Материал: Обеспечение пожарной безопасности технологического процесса производства пироватекса ЦП (стадия конденсации диметилфосфита с акриламидом)

Внимание! Если размещение файла нарушает Ваши авторские права, то обязательно сообщите нам

Обеспечение пожарной безопасности технологического процесса производства пироватекса ЦП (стадия конденсации диметилфосфита с акриламидом)

Введение

За 10 месяцев 2014 года оперативная обстановка с пожарами в Российской

Федерации характеризовалась следующими основными показателями:

зарегистрировано 121940пожара;

погибло при пожарах 7706 чел.;

получили травмы на пожарах 8776 чел.;

прямой материальный ущерб причинен в размере 13056185 тыс.р.

Причины пожаров

Причины пожаров

Количество пожаров

Поджоги

11441

Нарушение правил устройства и эксплуатации электрооборудования и бытовых электроприборов

29369

Неисправность производственного оборудования, нарушение технологического процесса производства

448

Неосторожное обращение с огнем

38104

Шалость детей с огнем

2002

Нарушение правил пожарной безопасности при проведении электрогазосварочных работ

793

Взрывы

98

Самовозгорание веществ и материалов

350

Неисправность и нарушение правил эксплуатации печного отопления

15593

Не установленные

1630

Прочие причины пожаров

12597


Объекты пожаров

Объекты пожаров

Количество

Производственные здания и складские помещения производственных предприятий

2440

Склады, базы и торговые помещения

3410

Административно-общественные здания

2188

Жилой сектор

75012

Строящиеся объекты

683

Сооружения, установки

818

Транспортные средства

17294

Прочие объекты пожаров

6527


Пример пожара на нефтеперерабатывающем заводе в Комсомольске-на-Амуре


На одной из технологических установок нефтеперерабатывающего завода в Комсомольске-на-Амуре в ночь на 26.02.2013 года произошел пожар. Как сообщили в Главном управлении МЧС РФ по Хабаровскому краю, в результате инцидента пострадавших нет.

В МЧС уточнили, что сообщение о происшествии поступило на пульт дежурного службы "01" в 0 час 40 мин. Через час пожарным расчетам удалось сбить пеной факел - высота пламени достигала почти 5 метров, а в 02:49 пожар был полностью ликвидирован.

По предварительным данным, факельное горение продуктов нефтепереработки произошло из-за разгерметизации фланцевого соединения установки первичной переработки нефти. Операторы завода остановили работу установки, перекрыли давление в трубопроводах.

Целью курсового проектирования является:

1)      систематизация, закрепление и расширение теоретических и практических знаний курсантов, слушателей и применение полученных знаний при решении конкретных научных, технических и производственных задач;

2)  Углубленное изучение определенного вида технологического оборудования в соответствии с темой курсового проекта;

3)  проведение самостоятельной работы курсантов и слушателей с использованием технологии, оборудования высокого уровня или связанной с разработкой новых более совершенных процессов и оборудования:

4)  получение по результатам выполненного курсового проекта реального научного, технического или производственного результата, использование которого на производстве даст технико-экономические эффект:

5)      развитие навыков научно-технического поиска, способности анализировать данные литературных источников, патентов, технической документации, данных экспериментов, производственного опыта:

6)      утверждение способности постановки и самостоятельного решения инженерных задач.

1. Анализ пожарной опасности технологического процесса

Используя методику анализа взрывопожарной опасности технологического процесса:

изучают технологию производства, устройство и работу оборудования, а также его размещение;

устанавливают горючие вещества и материалы, обращающиеся в процессе, определяют их количество и пожаровзрывоопасные свойства;

определяют оборудование, участки и места, в которых находятся горючие вещества, материалы или сильные окислители, а также возможность образования газо-, паро- или пылевоздушных смесей;

анализируют возможность образования горючих смесей внутри технологического процесса в различные периоды;

анализируют возможность образования взрывоопасных зон в производственных помещениях и на наружных установках в различные периоды работы технологического оборудования;

анализируют причины, приводящие к выходу горючих веществ и материалов из технологического оборудования;

анализируют возможность образования в горючей среде источников зажигания;

