК, носят зональный характер. Увеличение минерализации и смена типа вод происходит при движении их по пласту и на глубину. Гидрогеохимическая зо­нальность (см. гл.З и 6) связана, прежде всего, с процессами раство­рения пород, конъюнктивным и диффузионным переносом вещест­ва, а также концентрированием солей в грунтовых водах при испа­рении в аридных областях. В результате этих процессов в гумидных областях пресные воды с глубиной сменяются солоноватыми и со­леными, а в аридных областях широко распространяются процессы континентального засоления, при котором воды обогащаются суль­фатами и хлоридами и становятся не пригодными для питья.

    Гидрогеохимическая зональность (широтная и по пласту), в значительной степени регулируется окислительно-восстановительной и кислотно-щелочной обстановками. В условиях тундры образуется кислая среда часто с бескислородным и мерзлотным режимом. В лесостепной зоне в покровных отложениях преобладает щелочная среда с неравномерным промывным режимом. Более четко окисли­тельно-восстановительная зональность подземных вод обнаружива­ет себя при движении их по пласту. С глубиной Eh уменьшается, так

    403

    как основной потенциалозадающий компонент - кислород - расходу­ется на окислительные процессы. В верхней части разреза распро­странены кислородные воды с Eh > 200 мВ, с глубиной они сменяют­ся бескислородными и бессульфидными водами с Eh = 200-н 100 мВ, еще глубже появляются сульфидные воды с Eh > 100 мВ, а часто и менее нуля. Снижение окислительно-восстановительного потенциа­ла синхронно сопровождается ростом показателя pH и образованием в нижней части пласта щелочных вод. Появление в подземных водах нормируемых компонентов, в количестве превышающем ПДК, в значительной степени регулируется соотношением Eh - pH. В бес­кислородных и бессульфидных водах фиксируются аномально вы­сокие концентрации железа (Fe2+), марганца (Мп2+) и аммония (NH/). Увеличение Eh сопровождается ростом содержания селена, меди, цинка, свинца и кадмия.

    Воды, содержащие повышенные количества железа, марган­ца и аммония, почти повсеместно распространены в верхней части гидрогеологического разреза гумидной области, а также в межмерз- лотных и иногда подмерзлотных водах области распространения многолетней мерзлоты. Средние содержания железа достигают 10 мг/л, при максимальных его значениях до 30-40 мг/л, марганец обычно присутствует в количествах 0,1-0,5 мг/л при максимальных значениях до 10 мг/л, аммоний обычно определяется в количестве нескольких миллиграммов на литр при максимальном значении в несколько десятков.

    Из компонентов, формирующихся в кислородной зоне, наи­более опасным для питьевых вод является селен (HSeCb), который накапливается в околонейтральных водах с Eh > 200 мВ. Другим условием для накопления селена в количествах, превышающих ПДК, является наличие селенсодержащих минералов во вмещающих породах. В околонейтральных водах миграции некоторых химиче­ских компонентов благоприятствует присутствие органических, фульво- и гуминовых кислот, а также фтора, выполняющих роль ли­гандов. С органическими кислотами железо (Fe3+, Fe2+), бериллий (Ве2+), ртуть (Hg2+) образуют устойчивые комплексные соединения. Соединения бериллия с фтором также отличаются высокой мигра­ционной способностью.

    404

    В определенных условиях качество пресных вод ухудшается в результате аккумуляции в них фтора и стронция. Появление их в водах с концентрациями, превышающими ПДК, наблюдается там, где и вмещающие породы ими обогащены, а в катионном составе вод преобладает натрий. Кальций способствует осаждению стронция и фтора из вод, а натрий, наоборот, переводит их в растворенное со­стояние. Фтороносные воды распространены в Московском и Волго- Камском артезианских бассейнах, а также на Балтийском щите. Стронциевые воды встречены в гипсоносных отложениях перми на севере и востоке Русской плиты. Такие же условия, т.е. повышенная концентрация элемента во вмещающих породах и натриевый состав вод, необходимы для образования мышьяковистых и бороносных вод. Подобная обстановка наблюдается в водоносных комплексах восточного Предкавказья. Итак, загрязнение пресных подземных вод под действием природных процессов обычно охватывает значи­тельные территории, которые иногда объединяют под названием биогидрогеохимических провинций. В них отмечены повышенные концентрации железа, марганца, фтора, селена, стронция, мышьяка и других нормируемых компонентов.

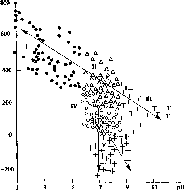
    Техногенное загрязнение подземных вод чаще всего бывает локальным. Под его воздействием в водоносных системах образуют­ся ореолы и потоки загрязнения. В подземные воды загрязнение по­падает с земной поверхности и может иметь точечный, площадной или линейный характер. По характеру воздействия на гидрогеологи­ческую среду различают два типа загрязняющих веществ: инертные и активные. В первом случае химический тип подземных вод не из­меняется, во втором в зависимости от соотношения Eh/pH сущест­венно изменяются состав подземных вод, физико-химическая обста­новка и условия миграции химических компонентов претерпевают существенные изменения. По мнению С.Р. Крайнова [22], все разно­образие геохимических свойств загрязненных подземных вод, соз­даваемого промышленностью, сельским хозяйством, социально- бытовыми и другими техногенными воздействиями, сводится к соз­данию строго ограниченного и определенного набора геохимиче­ских ситуаций. На графике Eh/pH-соотношений (рис.90) они укла­дываются в пять основных типов загрязнения подземных вод: кис-

