Материал: Налоги и инфляция

Внимание! Если размещение файла нарушает Ваши авторские права, то обязательно сообщите нам

Ставка 177.2% годовых при наращивании простыми процентами обеспечивает реальную доходность 30% годовых.

Возьмем формулу (9) и (11) и запишем:

+=r*+ r* (11)

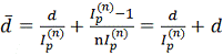
Следовательно, можно сказать, что ставку  можно представить в виде суммы ставки, в  раз большей, чем исходная ставка r и ставкой, компенсирующей обесценение денег, сохраним их покупательную способность.

Чтобы определить простую положительную процентную ставку, можно также воспользоваться формулой (11):

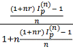
Если r= 0, то  =  =r*

Реальной процентной ставкой rrealназывается доходность с учетом инфляции при начислении простых процентов и определить ее можно равенством, аналогичным формуле (10):

1 + nrreal = , т.е. rreal =*( - 1) =  (12)[4, c.107]

Пример №7:

Определить реальную ставку простых процентов за 2 года, если номинальная процентная ставка равна 45% при годовой инфляции в 23%.

Решение:

n= 2, = 1.23, r= 0,45

Через формулу (12) получаем:

rreal = *( - 1) = 0,2723

rreal = 27, 23% годовых

Существует такое понятие, как плавающая процентная ставка, которая используется в условиях галопирующей инфляции. Формулу можно записать в виде:

(13),

где  - продолжительность в днях периода, на который установлена процентная ставка ,  -количество дней в году.

Так как любую финансовую сделку при обесценении денег можно назвать бессмысленной, для гиперинфляции характерна бартерная сделка.[4, c.109]

Допустим на основе простой учетной ставки d в течение времени nпроисходит наращение капитала Pи индекс цен за это время равен . Тогда величину ставки можно найти через формулу:

(14)

И, следовательно:

(15)

Чтобы найти d* возьмем соотношение:

= 1, преобразовываем:

Тогда можно записать в виде:

* (16)

Можно сделать вывод, что брутто-ставка - это сумма ставки, которая меньше исходной ставки d в  раз и составляющей, компенсирующей обесценение денег, при этом сохраняя их покупательную способность. [4, c.110]

Если записать d+d* (1-nd), то можно увидеть, что

Реальную учетную ставку можно определить через аналогию с формулой (15):

dreal = (d-d*) (17)

Пример №8:

Банк выдает клиенту кредит на 3 месяца, в течение которых по оценкам экспертов ежемесячный индекс инфляции составит 1,03. Найти значение учетной ставки, полностью компенсирующей потери от инфляции, если банк желает обеспечить реальную доходность. Определяемую простой учетной ставкой в 30% годовых.

Решение:

 = 1.03*1.03*1.03 = 1.092727

n= 1/4, d=0,3

Ссылаясь на формулу (15):

= 0.614

 = 61,4%

также можно найти через d*:

d* = = 0.3394 и тогда  =  + 0.3394= 0.614

Через формулу (11) и формулу эквивалентности простых ставок можно определить формулу (15):

= =  = (1- )

И при том, что 1+nr = , получаем:

 = (1- ) (18)

Пример №9:

Вексель учитывается в банке за 2 месяца до срока его погашения. Какую простую учетную ставку должен применить банк, чтобы при ежемесячном темпе инфляции в 4% обеспечить реальную доходность операции учета в виде простой процентной ставки 37% годовых?

Решение:

Определяем индекс инфляции с помощью формулы (6):

=(1+0,04)2 = 1.0816

Попробуем решить данную задачу двумя способами.

Iспособ:

Через формулу (11) получаем:

=  = 0.8934 или 89.34%

И по формуле эквивалентности простых ставок будет:

 = = 0.7776 или 77.76% годовых

II способ:

Сначала находим ставку d:

d =  = 0.3485 = 34.85%

Через формулу (15) находим  :

= 0.7776, или 77.76% годовых

Существует также метод осуществления компенсации инфляции через периодическую индексацию первоначальной суммы P.

В экономике существует такое понятие как процесс дефляции, который происходит в случае, если индекс цен меньше единицы. Темп дефляции определяется аналогично как тем инфляции [4, c.113]

Заключение

Таким образом, поставленная мною цель в начале работы достигнута, задачи выполнены. Подытожив свою работу, можно сделать вывод, что налоги и инфляция являются неотъемлемой частью финансового мира. При финансовых расчетах очень важно не забывать об учете налога или инфляции, знать, как высчитывать ставку налога, и какие процентные ставки существует при инфляции. Это необходимодля того, чтобы в дальнейшем избежать необратимые последствия после необоснованных, непросчитанных решений.

Список литературы:

1.   Налоговый кодекс РФ (НК РФ)

2.      Финансовый менеджмент: теория и практика, В.В. Ковалев, М., - «Проспект» 2007

.        Финансы,В.В. Ковалев, М., - «Проспект» 2007

.        Курс финансовых вычислений 4-е издание, В.В. Ковалев, В.А. Уланов, М. - «Проспект» 2015