анализируют причины и условия, способствующие развитию начавшегося пожара, а также пути распространения огня и раскаленных продуктов горения;

обосновывают расчетами категории помещений, зданий и наружных установок по взрывопожарной и пожарной опасности;

предлагают и обосновывают расчетами способы обеспечения пожарной безопасности технологического процесса, а также конкретные технические решения и организационные мероприятия, направленные на снижение его взрывопожарной опасности до нормативного уровня. [12]

1.1 Анализ пожаровзрывоопасных свойств веществ, обращающихся в технологическом процессе

Таблица 1. Пожароопасные свойства веществ и материалов, обращающихся в технологическом процессе

№ п/п

Наименование веществ

Агрегатное состояние

Горюч.

Твсп

Твоспл

Тс.воспл

Температурные (концентрационные) пределы воспламенения

Другие свойства веществ

















НКПВ

ВКПВ


1

2

3

4

5

6

7

8

9

10

1

Диметилфосфит

Ж

ЛВЖ

102

-

241

66

144


2

Метанол-яд

Ж

ЛВЖ

6

13

440

5

39


3

Метилат натрия

Ж

ЛВЖ

8

-

436

7

39


4

Акриламид

Тв

Г

135

155

440

40

-



Вывод: В результате изучения пожароопасных свойств обращающихся веществ, можно сказать, что наиболее опасное вещество - метанол-яд. Следовательно, дальнейшее изучение процесса конденсации диметилфосфита с акриламидом будем проводить по метанол-яду.

.2 Изучение технологического процесса

Диметилфосфит поступает в цех со склада сырья в нержавеющих бочках.

Если качественные показатели диметилфосфита не соответствуют требованиям ТУ, то он направляется на дистилляцию. Если концентрация диметилфосфита выше 94%, то бочки с диметилфосфитом устанавливаются в загрузочный шкаф поз.М 11 б и диметилфосфит с помощью вакуума загружаются в сборник 2-6, из которого с помощью сжатого азота (давлением не более 3 атм.) передавливается в сборник 1-5. Из сборника 1-5 диметилфосфит загружается в расходную емкость 1-6, из которой расходуется в производство.

Метанол - яд поступает со склада сырья по трубопроводу в сборник 1-7, из которого насосом 1-8 через счетчик расходуется в производство (при прохождении через счетчик заданного количества метанола-яда, насос автоматически отключается).

Для промывки расходной емкости метилата натрия 1-12 (после его загрузки в аппарат), метанол-яд с помощью насоса 1-8 закачивается в емкость 1-9, находящуюся под давлением азота не более 3 атмосфер.

Метилат натрия поступает в цех со склада сырья в нержавеющих бочках. Бочки устанавливаются в загрузочном шкафу М11 и с помощью переносного насоса 1-23 метилат натрия закачивается в сборник 1-10.

Акриламид поступает в цех со склада сырья в полиэтиленовых мешках или в барабанах. Растаривание мешков и загрузка акриламида в бункер производится в загрузочном шкафу М1, для создания взрывобезопасной среды бункер М5, перед загрузкой акриламида в реакционный аппарат, продувается азотом до содержания кислорода не более 4%. Содержание кислорода анализируется с помощью переходного газового анализатора типа «Охусоп-25 Д».

Процесс конденсации диметилфосфита с акриламидом производится в аппарате из нержавеющей стали 1-1, объем 1000 л, снабженном двухскоростной мешалкой с числом оборотов 56 и 28 об/мин, системой для обогрева и охлаждения, прибором для измерения и записи температуры, донным спусковым клапаном с пневматическим приводом, холодильником 1-2 и системой охлаждения торцевого уплотнения.

Перед началом работы реакционный аппарат продувается азотом. Для этого в аппарат подается азот до создания в аппарате избыточного давления 0,1 атм. После создания требуемого давления азота автоматически прекращается. Перед началом загрузок избыточное давление сбрасывается в атмосферу.