    405

    Eh, мВ

    L*J1 [ aJ 2 LzJ з ПП 4 L±J 5

    Рис.90. Геохимические типизации загрязненных подземных вод и их расположение на Eh-pH диаграмме

    1-S - фигуративные точки подземных вод: соответственно кислые (I) и околонейтральные (2) воды с высокими значениями Eh; соответственно щелочные (3) и околонейтральные бескислородно-бессульфидные (4) воды с низкими положительными значениями Eh; околонейтральные и щелочные воды с отрицательными значениями Eh (5)

    лые воды с высокими значениями Eh (I), нейтральные воды с вы­сокими значениями Eh (II), щелочные воды с низкими положи­тельными значениями Eh (III), околонейтральные бескислород­ные, бессульфидные воды с низкими положительными значения­ми Eh (IV), околонейтральные щелочные воды с отрицательными значениями Eh (V).

    406

    Анализ техногенного загрязнения подземных вод позволяет придти к выводу, что все их геохимическое разнообразие связано с формированиями определенных Eh- и pH-ситуаций. Установленные типы загрязнения подземных вод характеризуются определенным набором химических компонентов с соответствующими миграцион­ными их свойствами и концентрациями. В процессе техногенного воздействия существенно изменяется физико-химическая обстанов­ка, все компоненты, участвующие в этом процессе: водовмещающие породы, содержащиеся в них воды и привнесенные загрязнения.

    Нефтяное загрязнение. Этот вид загрязнения подземных вод является широко распространенным и весьма устойчивым. За последние полтора века человечество откачало из недр примерно 100 млрд т нефти. В настоящее время ее добыча стабилизировалась на уровне 3,5 млрд т в год. Из них примерно десятая часть добыва­ется в нашей стране. В начале текущего столетия у нас было из­вестно 1649 месторождений нефти, из них эксплуатировались 1061. Загрязнение подземных вод при добыче нефти происходит не толь­ко в результате ее разлива, но также и при откачке попутных вод, закачке вод для поддержания пластового давления и других при­чин. Оно продолжается и захватывает огромные площади при транспортировке и переработке нефти и использовании нефтепро­дуктов в различных областях человеческой деятельности. На пути технологической цепочки от добычи до использования нефти обра­зуется множество соединений с различными свойствами. Поэтому загрязнение подземных вод нефтью и нефтепродуктами на всех этапах движения их по технологической цепочке представляет со­бой разнообразные схемы взаимодействия воды с какими-либо ор­ганическими соединениями.

    Поступление нефти и нефтепродуктов на земную поверх­ность чаще всего бывает случайным и спонтанным (фонтанирование скважин, разрыв трубопровода, аварии на транспорте и т.д.). Более длительным и регулярным оно может быть на участках протечки нефтяных резервуаров, перекачки топлива, заправочных станциях, аэродромах и др. Наиболее подвижными являются жидкие нефте­продукты, они легче всего проникают в почвенно-покровные отло­жения. Поверхности грунтовых вод достигает только часть из про­

    407

    сочившихся нефтепродуктов, поскольку некоторое их количество испаряется, а некоторое сорбируется вмещающими породами. За­грязнение почвы и пород зоны аэрации является неравномерным и мозаичным. Оно длительное время может вымываться атмосферны­ми осадками и вместе с ними поступать в верхний водоносный гори­зонт. В водах этого горизонта нефтяное загрязнение может нахо­диться в растворенном, диспергированном, эмальгированном виде, образовывать газовую оболочку вокруг водной поверхности. Наи­большей растворимостью в воде обладают бензин (500 мг/л), нефть (10-50 мг/л), дизельное топливо (8-22 мг/л) и керосин (2-5 мг/л). Для большинства нефтепродуктов ПДК равна 0,01-0,3 мг/л. Самая низ­кая ПДК (0,005 мкг/л) установлена для такого канцерогенного веще­ства, как бензопирен. Чтобы оценить угрозу нефтяного загрязнения приведем только один факт: попадание I л бензина в подземные во­ды может сделать некондиционными 2 • 106 л пресной воды.

    Движение нефтяного загрязнения в подземных водах дро­бится: одна часть растворяется в подземных водах и движется вме­сте с ней, другая образует нефтяную пленку и передвигается само­стоятельно в соответствии со своей вязкостью и плотностью. Более вязкие фракции нефти тормозят ее растекание, наиболее устойчивые эмульсии содержат до 30-40 % воды и в процессе движения подвер­гаются окислению, в результате которого появляется новое соеди­нение с новыми свойствами, обычно способствующими растворе­нию в воде. Еще одна часть углеводородов - легкая фракция - пере­ходит в газообразную фазу. Кроме того, часть углеводородов сорби­руется вмещающими породами. Таким образом, первичное нефтяное загрязнение после попадания в водоносный горизонт изменяет свой состав, свойства и состояние и испытывает влияние процессов само­очищения подземных вод, которому способствует биодеградация, деструкция, сорбция химических соединений и др. Процесс загряз­нения подземных вод и его разрушения сложен. В нефти установле­но более 450 индивидуальных соединений, 95 % из них являются углеводородными (предельные углеводороды или алканы, аромати­ческие углеводороды и органические кислоты). Неуглеводородные соединения представлены производными серы (0,1-10%), азота (1 %), кислорода (до 3 %). В нефти обнаружено 30 элементов метал­

