Материал: Напряжение и деформированное состояния в точке материала

Внимание! Если размещение файла нарушает Ваши авторские права, то обязательно сообщите нам

Напряжение и деформированное состояния в точке материала

Академия Государственной противопожарной службы МЧС России

Кафедра механики и инженерной графики











КОНТРОЛЬНАЯ РАБОТА №1.

по дисциплине: «Материаловедение и технология материалов»

Выполнил:

слушатель 3-Б курса ФЗО

старшина внутренней службы

Лобанов Виталий Витальевич

Зачетная книжка № 14194




Москва - 2015

Тема 1. Напряжение и деформированное состояния в точке материала

Задание 1. В соответствии с данными требуется

. Найти напряжение σφ, σφ+90 и τφ и изобразить их на чертеже.

. Найти главные напряжения σ1, σ2 (σ1 > σ2), положение главных площадок (углы наклона нормалей которых равны φ0 и φ0+900), и показать их на отдельном чертеже.

. Найти максимальные касательные напряжения τmax, а также положение площадок, на которых они действуют (под углами 450 к главным площадкам); вычислить нормальные напряжения σ, действующие на этих площадках. Изобразить на отдельном рисунке τmax и σ. Сравнить τmax с заданным пределом прочности при сдвиге τв.

. Используя закон Гука при плоском напряженном состоянии, найти линейные - εy, εz и угловую - γxy деформации в данной точке.

σz, МПа

σy, МПа

τzy, МПа

φ, градус

t, 0С

E, ГПа

n

a·106, 0С-1

τв, МПа

Материал

120

-110

100

55

60

10

0,15

35,0

50

Текстолит


Решение.

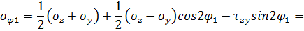
. Определение напряжений σφ, σφ+90 и τφ на наклонных площадках. Исходное напряженное состояние показано на рис. 1.1.











Вычисление напряжений σφ, σφ+90 и τφ.


Площадки, проходящие через данную точку материала, на которых действуют напряжения σφ, σφ+90 и τφ, показаны на рис. 1.2.










Рис. 1.2

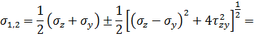
. Определение главных напряжений σ1, σ2 и положения главных площадок.

Вычисление главных напряжений:

σ1 = 157,4 МПа, σ2 = -147,4 МПа (σ1 > σ2) .

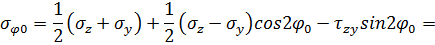
Вычисление углов наклона нормалей главных площадок φ0 и φ0+900


Составление площадок на которых действуют σ1 и σ2, определяется подстановкой φ0 и φ0+900 в формулу для вычисления σφ.














Рис. 1.3

Получили σφ0 = σ1. Таким образом, на площадке, угол к которой равен φ0, действует напряжение σ1 (рис. 1.3). Следовательно, на площадке, угол наклона нормали которой равен φ0+900, должно действовать напряжение σ2. Проверим это:


Получим σφ0+90 = σ2. Главные напряжения σ1 и σ2 вычислены верно.

. Определение максимальных напряжений τmax, соответствующих нормальных напряжений σ и площадок, на которых они действуют. Сравнение τmax с заданным пределом прочности при сдвиге τв.

Вычисление τmax:


Сравним τmax с τв:

для текстолита τmax = 152,4 МПа > τв = 50 МПа. Условие прочности не выполняется. Это означает, что в данной точке материала происходит разрушение.

Вычисление углов наклона площадок, на которых действуют τmax:


Вычисление τmax на площадке с углом наклона нормали φ1 определяется знаком величины τφ1:


Площадки, на которых действуют τmax, а также их направления с учетом закона парности касательных напряжений показаны на рис. 1.4.











Рис. 1.4

Вычисление нормальных напряжений σ, действующих на этих площадках (см. рис. 1.4):


Можно вычислить σφ1 и σφ1+90 другим способом, а именно:


. Вычисление продольных εy, εz и угловой γzy деформаций в точке линейно-упругого материала.

В соответствии с законом Гука для линейно-упругого материала с учетом изменения температуры получим:


Модуль сдвига для изотропного материала вычисляется по формуле:


тогда угол сдвига равен


Ответ:

σφ= -128,3 МПа      σφ+90=138,3 МПа            τφ= 73,9 МПа

φ0= - 20,50              φ0+900=69,50                  

σ1= σφ0=157,4 МПа                                          σ2= σφ0+90= - 147,4 МПа   

φ1=24,50                  τmax=152,4 МПа              σφ1= σφ1+90=5 МПа

εy= - 1,49·10-2         εz=1,575·10-2                    γzy=2,33·10-2

Задание 2. В соответствии с данными требуется:

. Определить E, n и G - параметры упругих свойств материала 1.

. Определить d и y - параметры пластических свойств материала 1.

. По заданной диаграмме определить σпц, σв, σт (или σ0,2) - параметры прочных свойств материала 2 (для диаграммы с выраженной площадкой текучести найти σт, если площадка текучести отсутствует - оценить величину σ0,2).

. Определить G, исходя из данных, полученных в эксперименте на кручение образца (материал 3).

l0, мм

А0, мм2

F,Н

Δl·103, мм

Ак, мм2

lк, мм

ε’,%

ε,%

М, Нм

φ, рад

d, мм

Номер диаграммы

15

8

24

0,5

6,2

18

-0,13

0,32

8

0,008

25

VIII


Решение.

. Находим упругие и пластические параметры материала, используя данные, относящиеся к продольному растяжению:

модуль упругости при растяжении (сжатии) находим по формуле


коэффициент Пуассона находим по формуле:

Полагая материал изотропным, модуль сдвига найдем через модуль упругости E и коэффициент Пуассона - n по формуле:


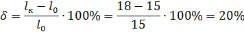
Находим относительное остаточное удлинение, используя формулу:


и относительное остаточное сужение, используя формулу:

напряжение наклон упругий растяжение

2. Параметры прочностных свойств материала 2 находим по диаграмме растяжения.

Проследим особенности кривой на диаграмме нагружения, начиная от точки с координатами (0; 0), что соответствует изначально недеформированному образцу. На некотором участке (до точки с координатами 1; 610) график прямолинеен, далее он искревляется. Это означает, что при дальнейшем нагружении материал 2 уже не следует закону Гука, поэтому принимаем значение предела пропорциональности σпц≈610 МПа.













Рис. 2.1. Диаграмма растяжения.

Прослеживая характер кривой при возрастании нагрузки, доходим до точки с координатами (18; 760). Это точка экстремума на кривой диаграммы, поэтому значение предела (временного сопротивления) принимаем равным σв≈760 МПа.

. По формуле подсчитаем модуль упругости при сдвиге для материала 3, используя данные, относящиеся к кручению круглого образца.


Ответ:

E = 90 МПа             n = 0,41                              G = 31,9 МПа

d = 20 %                   y = 22,5 %                        

σпг ≈ 610 МПа        σт ≈ 610МПа                     σв ≈ 760 МПа

G3 = 384 МПа