При планировании организационно-технических мероприятий для повышения ОТН строительства учитываются так называемые внутренние резервы, а также специальные меры резервирования
Виды резервов повышения ОТН строительства
Внутренние резервы
1. Сокращение непроизводительных потерь времени
Рациональное размещение производственной базы
Оптимизация транспортных схем и перевозок
Совершенствование системы проведения планово-предупредительных ремонтов и технического обслуживания машин
Повышение трудовой дисциплины, сокращение текучести кадров
2. Создание условий для повышения производительности труда
Повышение квалификации работников
Совмещение профессий
Технически обоснованное нормирование труда
3. Повышение общего уровня организации работ
Автоматизация управления строительством
Оптимизация выработки и принятия организационно-технологических решений
Совершенствование технологии производства работ
Использование достижений науки в производстве
Специальные меры резервирования
1. Ресурсы типа мощности
Резерв машин, используемый при внезапных отказах плановых машин (ненагруженный резерв)
Использование резервных машин на работах вне потока, других объектах и т.д. (частично нагруженный резерв)
Включение в работу машин, временно неиспользуемых на других объектах и видах работ из-за организационно-технологических ограничений
2. Складируемые материальные ресурсы
Оптимизация запасов материалов на приобъектных складах
Оптимизация запасов продукции подсобного производства
3. Пространственно-временные резервы
Резервный фронт работ
Дополнительные организационно-технологические мероприятия по продлению строительного сезона.
Сетевые модели, как инструмент управления. Модель сетевая (модель управления и планирования производством) — план выполнения некоторой совокупности взаимосвязанных операций (работ) заданный в специфической форме сети. Примером данной модели может служить сетевой график.
Экономико-математические модели могут строиться не только в виде формул (аналитическое представление модели), но и в виде числовых примеров (численное представление), в виде таблиц (матричное) и в виде графов (сетевое представление).
Графом называется совокупность двух конечных множеств: множества точек, которые называются вершинами, и множества связей, соединяющих вершины, которые называются ребрами.
Соответственно по этому принципу различают модели:
Аналитические
Матричные
Сетевые

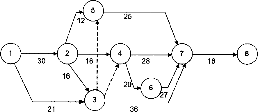
В кружках указаны номера событий, соединительными линиями (стрелками) работа, а цифры над ними - указана ориентировочная стоимость, продолжительность или трудоемкость работ. В соответствии элементам графов (дугам и вершинам) ставятся числовые оценки (параметры операции: продолжительность, стоимость или трудоемкость). Что позволяет осуществлять глубокий анализ, а в ряде случаев оптимизацию.
Сетевой график
Путь — это цепочка следующих друг за другом работ, соединяющих начальную и конечную вершины, например, в приведенной выше модели путями являются LI = (1, 2, 3, 7, 10, 11), L2 = (1, 2, 4, 6, 11) и др.
Продолжительность пути определяется суммой продолжительностей
I
составляющих его работ. Путь, имеющий максимальную длину, называют критическим и обозначают LKp, а его продолжительность — t кр . Работы, принадлежащие критическому пути, называются критическими. Их несвоевременное выполнение ведет к срыву сроков всего комплекса работ.
Сетевая модель определяет с любой требуемой степенью детализации состав работ комплекса и порядок выполнения их во времени.
Отличительной особенностью сетевой модели в сравнении с другими формами представления планов является четкое определение всех временных взаимосвязей операций.
Сетевые модели используются не только как средство решения разнообразных задач планирования и прогнозирования. Сетевые модели также служат для построения специального класса системы организационного управления, получивших название систем сетевого планирования и управления.
Среди различных методов систем сетевого планирования и управления наиболее распространены: метод критического пути — анализ состояния процесса в каждый заданный момент времени и определение последовательности работ с целью избежания задержки времени выполнения плана к намеченному сроку и метод оценки пересмотра программ.
Основными временными параметрами сетевой модели являются.
Ранний срок начала работы - момент времени, до наступления которого работа начаться не может, предшествующие работы должны быть завершены.
Ранний срок окончания работы - точка во времени, отстоящая от точки раннего начала работы на величину продолжительности последней.
Поздний срок начала работы - момент времени, после наступления
которого работа начаться не может, иначе будут нарушены сроки реализации процесса.