    408

    Воды

    Природная обстановка

    Rn, Бк/л

    Ra, г/л

    U, г/л

    Поверхностные

    Океаны и моря

    0

    1,ю-'3

    2,10"*

    Озера

    0

    1,10"15

    8,10'6

    Реки

    0

    2,10~13

    б,ю~7

    Осадочных

    пород

    Зона интенсивного водо­обмена

    60(3,7-185)’

    2,10"12

    5,106

    Зона весьма затрудненно­го водообмена

    22 (3,7-74)

    3,10"ш

    2,10-7

    409

    Воды

    Природная обстановка

    Rn, Бк/л

    Ra, г/л

    U, г/л

    Кислых магма­тических пород

    Зона интенсивного водо­обмена

    370(7-1480)

    2,10’12

    7,10-*

    Зона затрудненного водо­обмена (воды глубоких тектонических трещин)

    370(30-1480)

    4,10~12

    4,10-*

    Урановых ме­сторождений

    Зона интенсивного водо­обмена (воды зоны окис­ления)

    3700

    (185-185000)

    8,10-"

    6.10-4

    Зона затрудненного водо­обмена (воды зоны вос­становления)

    1850

    (185-11000)

    б,ю-"

    8,10"*

    В скобках представлен диапазон значений.

    Из табл. 11 видно, что радиоактивность поверхностных вод весьма мала. В подземных водах она напрямую зависит от содержа­ния радиоактивных элементов в водовмещающих породах. Поэтому особенно велико их присутствие в водах урановых месторождений, кислых магматических пород, зонах тектонических нарушений. Бо­лее благоприятные условия для накопления в подземных водах ура­на и радона создаются в окислительной обстановке, а для накопле­ния радия — в восстановительной обстановке в рассолах хлоридного кальциево-натриевого состава.

    В зависимости от концентрации ЕРН подземные воды делят­ся на радоновые, радиевые и урановые. При смешении этих вод мо­гут возникать различные варианты. Нормирование содержания ЕРН позволяет решать разнообразные практические задачи: экологиче­ские, хозяйственно-питьевые, лечебные, извлечение из вод компо­нентов (например, урана).

    Остановимся на особенностях поведения радона, поскольку он обеспечивает 75 % и более естественного радиоактивного облу­чения человека. Радон — это тяжелый газ, в 7,5 раз тяжелее воздуха, поэтому при выходе из недр он стелется по Земле. Период его полу­распада 3,8 суток. Поскольку в том или ином количестве он попада-

    410

    ет нам в легкие, то главную опасность для человека представляют продукты его распада: свинец, полоний и висмут. Накапливаясь в легких, они становятся причиной раковых заболеваний. Существуют нормы, ограничивающие присутствие радона в воздухе жилых помещений и в водах питьевого и лечебного назначения. Появле­ние и аккумуляция радона в подземных водах зависят от степени обогащенности ЕРН водовмещающих пород, их эманирующей способности и скорости движения подземных вод. Наибольшая концентрация радона характерна для подземных вод древних кри­сталлических щитов, гранитных массивов, зон тектонических на­рушений. Это, прежде всего, Балтийский, Украинский, Канадский и другие щиты. В зоне выветривания среднее содержание радона в подземных водах составляет 120-400 Бк/л. Оно заметно сокра­щается вверх по гидрогеологическому разрезу: например, в окре­стностях Петербурга среднее содержание радона в водах песча­ников верхнего протерозоя 50-100 Бк/л, в водах песчаников и известняков ордовика 50 Бк/л, а в водах четвертичных отложе­ний 5-10 Бк/л.

    Техногенное загрязнение подземных вод радиоактивными веществами связано, в основном, с испытаниями ядерного оружия в военных и мирных целях, переработкой ядерного сырья, штатными и аварийными выбросами при эксплуатации АЭС, хранением, транс­портировкой и переработкой радиоактивных отходов.

    Испытание ядерного оружия. Пик испытаний ядерного оружия пришелся на начало 60-х гг. XX в. Их итогом было гло­бальное загрязнение атмосферы тритием и продуктами расщепле­ния ядерных реакций. Во многих местах загрязнение атмосферы достигло сотен и даже нескольких тысяч тритиевых единиц. Сум­марная мощность ядерных взрывов в тротиловом эквиваленте со­ставила 545 Мт. Созданный ими радиоактивный фон составляет 0,05-0,09 Ки/км2. Эта величина близка к природному фону и пока особенно не сказывается на загрязнении окружающей среды. «Мертвые зоны» - радиогеохимические аномалии сохранились только на участках бывших ядерных полигонов. Пятна радиоактив­ного загрязнения грунтовых вод были зафиксированы во многих районах нашей страны 50-60 лет тому назад.

    411

    Ядерные испытания в мирных целях носили локальный характер. Они проводились в скважинах и горных выработках для решения технологических задач (образование искусственной ем­кости, усиление нефтеотдачи пласта, проведение вскрышных ра­бот и др.). После проведения ядерных испытаний в подземной среде вокруг скважины образуется гидрогеохимическая аномалия, которая может существовать многие годы. Наибольшее количест­во экспериментальных взрывов (несколько десятков) проведено для испытания нефтегазоносных и соленосных структур в При­каспийской впадине.

