Материал: Методические основы анализа основных финансовых показателей строительной организации

Внимание! Если размещение файла нарушает Ваши авторские права, то обязательно сообщите нам

Для оценки и анализа экономической эффективности строительного производства применяются так же дифференцированные показатели эффективности. Под этими показателями подразумевается эффективность использования какого-либо одного вида затрат и ресурсов. К ним относятся: производительность труда, фондоотдача или фондоёмкость, оборот дебиторской задолженности, оборот денежных средств. Дифференцированные показатели эффективности рассчитываются как отношение выпуска продукции к отдельным видам затрат или ресурсов или наоборот - затрат или ресурсов к выпуску продукции.

Производительность труда является одним из важнейших показателей эффективности строительного производства. Применение этого показателя позволяет оценить эффективность труда, как отдельного работника, так и коллектива.

Производительность труда является показателем экономического роста, то есть показателем, обеспечивающим рост реального продукта и дохода. Увеличение общественного продукта на душу населения означает повышение уровня жизни.

При натуральном методе исчисления выработки объем выполненных работ выражается в натуральных единицах (штуках, тоннах, метрах). Этот метод наиболее наглядно характеризует уровень производительности труда, однако он применим только для однородной продукции [8-10].

При условно-натуральном методе исчисления выработки объем выполненных работ выражается в условно-натуральных единицах. Условно-натуральный метод применим для расчета показателя уровня производительности труда при выпуске неоднородной, но аналогичной продукции. Трудовой метод измерения производительности труда предполагает, что объем выполненных работ, измеряется в отработанных нормо-часах. Трудовой метод применим ко всем видам продукции, независимо от степени ее готовности и широко используется при изучении относительного изменения производительности труда. Однако данный метод требует стабильности применяемых норм, в то время как последние по мере совершенствования организационно-технических условий труда постоянно изменяются.

На практике наиболее распространенным является стоимостной метод измерения производительности труда, основанный на использовании стоимостных показателей объема произведенной продукции. Преимущество этого метода состоит в возможности соизмерения разнородной продукции с затратами на ее изготовление как в рамках одного предприятия, отрасли, так и в масштабах всей страны.

Важным показателем эффективности строительного производства является фондоотдача основных фондов, определяемая как отношение стоимости продукции (валовой, товарной или реализованной) к среднегодовой стоимости основных фондов.

Фондоотдача показывает общую отдачу от использования каждого рубля, затраченного на основные производственные фонды, то есть эффективность этого вложения средств.

Следующий показатель - фондоёмкость. Эта величина, обратная фондоотдаче. Она рассчитывается как отношение стоимости основных производственных фондов к объёму выпускаемой продукции.

Показатель фондоёмкости характеризует уровень денежных средств, вложенных в основные фонды для производства продукции заданной величины.

Так же иногда необходимо рассчитать оборачиваемость оборотных средств, дебиторской задолженности, материальных запасов и денежных средств. Это может помочь выявить дополнительные резервов эффективности.

Важнейшими показателями конечных результатов и совокупной эффективности строительного производства в условиях рыночной экономики являются себестоимость продукции, прибыль и рентабельность (прибыльность). Управление рентабельностью (планирование, обоснование и анализ-контроль) находятся в центре экономической деятельности предприятий, работающих на рынок. Уровень рентабельности зависит прежде всего от величины прибыли и размера затрат и применяемых ресурсов.

Оценка рентабельности предприятия позволяет выявить большое число тенденций развития, призвана указать руководству предприятия пути дальнейшего успешного развития, указывает на ошибки в хозяйственной деятельности, а также выявить резервы роста прибыли, что, в конечном счете, позволяет предприятию более успешно осуществлять свою деятельность.

Рентабельность - это относительный показатель эффективности производства. Он отражает уровень прибыльности относительно определенной базы.

Главная задача предприятия в условиях рыночной экономики является всемерное удовлетворение потребностей народного хозяйства и граждан в его продукции, работах и услугах с высокими потребительскими свойствами и качеством при минимальных затратах, увеличение вклада в ускорение социально-экономического развития страны. Для осуществления своей главной задачи предприятие обеспечивает увеличение рентабельности.

Предприятие рентабельно, если суммы выручки от реализации продукции достаточны не только для покрытия затрат на производство и реализацию, но и для образования прибыли [3-11].

Прибыль в условиях рынка - это конечная цель и движущий мотив производства на предприятии. Оптимальным дополнением к показателю прибыли явилось бы выделение, в том числе удельного веса увеличения прибыли, полученной за счет снижения себестоимости. Следует также отметить, что по мере формирования цивилизованных рыночных отношений у предприятия останется лишь один путь увеличения прибыли - увеличение объема выпуска продукции, снижение затрат на ее производство.

