При выборе датчика всегда обращают внимание на его характеристики. Существуют идеальные и реальные характеристики. Идеальные получают посредством вычисления через определенные соотношения и формулы. Выведенные характеристики сравнивают с полученными в реальных испытаниях. Чем меньше различия между идеальными и реальными характеристиками, тем точнее датчик.
При выборе оптического датчика следует обращать внимание на следующие характеристики:
· Чувствительность
· Выходная характеристика
· Рассеяние света
· Быстродействие (отклик датчика)
· Диапазон выходных значений
· Линейность
· Формат выходного сигнала
· Погрешность (относительная и абсолютная)
Рассмотрим оптический датчик OX A42A-31P-1500-LZ, описанный в разделе 2.
На рисунке 12 показана зависимость выходной
характеристики от времени при изменении входной характеристики.
Рис. 12. 3D модель работы датчика и его выходная
характеристика
На рисунке видно, что при попадании на входной луч
контролируемого объекта, выходной луч не сразу исчезает, это обусловлено тем,
что во время прерывания остаточный луч проходит расстояние, равное:
где d - расстояние от датчика до отражателя, s - ширина
объекта, а r - расстояние от датчика до объекта. При условии, что скорость
света:
, выведем время задержки:
Вычислим время задержки
при включении датчика, пренебрегая
временем коммутации, а также время отклика
при разрыве луча (объект будет
шириной s = 10 см, центр объекта - центральная точка прохождения луча). За
расстояние возьмем максимально возможное для датчика, написанное в таблице 2.
Время задержки в обоих случаях гораздо меньше задержки при коммутации, описанной в паспорте (таблица 2). Следовательно, основная причина - отклик электроники внутри датчика.
В формуле (1.1) и (1.2) показано, что чувствительность зависит от входной характеристики и выходной. В качестве входной в рассматриваемом датчике OX A42A-31P-1500-LZ используют свет инфракрасного спектра (λ=0.74 - 2.5 мкм для коротковолновой области, λ=2.5 - 50 мкм для средневолновой области, λ=50 - 2000 мкм для длинноволновой области). Выходная характеристика - импульсные сигналы.
Так как выходной характеристикой является значения 0 и
1 (0В или 5В), то чувствительность будет зависеть лишь от входной
характеристики, то есть от интенсивности.
где
- проводимость среды.
Следовательно, чувствительность зависит от
напряженности электрического поля E.
где d - расстояние, которое проходит свет.
Выходит, что чувствительность датчика зависит от расстояния до отражателя и напряжения. Так как обычно расстояние является постоянной величиной, то при изменении напряжения изменяется интенсивность светового излучения.
Тогда:
То есть, меняя силу тока (или/и длину до отражателя), мы сможем изменять интенсивность излучения.
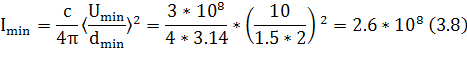
Чувствительность на данном датчике равна нулю, так как
выходная характеристика - только 0 и 1 (5В), так что изменение интенсивности
никак не повлияет на выходной сигнал. Поэтому стоит говорить лишь о пороге
чувствительности, т.е. минимальное значение интенсивности, при котором на
выходе будет единичный сигнал. Возьмем минимальное рабочее напряжение Umin=10В
DC, и максимально возможное расстояние dmin=1,5 м.

При вычислении скорости возможна погрешность времени t
из-за отклика датчика.
Эта погрешность не связана с погрешностью самого датчика, она нужна лишь для определения скорости или времени движения объекта.
Так как некоторые характеристики не рассматривались в
процессе анализа, составим общую таблицу анализа датчика:
Таблица 5 - Анализ характеристик оптического датчика
|
Параметр |
Данные |
|
Выходная характеристика |
Импульсные сигналы |
|
Диапазон выходных значений |
0 и 1 (5В) |
|
Отклик датчика |
10 нс |
|
Рассеяние света |
Минимально в воздушной среде. Чем плотнее среда, тем сильнее рассеяние |
|
Линейность |
Линейный, так как у выходного сигнала есть только два положения, поэтому характеристику можно аппроксимировать прямой y=5, а максимальная нелинейность равна 5. |
|
Чувствительность |
Нет |
|
Погрешность |
Для вычисления погрешности необходимо провести экспериментальное исследование. На основании этих данных вывести реальную погрешность данного устройства. Величина погрешности должна быть внесена в паспортные данные датчика, а результаты экспериментов не должны превышать допустимые погрешности. |
Датчик на основе эффекта Холла следует анализировать по следующим характеристикам:
· Линейность
· Входная и выходная характеристика
· Чувствительность
· Время отклика
· Зависимость от внешнего воздействия
· Погрешность
На рисунке 9 раздела 2 видно, что выходная характеристика датчика будет зависеть от того, где находится шестеренка. Если зуб колеса находится напротив датчика, напряжение на выходе усиливается.
Следовательно, выходная характеристика будет
выглядеть:
Рис. 13. Примерный график зависимости датчика
Зависимость будет вида:
По значению периода зависимости будет определяться
скорость вращения. Периодом будет являться то время, за которое шестеренка
повернется на один зуб. Зависимость от расстояния до датчика тоже будет иметь
периодичный характер. Пусть G1 - расстояние от датчика до зуба, а G2 -
расстояние от датчика до провала между зубцами.
Максимальное значение напряжение на выходе датчика
будет при минимальном расстоянии. Соединяя эти два выражения:
С помощью этой пропорции можно узнать, какое будет максимальное напряжение при минимальном расстоянии.
Чувствительность датчика будет также зависеть от
выходного напряжения:
где Rн - константа Холла, B - магнитная индукция, b -
толщина чувствительного элемента датчика. Меняя силу магнитного поля, будем
изменять чувствительность датчика.