    Переработка ядерного сырья. Предприятия, на которых производится переработка ядерного сырья и научно-производст­венные работы по совершенствованию этой переработки, располо­жены в различных регионах нашей страны (Арзамас, Челябинск, Томск, Красноярск и др.). На этих предприятиях нередко возникают аварийные ситуации, которые приводят к радиоактивному загрязне­нию значительных территорий. Серьезную угрозу безопасности этих районов представляют большие объемы твердых, жидких и газооб­разных радиоактивных отходов (РАО), которые образуются при пе­реработке ядерного сырья.

    Предприятие «Маяк» (Челябинская область) в течение полу­века сбрасывает в котловину оз.Карачай жидкие радиоактивные от­ходы. Это рассолы нитратного состава с минерализацией 120- MS г/л, радиоактивная зараженность которых на пять порядков пре­вышает ПДК. Эти воды попадают в зону выветривания эффузивов силура, по ходу движения до зоны разгрузки они в основном теряют свои аномальные радиоактивные свойства. Близкой к норме стано­вится концентрация нитратов, нитритов и аммония. Состав вод из­меняется на сульфатно-хлоридно-гидрокарбонатный, а минерализа­ция снижается до 0,215 г/л. Вместе с тем, эта благополучная картина нередко нарушается «проскоками» радиоактивных вод в бассейн р.Тобол, что фиксируется режимными наблюдениями.

    На Сибирском химическом комбинате, который расположен вблизи Томска, занимаются извлечением урана и элементов урано­вого ряда. Радиоактивное заражение вокруг завода образуется как в результате аэрозольных выбросов производственных цехов, так и

    412

    при захоронении твердых и жидких отходов. Аэрозоли поступают в окружающую среду более полувека, в их составе установлено при­сутствие изотопов урана, плутония, йода, а также фтористые и азо­тистые соединения, четыреххлористый углерод, парафины, бензин и другие вредные вещества. Аэрозольное загрязнение во времени и пространстве происходит неравномерно и уже захватило площадь около 1 ООО км2. Инфильтрационные воды переносят его на глубину 15-20 м в верхний водоносный горизонт, загрязнение грунтовых вод усугубляют 50 хранилищ твердых и жидких РАО. Протечки из этих накопителей происходят регулярно, и вокруг них формируются по­стоянные ореолы гидрохимического загрязнения. Часть жидких ра­диоактивных отходов закачивается в меловой водоносный комплекс на глубину 250-400 м. На другом берегу р.Томи расположен водоза­бор, который обеспечивает водоснабжение г.Томска. Он берет воду из вышележащего палеогенового водоносного горизонта. Риск про­никновения радиоактивного загрязнения в питьевые воды в таких условиях исключать нельзя.

    Эксплуатация АЭС. Производство электроэнергии с по­мощью ядерных установок растет с каждым годом. В европейских и северо-американских государствах оно достигло 10-20 % и более от суммарного ее производства. В европейской части России функционирует восемь АЭС (Курская, Смоленская, Балаковская, Нововоронежская, Калининская, Ленинградская, Кольская, Ростов­ская). Даже при штатном режиме работы АЭС предусматривается выброс в атмосферу некоторого количества радионуклидов через вентиляционные трубы и сброс технологических вод в поверхност­ные водоемы (пруды, отстойники). Воздушные выбросы произво­дятся на высоте 100-150 м и ветром рассеиваются на окружающую территорию, попадая в почву, подземные, поверхностные воды, и ассимилируются биотой. Жидкие стоки, обогащенные радионукли­дами, также могут попадать в водоносные горизонты и поверхно­стные водотоки окружающих территорий. Таким образом, при ра­боте АЭС какое-то количество радионуклидов систематически по­падает в атмосферу, почвенно-покровные отложения, водоносные горизонты и поверхностные воды. Согласно замерам радиоактив­ного загрязнения, при штатной работе АЭС оно не ведет к серьез­

    413

    ным экологическим последствиям и составляет примерно 10 % от установленного предельного уровня.

    Однако при эксплуатации АЭС возможны нарушения штат­ных режимов с теми или иными последствиями. Так, при эксплуата­ции Ленинградской АЭС таких инцидентов было два: в ноябре 1975 г. и марте 1992 г. В первом случае разгерметизация части тепловыде­ляющих элементов стала причиной выброса радиоактивных продук­тов деления и фрагментов топливозащитной укладки в атмосферу че­рез воздушную трубу. Главными носителями загрязнения оказались инертные радиоактивные газы и изотопы йода. Радиоактивность ме­стности вернулась к фоновой примерно через месяц, поскольку ра­дионуклиды аэрозолей оказались короткоживущими. Второй инци­дент произошел в результате отказа запора регулирующего клапана, что привело к перегреву и разгерметизации технологического канала. В атмосферу через вентиляционную трубу было выброшено две су­точные нормы радиоактивных инертных газов. Наиболее опасным считалось присутствие в аэрозолях иридия-131. Это событие также не имело долговременных экологических последствий.