В чистый, сухой, продутый азотом аппарат 1-1 из расходной емкости 1-6 загружается расчетное количество диметилфосфита. Количество загружаемого диметилфосфита пересчитывается в соответствии с его концентрацией. Количество диметилфосфита, необходимое на загрузку, задается со щита управления в операторной цеха. По окончании загрузки диметилфосфита в аппарат 1-1 из сборника 1-7 с помощью насоса 1-8 через счетчик загружается 145 л метанол-яда. После прохождения через счетчик заданного количества метанол-яда насос автоматически отключается. Масса перемешивается в течение 20 минут и затем отбирается проба на анализ для определения кислотности смеси, которая не должна превышать 0,135 эквН/кг (если содержание кислых примесей в диметилфосфите больше 5%, то кислотность не должна превышать 0,36 эквН/кг). Реакционная масса в аппарате охлаждается до температуры 15ºС. Затем аппарат 1-1 продувается азотом, включается в работу холодильник (как обратный) и в аппарат 1-1 из бункера М5 с помощью шлюзового питателя М2 загружается 290 кг акриламина. Во время загрузки акриламина производится продувка питателя М2 и точки М3 азотом.

У бункера акриламида М5 предусмотрена система для улавливания пыли акриламида водой (из расчета 74,5 л воды на 1т готового продукта). Система состоит из скруббера, насоса и вентилятора. После передавливания 3-4 операций получения пироватекса ЦП вода из системы улавливания пыли акриламида направляется в канализацию промотоков. Бункер М5 оборудован флуидирующими бобышками для подачи азота и пневмолотком для встряхивания залежавшегося акриламида. После окончания загрузки в аппарат 1-1, реакционная масса нагревается до температуры 60-62ºС и перемешивается при этой температуре в течении 30 минут. Затем в аппарат 1-1 из расходной емкости загружается 72 кг 30%-ного метилата натрия. Загрузка метилата натрия программируется и осуществляется со щита управления в операторной.

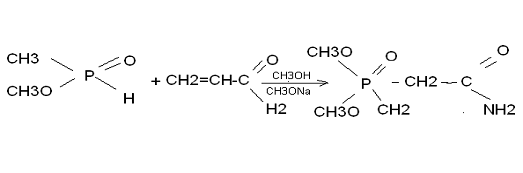
Процесс конденсации диметилфосфита с акриламидом протекает по реакции:


Реакция конденсации диметилфосфита с акриламидом экзотермическая и температура в аппарате 1-1 самопроизвольно поднимается до 92-93ºС, но не должна превышать 98 ºС. Если температура продолжает расти, то при 95 ºС автоматически прекращается загрузка метилата натрия. После загрузки метилата натрия температура реакционной массы в аппарате 1-1 самопроизвольно снижается до 83-85ºС. После чего отбирается проба определения рН, который должен быть 9,0 и содержание свободного диметилфосфита. Расход 1н раствора а ОН при анализе не должен превышать 0,3 мл. в случае , если рН меньше 9,0 производится дозагрузка метилата натрия из расчета 0,5 кг на каждое 0,1 значение рН нормы.

При продолжительном результате анализа расходная емкость 1-12 промывается 10 л метанол-яда из емкости метанол-яда 1-9. Промывной раствор из расходной емкости 1-12 сливается также в аппарат 1-1. В это же время реакционная масса охлаждается до температуры 50ºС и процесс конденсации диметилфосфита с акриламином считается законченным.

Выход с операции-942 кг. [13]

Рис. 1 Принципиальная схема технологического производства

Рис. 2 Аппаратурная схема технологического процесса

1.3 Анализ возможности образования горючей среды внутри и снаружи технологического оборудования

.3.1 Анализ возможности образования горючей среды внутри аппаратов

Таблица 2. Свойства горючей среды внутри аппаратов

№ п/п

Наименование Операции (режима работы) № аппарата, обращающиеся вещества

Пожароопасные Свойства веществ

Технологические параметры

Наличие ПВП

Условие образов. ВОС

Вывод о наличии ВОС

















НКПР

ВКПР

Тр. (Ср)*

Рр.













1

Загрузка метаноляда

5 ºС

39 ºС

21

атм

ДА

Тр ≥ 5

да

2

Перемешивание

5 ºС

39 ºС

21

атм

ДА

-10 <21< +15

да

3

Промывка расходной емкости поз.1-12

5 ºС

39 ºС

21

атм

нет

-10 <21< +15

да