АЦП датчика будет переводить сигнал с выхода датчика
из аналогового в цифровой и подавать на выход с АЦП значение периода вращения
шестеренки. Формула для определения угловой скорости:
Чтобы узнать линейное перемещение, например в
автомобиле, необходимо знать радиус колеса, которого крутит данная шестеренка.
Пусть n - количество зубьев у шестеренки (следовательно, такое же количество
впадин), тогда всю длину окружности можно поделить на n частей:
где R - радиус колеса автомобиля
В формуле (3.19) показана идеальная зависимость
движения шестеренки и колеса, без учета погрешности датчика. Высчитаем
пороговые значения для датчика, рассматриваемого в разделе 2 (таблица 3). Пусть
у шестеренки будет 20 зубцов, а радиус колеса автомобиля - стандарт R13 (287,6
мм), тогда:
Следовательно, данный датчик рассчитан на относительно небольшую скорость. Но если на шестеренке будет меньше зубцов, то он сможет детектировать более высокую скорость. Если частота вращения шестеренки будет ниже порога (50 Гц) или выше (2500 Гц), датчик не сможет уловить изменение периода, что приведет к неправильному выводу значения скорости.
Погрешность данного датчика может быть лишь в измерении периода движения шестеренки. Причины:
· Внешнее магнитное воздействие, приводящее к искажению выходной характеристики
· Отклик датчика на изменение
· Расстояние от зоны чувствительности до шестеренки не соответствует паспортным данным
Так как некоторые характеристики не рассматривались в
процессе анализа, составим общую таблицу анализа датчика:
Таблица 6 - Анализ характеристик датчика вращения
|
Параметр |
Данные |
|
Выходная характеристика |
Дискретное значение частоты |
|
Диапазон выходных значений |
От 50 Гц до 2500 Гц |
|
Отклик датчика |
Необходимо экспериментально проверить |
|
Линейность |
|
|
Чувствительность |
Зависит от магнитной индукции |
|
Погрешность |
Для вычисления погрешности необходимо провести экспериментальное исследование. На основании этих данных вывести реальную погрешность данного устройства. Величина погрешности должна быть внесена в паспортные данные датчика, а результаты экспериментов не должны превышать допустимые погрешности. Основные причины погрешности были написаны выше |
|
Примечания |
Датчик рассчитан на измерение относительно небольших изменений линейной скорости и изменений угловой скорости до 15700 радиан/секунду. |
Сейчас очень часто применяют устройства, детектирующие
видимое (кажущееся) ускорение тела. Акселерометры используют во многих цифровых
приборах, где необходимо отслеживать ускорение. Примеры были приведены в главе
2.3.
Рис. 14. Схема работы акселерометра
Хотя устройство акселерометра довольно сложное и требует точной сборки, анализ будет происходить всего по четырем характеристикам:
· Чувствительность
· Погрешность
· Смещение при нулевом ускорении
· Диапазон измеряемого ускорения
Ускорение будет рассчитываться, согласно второму
закону Ньютона:
Выходным сигналом датчика будет являться напряжение,
пропорциональное ускорению. Чувствительность датчика определяется как выходной
сигнал, соответствующий ускорению в один g.
Диапазон датчика, рассмотренного в главе 2.3, равен:
где Amin и Amax - минимальное и максимальное измеряемое значение ускорения в g.
Следовательно, чувствительностью этого датчика будет диапазон 1,798-2,8 В. Прежде всего, чувствительность будет зависеть от технологии производства датчика, а также пределом измеряемого ускорения, напряжением питания.
Помимо осевой чувствительности, имеется еще и величина поперечной чувствительности, которая определяется выходным сигналом при подаче входного ускорения по направлениям, перпендикулярным основной оси.
Движение подвижной части конструкции возможно и тогда, когда ускорения нет, поэтому вводят такое понятие, как напряжение смещения при нулевом ускорении, то есть некий диапазон, который датчиком не будет восприниматься (порог чувствительности).
Погрешность не должна превышать 0,01 от g. То есть не более 1%, приходящийся на одну g. Причины погрешности:
· Механические неточности (заусенцы на демпфере, растяжение нити)
· Воздействие пружины на тело массой M внутри акселерометра, т.к. у нее нелинейная характеристика
· Погрешности в преобразовании ускорения в величину соответствующего напряжения
Вместо пружины целесообразнее использовать пьезодатчик
силы с высокой чувствительностью. Тогда вместо погрешности пружины может
добавиться погрешность датчика, но она будет значительно меньше, так как датчик
будет обладать большей чувствительностью, чем пружина. Этот датчик будет мерить
сосредоточенную нагрузку, что увеличивает линейность выходной характеристики
благодаря конструкции. Можно еще уменьшить погрешность, используя в качестве
упругого элемента датчика балку равного сопротивления.
В данной курсовой работе рассматривались общий принцип работы датчиков, более углубленно - датчики скорости и механическая модель работы датчика ускорения (акселерометра). Были подробно рассмотрены два принципа работы датчика скорости - оптический и на эффекте Холла, один принцип работы акселерометра - емкостной.
При анализе датчиков определилось, что оптический датчик возможно использовать в качестве датчика скорости и длины (в курсовой не рассматривался оптический датчик для определения скорости, использующий принцип отражения от объекта, вычисляя разницу во времени между импульсами), а также в качестве детектора обнаружения. Выяснили, что оптический датчик обладает высоким быстродействием, так как в нем используется световое излучение. Для данного датчика целесообразно использовать цифровой выход с выставлением пороговой чувствительности, так как световые волны различного спектра присутствуют во внешней среде и погрешность от регистрирования этих сигналов может негативно отразиться на выходной характеристике нецифрового сигнала.