    Происшествия, связанные с эксплуатацией АЭС, могут быть вызваны не только выбросами инертных радиоактивных газов или сбросом радиоактивных вод, но также многими другими причинами (технологическими, нарушениями правил транспортировки и хране­ния радиоактивных веществ и др.). Наиболее тяжкие последствия возникают при авариях на энергоблоках, как и случилось на Черно­быльской АЭС 26 апреля 1986 г. В результате этой катастрофы на земную поверхность было выброшено 1,9- 10|8Бк радиоактивных веществ, из них 8,1 • 1015 Бк приходилось на стронций-90 и 3,7 • 1016 Бк на цезий-137. В спектре выпавших радионуклидов обна­ружены рубидий-87, плутоний-240, уран-234, уран-238, рутений-106 и др. Радиоактивное загрязнение охватило весь континент, особенно пострадали территории, примыкающие к Чернобыльской АЭС.

    Перемещение радионуклидов в почвенно-покровных отло­жениях можно представить в виде трех миграционных потоков:

    • склонового смыва;

  • вертикального диффузионного потока;

  • вертикального инфильтрационного потока.

    414


    Склоновый смыв наиболее динамичен, он зависит от эрози­онной деятельности дождевых и снеговых вод. По ходу движения со склоновым стоком радионуклиды могут перемещаться в растворен­ном и во взвешенном состояниях. Они попадают в водные потоки ручьев и рек и перемещаются в них вниз по течению с донными от­ложениями. Скорость такого перемещения зависит от миграционных свойств радионуклидов. Так, стронций-90 быстрее проходит путь от р.Припять до устья р.Днепр, поскольку по пути он образует раство­римые формы, которые быстрее достигают Черного моря. Цезий-137 задерживается в донных осадках ложбин, попадая в более длитель­ный круговорот вещества.

    Диффузионный путь движения радионуклидов самый мед­ленный, его проделывают так называемые «горячие частицы»; про­дукты горения атомного реактора и инертные материалы, сброшен­ные в очаг пожара. Их средний размер 0,1-2 мкм, активность каждой частицы оценивается в 1-100 Бк, 50-70 % этих частиц закрыты «ру­башкой» из силикатов железа, т.е. находятся в негидролизуемой форме. Движутся «горячие частицы» очень медленно. За 10 лет по­сле аварии они прошли путь не более 10-20 см.

    Инфильтрационный вертикальный поток приносит радио­нуклиды в верхние водоносные горизонты. При движении через зону аэрации растворенные радионуклиды частично сорбируются, частично осаждаются на физико-химических барьерах или задер­живаются водоупорными породами. Поэтому загрязнение подзем­ных вод после Чернобыльской аварии оказалось неравномерным. В пределах 10-километровой зоны вокруг АЭС, например, подземные воды содержали 3,3 Бк/л стронция-90, 7,8 Бк/л цезия-137 и 6,7 Бк/л церия-144, а опробование подземных вод водоносных горизонтов юрского, мелового и эоценового возраста в районе Киева показало фоновые концентрации радионуклидов. Время существования гид­рогеохимических аномалий, образовавшихся после Чернобыльской аварии, обычно ограничивалось двумя-тремя годами, необходимы­ми для разбавления и рассеяния их атмосферными водами. Вместе с тем, на участках, где в подземных водах аккумулировались дол­гоживущие радионуклиды, возможно длительное существование геопатогенных зон.

    415

    Радиоактивные отходы. Система обращения с РАО вклю­чает в себя следующие стадии их трансформации: сбор, переработ­ку, хранение, транспортировку, захоронение и изоляцию. На Ленин­градской АЭС, например, образуется (40-ь 120) • 103 м3 жидких отхо­дов и около 3000 м3 твердых. Жидкие отходы после некоторой де­зактивации по сбросным каналам поступают в Копорскую губу; на выходе из канала в водах содержатся повышенные концентрации стронция-90, цезия-137, кобальта-60, кобальта-58 и трития. Твердые отходы помещают в специальные контейнеры и захоранивают в кембрийских глинах с соблюдением определенных мер предосто­рожности, связанных с самопроизвольными ядерными реакциями в контейнерах, вызывающими повышение температуры внутри и за стенками контейнеров. В результате изменяются физико-механи­ческие и фильтрационные свойства водовмещающих пород с воз­можными негативными последствиями.

    Таким образом, в районах действующих АЭС экологическая обстановка близка к норме. Но риск возникновения аварийных си­туаций в этих районах существует всегда, как и возможность обра­зования радиогидрогеохимических ореолов загрязнения. Как было показано на примерах предприятия «Маяк» и Западно-Сибирского химкомбината, подобные ситуации возможны во всех других местах сбора, переработки и хранения РАО.

    Микробиологическое загрязнение. В подземных водах встречаются три группы бактерий: аэробные, факультативные и ана­эробные. Распространение микрофлоры в подземных водах регули­руется минерализацией, температурой подземных вод, гидрогеохи­мической обстановкой (Eh, pH) и наличием органического вещества, обеспечивающего питание микроорганизмов. В пресных водах жи­вые организмы находятся в количестве десятков-сотен тысяч бакте­рий в 1 мл. Это, главным образом, гнилостные бактерии и сапрофи­та. Первые разлагают белковые вещества с образованием сероводо­рода и водорода, вторые существуют на глюкозопептонной среде с образованием углекислоты. Кроме того, в пресных водах функцио­нируют водородоокисляющие, денитрифицирующие, разлагающие клетчатку, железоокисляющие, метанообразующие и другие бакте­рии. Особенно интенсивно микрофлора развивается на участках про­

    416

    никновения хозяйственно-бытовых и промышленных стоков, при просачивании инфильтрационных вод в местах свалок, выгребных ям, скопления отходов животноводческих ферм, свинокомбинатов, птицефабрик, на площадях нефтяного загрязнения.