Поздний срок окончания работы - точка во времени, отстоящая от точки позднего начала работы на величину продолжительности последней. Резерв времени - это период времени, ограниченный точками раннего и позднего окончания работ.
Полный резерв времени показывает, на сколько можно увеличить время выполнения конкретной работы при условии, что срок выполнения всего комплекса работ не изменится.
Независимый резерв времени соответствует случаю, когда все предшествующие работы заканчиваются в поздние сроки, а все последующие — начинаются в ранние сроки. Использование этого резерва не влияет на величину резервов времени других работ.
Сложность сетевого графика оценивается коэффициентом сложности, который определяется по формуле:
=
Где
D - число действительных работ
О - число ожиданий
Ф - число фиктивных работ
п - число событий
Сетевые графики, имеющие коэффициент сложности от 1,0 до 1,5, являются простыми, от 1,51 до 2,0 - средней сложности, более 2,1 - сложными.
При построении топологии сетевого графика необходимо стремиться к тому, чтобы число фиктивных работ было минимальным, так как лишние фиктивные работы усложняют сетевой график и увеличивают время его расчета.
Надёжность системы СПУ и оценка их качества. Пример оценки надежности сетевой модели
Рассмотрим вероятностную сетевую модель

Временные оценки работ сетевой модели Тнв, Т0, Тп, а также рассчитанные на их основе величины Тож и σ2 приведены в табл. 1.
Данные для расчета вероятностной сетевой модели (рис. 1)
|
Код |
Оценка времени, дн. |
|
Ожидаемое время |
Дисперсия, |
|
|
работы |
Т0 |
Тп |
Тнв |
Тож, Дн |
σ2 |
|
1-2 |
23 |
70 |
30 |
35,5 |
61,2 |
|
1-3 |
14 |
40 |
21 |
23,0 |
18,79 |
|
2-3 |
10 |
28 |
16 |
17,0 |
9,00 |
|
2-4 |
10 |
40 |
16 |
19,0 |
25,0 |
|
2-5 |
6 |
20 |
12 |
18,5 |
5,44 |
|
3-4 |
0 |
0 |
0 |
0 |
0 |
|
3-5 |
0 |
0 |
0 |
0 |
0 |
|
3-7 |
23 |
48 |
36 |
35,8 |
17,4 |
|
4-6 |
15 |
35 |
20 |
21,7 |
10,54 |
|
4-7 |
12 |
45 |
28 |
28,2 |
30,25 |
|
5-7 |
17 |
35 |
25 |
25,4 |
9,0 |
|
6-7 |
20 |
38 |
27 |
27,7 |
9,0 |
|
7-8 |
9 |
27 |
16 |
16,7 |
9,0 |
|
I ffl Я н |
наиболее |
вероятное |
время |
выполнения |
работы. |
Тнв-продолжительность работы при нормальных и часто встречающихся условиях;
Т0- оптимистическая оценка - время, необходимое для выполнения работы при наиболее благоприятном стечении обстоятельств;
Тп - пессимистическая оценка - время, необходимое для выполнения работы при наиболее неблагоприятном стечении обстоятельств.
Вероятностные сетевые модели используются в системе PERT (метод оценки и обзора программ), в которой принято, что продолжительность работ подчиняется закону β -распределения, а время завершения всего комплекса работ - нормальному закону распределения. При этом применяется метод усреднения, позволяющий вычислить ожидаемую продолжительность работы Тож- временную оценку, которая выражается через вероятностные оценки и используется для расчета сетевой модели, и величину дисперсии (σ2) - меру неопределенности этой продолжительности, по которой оценивают надежность модели.
Оценкой продолжительности работы может быть нормативное время Тн, которое можно определить из выражения
![]()
Ожидаемое значение продолжительности работы рассчитывается либо по трем временным оценкам (Т0, Тнв, Тп) по формуле
Т0ж = (Т0 + 4Т„В + Тп)/6;
либо по двум оценкам (Т0, Тп) по формуле
Т0ж = (ЗТ0 + 2Тп)/5.
Дисперсия продолжительности работы определяется:
при трех временных оценках как
σ2=[(Тп-Т0)/6]2;
при двух оценках как
σ2 = [(Тп - Т0)/5]2.
Определяем продолжительность критического пути сетевого графика, принимая в качестве детерминированных оценок времени выполнения работ наиболее вероятную продолжительность Тнв (табл. 2).