    СанПин 2001 г. [40] нормирует четыре микробных показателя:

    • термотолерантные и колиформные бактерии;

  • общее число колиформных бактерий;

  • общий микробный показатель;

  • количество колифагов.

    Изучение указанных показателей позволяет судить о присут­ствии болезнетворных бактерий в источнике водоснабжения. Следу­ет, однако, иметь в виду, что патогенные бактерии составляют очень небольшую долю от общей массы микроорганизмов. Важно также и то, что лишь примерно 10 % бактерий находится в подземных водах, а преобладающая их часть живет в своих «порах-домиках» вме­щающих пород. Заселенность пустотного пространства пород, как и жизнь микромира, подчиняется весьма сложным и не всегда извест­ным закономерностям. Чтобы понять, почему это так, напомним, что размеры бактерии не превышают 2 мкм, а ее масса КГ11 г. Это на 41 порядок меньше, чем масса нашей планеты, которая оценивается несколько более, чем 1028 г. Бактерии не мельчайшие живые орга­низмы. Размеры вирусов на несколько порядков меньше, чем раз­меры бактерий. Вирусы можно увидеть только с помощью очень мощного электронного микроскопа. Естественно поэтому, что в предмете гидрогеологии, т.е. в системе вода - порода - газ - живые организмы, последний компонент является наименее изученным и наиболее сложным.

    В подземных водах мстуг быть обнаружены возбудители инфекционных заболеваний (брюшного тифа, холеры, чумы и др.), которые попадают в водоносные горизонты со сточными водами, проникают из могильников и другими путями. Время существования микроорганизмов ограничивается 30-400 сут. На продолжительность их жизни влияют условия питания, состав, минерализация и темпе­ратура подземных вод, плотность микробного населения (чем боль­ше плотность, тем больше продолжительность жизни). Живучесть болезнетворных бактерий увеличивается при поглощении их вме­

    417


    щающими породами. Таким образом, ореолы микробного загрязне­ния ограничены по площади распространения и времени проявле­ния. Вместе с тем в отдельных случаях возможно образование по­стоянно функционирующих ореолов микробного загрязнения и соз­дание среды обитания болезнетворных бактерий. Такие очаги ин­фекции Moiyr возникать в местах проявления крупных эпидемий заразных болезней, в местах захоронения жертв этих эпидемий. Главной гидрогеологической проблемой во всех этих случаях явля­ется правильный выбор местоположения водозаборных сооружений, обеспечивающий безопасную их эксплуатацию.

    Тепловое загрязнение. Последствия воздействия теплово­го загрязнения могут быть различными. В частности, они могут приводить к деградации многолетней мерзлоты, нарушению тепло­вого режима деятельного слоя. Рост температуры подземных вод не позволяет в ряде случаев использовать их для практических це­лей в соответствии с санитарными и другими нормами. В этих ус­ловиях меняются химический состав, вкусовые качества, биологи­ческие свойства и количество растворенных газов, особенно ки­слорода. Химические последствия изменения температурного ре­жима подземных вод разнообразны. Во-первых, они приводят к созданию неравновесных гидрогеологических систем, обычно ус­коряют (реже замедляют), течение химических процессов. Во- вторых, тепловое загрязнение, как правило, сопровождается дру­гими видами загрязнений: химическим, микробиологическим, ра­диоактивным, что приводит к крайне нежелательным экологиче­ским последствиям. Тепловое загрязнение подземных вод чаще всего связано с деятельностью электростанций, особенно атомных, и энергоемких производств. В этих районах создается своеобраз­ный микроклимат, образуются контрастные тепловые аномалии, захватывающие грунтовые воды, сбрасываются большие объемы горячих и теплых вод.

    «Теплые острова» появляются на территории городских аг­ломераций, дыхание городов обогревает большие площади. Так, на­блюдения в районе Москвы с 1821 г., как отмечают Н.М. Фролов и

    В.Н. Шкатункин, показали, что среднегодовая температура воздуха увеличивается на 0,1 СС за 10 лет, а вблизи очагов интенсивного те-

    418

    плового загрязнения может достигать 0,4 °С в год. К 1925 г. темпе­ратурные аномалии со среднегодовой температурой воздуха более 8 °С занимали 30 км2 города, а в 1975 уже 430 км2. Соответствую­щие изменения произошли в тепловом режиме грунтовых вод. Теп­ловое поле может изменяться и на больших глубинах (до 3 км) при откачках и закачках воды. Эти процессы наблюдаются при осуше­нии горных выработок, работе водозаборов на участках добычи нефти и газа, особенно при искусственном поддержании пластового давления, закачке промстоков, в глубоких горизонтах дислокации месторождений термальных вод и парогидротерм, отборе петроген- ного тепла системами эксплуатационных скважин. Тепловое загряз­нение подземных вод сопровождается в этих случаях изменениями окислительно-восстановительного потенциала и кислотно-щелочной реакции химического газового состава воды, что, в свою очередь, приводит к кольматации пустот и трещин водовмещающих пород в результате выпадения в осадок солей и других веществ.

    1. ОТБОР ВОД И ЕГО ПОСЛЕДСТВИЯ

    Истощение и управление водными ресурсами. Эксплуата­ция подземных вод водозаборными сооружениями, осушение место­рождений полезных ископаемых, разные виды строительства, хозяй­ственной деятельности, возведение и эксплуатация гидротехниче­ских объектов и т.п. могут существенно менять естественный режим подземных вод, что сказывается на условиях формирования подзем­ных вод, образовании их естественных ресурсов, емкостных и экс­плуатационных запасов. В районах действующих водозаборов сни­жается уровень водоносных систем, образуются депрессионные во­ронки, меняется направление движения, положение областей пита­ния и разгрузки подземных вод, что часто сопровождается истощением их ресурсов. При образовании депрессионных воронок роль и значение отдельных составляющих водного баланса могут трансформиро­ваться. Например, на участках неглубокого залегания грунтовых вод их испарение в гумидной зоне за летний период может достигать десятков и даже нескольких сотен миллиметров, поэтому падение

    419

    уровня воды при эксплуатации горизонта снижает роль испарения и увеличивает долю инфильтрационного питания.

    Другим примером увеличения питания подземных вод при откачке может служить случай, когда при эксплуатации напорного водоносного горизонта начинается перетекание в него грунтовых вод, залегающих выше. При этом питание грунтовых вод усиливает­ся за счет поглощения речного и склонового стока.

    Если при эксплуатации водоносного горизонта подземные во­ды не получают дополнительного питания, то происходит сработка емкостных гравитационных и упругих запасов подземных вод, а при интенсивном водоотборе - их истощение. Такая ситуация возникает, когда количество откачиваемой воды превышает водное питание экс­плуатируемого горизонта. Истощение емкостных запасов подземных вод наблюдается во многих регионах России (см. гл.7 и 10). Вот неко­торые примеры:

    • водоносный комплекс каменноугольных отложений (за­падная часть Московского артезианского бассейна) - отбор 35 м

    3/с, модуль эксплуатационного водоотбора 1-2 л/(с-км2), площадь де- прессионной воронки 50 тыс.км2, понижение уровня подземных вод 120 м;

  • водоносный комплекс верхнедевонских отложений (в юго- западной части Московского артезианского бассейна) - отбор под­земных вод 5 м3/с, площадь депрессионной воронки 40 тыс.км2, по­нижение уровня подземных вод 75-80 м.

    Депрессионные воронки на водозаборах хозяйственно­питьевого назначения образовались и в других регионах (Приазов­ском, Волго-Уральском, Западно-Сибирском и др.).

    Глубокие понижения уровня подземных вод зарегистрирова­ны во многих горно-добывающих районах: на железорудных место­рождениях Курской магнитной аномалии, угольных Подмосковья и Печорского бассейна, горючих сланцев на западе Ленинградской области, бокситов на Северном Урале, в Прионежье и др. Осушение месторождений полезных ископаемых часто усугубляется созданием на территории шахтных и карьерных полей гидроотвалов, хвосто- и шламохранилищ, что ведет к увеличению водопритоков в горные выработки и загрязнению подземных вод. Ущерб подземной гидро­

    420


    сфере, наносимый осушением месторождений полезных ископае­мых, несомненен. В нашей стране ежегодно отбирается примерно 2 км3 преимущественно пресных вод, т.е. около 10-15 % от суммар­ного потребления вод хозяйственно-питьевого назначения.

    Значительные изменения режима подземных вод происходят в районах активной хозяйственной деятельности (мегаполисы, сельско­хозяйственное производство, промышленные предприятия, строи­тельство). Возмещению ресурсов подземных вод и изменению их хи­мического состава способствуют эксплуатация оросительных кана­лов, утечки из водонесущих коммуникаций, инфильтрация сточных вод, сооружение прудов, каналов и водохранилищ. Среди последст­вий таких мероприятий назовем подъем уровня подземных вод, под­топление территорий, образование искусственных водоносных гори­зонтов. Искусственное восполнение подземных вод для управления водными ресурсами может проводиться двумя способами: свободной инфильтрацией через дно каналов и водохранилищ или нагнетанием воды в специально оборудованные колодцы и скважины.

    Геопатогенные зоны. Так называют участки Земли, где воз­никают неблагоприятные явления для жизни человека, приводящие к болезням и летальным последствиям. В создании геопатогенных зон активное участие принимают подземные воды. В зависимости от их роли эти зоны подразделяются следующим образом:

    • зоны, возникающие на радононосных участках;

  • области подземных вод, характеризующиеся избыточным или недостаточным содержанием биогенно активных компонентов;

  • районы активной газогидротермальной деятельности в областях современного вулканизма и активных неотектонических процессов;

  • области, где изменение гидрогеодинамической обстановки приводит к опасным сейсмическим и другим явлениям.

    Радононосные районы. Наибольшей радононосностью ха­рактеризуются древние кристаллические щиты и зоны разломных нарушений. Радон особенно опасен, когда он накапливается в жи­лых помещениях нижних этажей. Аномально высокие концентрации радона нередко наблюдаются в различных комбинациях с другими радионуклидами естественного и техногенного происхождения.