Выполняем также расчет сетевого графика, используя оценки ожидаемой длительности работ Тож (табл. 3).

Табл.2

Табл.3
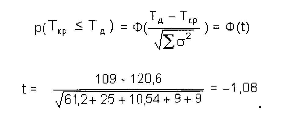
По полученным результаты расчетов, оцениваем вероятность выполнения комплекса работ за Тд= 109 дней (детерминированная продолжительность критического пути). Для этого находим значение аргумента t нормальной функции распределения O(t) по формуле
По
таблице значений O(t)
вероятность выполнения работ за 109 дней
составит при Ф(-1,08) р = 0,16 или 16%.
В системе PERT считается, что надежность сетевой модели должна быть в пределах 35-65% . Другими словами, проведенный в данном примере анализ надежности сетевой модели, показывает, что выполнение рассматриваемого проекта за 109 рабочих дней маловероятно.
При изменении директивного срока окончания работ, например до 115 рабочих дней, можно существенно повысить организационно-технологическую надежность проекта (Р = 66%).
Задачи увязки работ по возведению водопропускных сооружений, земляных работ по железнодорожной линии и притрассовой автодороги и работ по укладке верхнего строения пути. Технологическая увязка работ - определение рациональной последовательности, целесообразной степени совмещения и сроков выполнения строительных, монтажных и специальных работ за счет сокращения продолжительности работ, организации параллельных потоков работ, изменения технологической последовательности работ, применения более индустриальных конструкций новых материалов, более производительных строительных машин и оборудования, переноса сроков поставки технологического оборудования и др. мероприятий.
Строительство железной дороги состоит из 3-х периодов:
Подготовительный
Основной
Заключительный
Организация строительства притрассовой и железной дорог, является одной из определяющих в комплексе работ подготовительного периода. Такая увязка работ подготовительного и основного периодов обеспечивает нормальную подготовку и развертывание основных работ строительства железнодорожных магистралей на широком фронте, позволяет повысить темпы сооружения вышеуказанных дорог и в более ранние сроки приступить механизированной колонне к отсыпке основного земляного полотна линии. Работы по строительству земляного полотна железной и автомобильной дорог выполняются параллельно, с некоторым отставанием или с опережением. Возникает задача выбора оптимального соотношения темпов выполнения и увязки подготовительных и основных работ. Учитывая, что на вышеуказанных объектах могут быть задействованы одни и те же машины и техника, эта задача сводится к распределению имеющегося парка дорожно-строительных машин между строительством автодороги и сооружением земляного полотна линии.
В течение времени от 0 до I, производится сооружение автодороги. На протяжении участка длиной 1 - создается технологический отрыв фронта сооружения автодороги от возведения земляного полотна. Величина определяется из условий непрерывности ведения работ, техники безопасности и снижения или исключения риска срыва сроков окончания земляных работ.
Малые водопропускные сооружения возводятся в основном поточным методом.
Его преимущество заключается в постоянстве составов бригад, звеньев и техники при переходе от одного сооружения к другому без перерывов в работе. Из них создают специализированные потоки.
Следующим этапом после составления специализированных потоков является их объединение в объектный поток.
Основной принцип объединения - наложение этих потоков один на другой, поскольку отдельные виды труб, малые и средние мосты могут сооружаться практически одновременно разными организациями. Общим начальным условием выполнения работ является готовность притрассовой автомобильной дороги, по которой подвозятся материалы и конструкции. Общим условием завершения работ по постройке всех искусственных сооружений служит их готовность к отсыпке земляного полотна (трубы должны быть засыпаны грунтом на 0,5 м, подземные конструкции мостов гидроизолированы и т. д.).
Граничные условия - начало и окончание работ, их продолжительность - задаются проектом организации строительства.
В целом они должны быть учтены еще при проектировании специализированных потоков. В результате объединения (наложения один на другой) специализированных потоков получается объектный поток.
Верхними и нижними границами объектного потока являются частные потоки отдельных специализированных потоков. При этом граница объектного потока может переходить с граничных частных потоков одних специализированных потоков на другие. Обязательным условием объединения специализированных потоков должна быть общность пространственных параметров (темпов работ, соответствие срокам, установленным в ПОС)
Распределение и совмещение специализированных потоков вдоль строящейся железной дороги будет главной задачей организации объектного потока по постройке малых водопропускных сооружений.