    421


    Биогидрогеохимические провинции. Поскольку водоснаб­жение в большинстве районов России осуществляется за счет под­земных вод, то здоровье человека в значительной степени зависит и от их качества, избытка или недостатка содержания в них норми­руемых компонентов. Территории, на которых широко распростра­нены такие воды, называются биогидрогеохимическими провин­циями. Они могут содержать избыточные по отношению к ПДК концентрации железа, марганца, бора, фтора, стронция, селена, мышьяка, аммония, бериллия. Отрицательные медицинские по­следствия для человеческого организма могут возникать не только при избытке содержания отдельных компонентов в подземных во­дах, но и при их дефиците. Такие явления наблюдаются при дефи­ците в водах йода, фтора, цинка и некоторых других компонентов. Длительное употребление таких вод может иметь эндемические последствия: кариес зубов, заболевание щитовидной железы и за­медление роста.

    Установлением оптимального химического состава и границ безвредности питьевых вод всегда занимались медики и химики. Многие параметры «безвредности» и «оптимальности» воды явля­ются дискуссионными и постоянно уточняются, поэтому содержа­ние и границы биогидрогеохимических провинций являются неста­бильными и должны получить надежное обоснование.

    Газогидротермальная деятельность. В районах современ­ного вулканизма и активной неотектонической деятельности насе­ление испытывает негативное воздействие различных природных факторов. Среди них следует отметить выделение токсичных газов, образование пепла и лавовых потоков, электромагнитное излучение, сотрясение почвы, возникновение геохимических и температурных аномалий. По мере роста неотектонйческих напряжений, появления деформаций того или иного знака, сжатия или расширения, меняют­ся условия раскрытия трещин и их газоносность и водоносность. По мнению Г.С. Вартаняна (2001), в подобных условиях газовое дыха­ние недр может оказывать психобиохимическое воздействие на че­ловека (безразличие, агрессивность и другие аномалии в поведении людей). Наиболее опасные последствия отравления живых организ­мов возникают в условиях длительного воздействия микрокомпо­

    422

    нентов (подземных вод и газовых выделений, а также электромаг­нитных излучений и др.)- Поскольку такое воздействие оказывается на большие группы людей, то его последствия могут быть уже соци­ально опасными. Изучение влияния косной среды на поведение че­ловека является весьма сложной и актуальной проблемой.

    Техногенные аномалии и наведенная сейсмичность. Гео­патогенные зоны часто возникают в результате техногенной дея­тельности. Ярким примером такого рода являются места хранения РАО, складирования отходов химических и других вредных произ­водств, городских свалок, закачки промстоков и др. Площади гео­химических аномалий могут достигать в этих случаях 5-10 км2.

    Геохимические аномалии могут возникать также при интен­сивной эксплуатации водоносных систем. Например, при откачке подземных вод на радононосных участках, концентрация радона в водах может увеличиться на порядок. Установлено, что почти чет­верть территории Ленинградской области является радоноопасной и, если начать эксплуатацию водоносных горизонтов на радононосных участках, то эта угроза станет реальной. Такая же ситуация может возникнуть при эксплуатации водоносных систем на территории биогидрогеохимических провинций. При отборе вод из застойных зон минерализация и концентрация нормируемых компонентов на устье скважины будут заметно расти.

    Изменение гидрогеодинамического режима подземной гид­росферы может стать причиной сейсмических явлений. В одних слу­чаях это воздействие может приводить к возбуждению сейсмиче­ских процессов, в других - к инициированию землетрясений. В пер­вом случае недра созрели для землетрясения, и вмешательство чело­века выполняет роль спускового крючка для того, чтобы оно состоялось. Например, причиной Ташкентского землетрясения 1966 г. стала длительная и глубокая откачка из альб-сеноманского водоносного горизонта. Спустя некоторое время в Центрально- Азиатском регионе в районе газового месторождения Газли про­изошло еще одно землетрясение. На этот раз из-за нарушения гео- динамического режима недр при освоении месторождения.

    Ускорение сейсмических событий часто связано с образова­нием крупных водохранилищ. Наведенное землетрясение такого ро­

    423

    да произошло, например, в Индии в 1967 г. в районе водохранилища Куина. Исследования в Северной Америке, Средней Азии и других регионах показали, что подобные землетрясения не редкость.

    Инициирование землетрясений проводится с целью предот­вращения сильных толчков с возможными неблагоприятными по­следствиями. Решения этой задачи можно добиться различными способами. Один из них - закачка воды в зоны активных разломов для искусственной разрядки сейсмической энергии относительно слабыми землетрясениями. Аналогичный эффект можно получить с помощью направленных взрывов, проходки специальных горных выработок и т.п.

    1. Особенности эколого-гидрогеологических исследований

    Для решения экологических задач чаще всего используются такие виды гидрогеологических исследований, как картирование, мониторинг и прогнозирование (см. также гл.9).

    Эколого-гидрогеологическое картирование. Объектом картирования является геологическая среда и (или) экогеологиче- ские системы. Среднемасштабное картирование (1:200 000) дает наиболее наглядное представление о содержании эколого-гидро- геологической съемки [43]. Это видно из легенды составляемых карт, которая состоит из трех блоков:

    • естественное состояние геологической среды - типиза­ция ландшафтных систем, геологические и геохимические усло­вия, почвы и зоны аэрации, гидрогеологическая и геодинамиче- ская обстановка;