В процессе анализа эффективности функционирования предприятий широко используются следующие виды показателей рентабельности.

Общая рентабельность предприятия определяется отношением прибыли к среднегодовой стоимости основных производственных фондов и нормируемых оборотных средств и рассчитывается по формуле:

Факторы роста показателя рентабельности зависят от единых экономических явлений и процессов. Это прежде всего:

совершенствование системы управления строительным производством в условиях рыночной экономики на основе преодоления кризиса в финансово-кредитной и денежной системах;

повышение эффективности использования ресурсов предприятиями на основе стабилизации взаимных расчетов и системы расчетно-платежных отношений;

индексация оборотных средств и четкое определение источников их формирования.

Снижение себестоимости должно стать главным условием роста прибыльности и рентабельности строительного производства.

Глава 2. Методические основы анализа основных финансовых показателей строительной организации


2.1 Содержание и основные компоненты анализа финансового состояния


Эффективность хозяйственной деятельности предприятия зависит от способности предприятия финансировать свою деятельность за счет собственных, так и привлеченных и заемных средств. Насколько предприятие способно финансировать свою деятельность, можно установить с помощью анализа финансового состояния. Финансовое состояние характеризуется:

·        обеспеченностью финансовыми ресурсами, необходимыми для функционирования предприятия;

·        размещением финансовых ресурсов;

·        платежеспособностью;

·        финансовой устойчивостью;

·        эффективным использованием финансовых ресурсов и деловой активностью.

Таким образом, финансовое состояние представляет собой совокупность показателей, отражающих наличие, размещение и использование финансовых ресурсов предприятия [4-5].

Основные направления анализа финансового состояния:

. Анализ баланса:

·        анализ актива баланса;

·        анализ пассива баланса;

·        анализ ликвидности баланса.

2. Анализ финансовых коэффициентов:

·        анализ платежеспособности;

·        анализ финансовой независимости и устойчивости.

3. Анализ финансовых результатов деятельности:

·        анализ рентабельности;

·        анализ деловой активности.

 

2.2 Анализ баланса


Анализ актива баланса содержит информацию о вложении капитала предприятия в конкретное имущество и материальные ценности. Рациональное размещение капитала предприятия имеет значение для эффективной деятельности предприятия в целом.

Анализ актива баланса включает:

·        анализ изменения в составе актива баланса;

·        абсолютное и относительное изменение отдельных статей актива (горизонтальный анализ);

·        выявление тенденции в динамике статей актива;

·        анализ изменения структуры актива баланса (вертикальный анализ).

Если в активе баланса отражается имущество предприятия, то в пассиве - источники его формирования.

Анализ пассива баланса включает:

·        анализ изменения в составе пассива баланса;

·        абсолютное и относительное изменение отдельных статей пассива (горизонтальный анализ);

·        выявление тенденции в динамике разделов и статей пассива;

·        анализ изменения структуры пассива баланса (вертикальный анализ).

Ликвидность баланса характеризует степень покрытия обязательств на предприятия (пассив баланса) его активами (актив баланса), срок превращения которых в денежную наличность соответствует сроку погашения платежных обязательств.

С целью оценки ликвидности баланса все активы группируют по степени ликвидности, а обязательства - по срочности их погашения. Степень ликвидности активов зависит от скорости превращения их в денежные средства. Чем быстрее активы превращаются в деньги, тем выше степень их ликвидности. Активы предприятия по степени их ликвидности группируют в следующие группы.

А1. Наиболее ликвидные активы: денежные средства и краткосрочные финансовые вложения, или по строкам баланса - стр.1250 + стр.1240.

А2. Быстро реализуемые активы: Дебиторская задолженность или стр.1230.

А3. Медленно реализуемые активы: запасы, налог на добавленную стоимость, прочие оборотные активы, или по строкам баланса - стр.1210 + стр.1220 + стр.1260.

А4. Труднореализуемые активы: внеоборотные активы, или стр.1100

Пассивы баланса группируют по степени срочности их оплаты.

П1. Наиболее срочные обязательства: кредиторская задолженность, или стр.1520.

П2. Краткосрочные пассивы: краткосрочные займы и кредиты, задолженность участникам по выплате доходов, прочие краткосрочные обязательств, или стр.1510 + стр.1550.

П3. Долгосрочные пассивы: долгосрочные обязательства, доходы будущих периодов, резервы предстоящих расходов, или стр.1400 + стр.1530 + стр.1540.

П4. Постоянные (устойчивые пассивы): капитал и резервы, или стр.1300.

Для определения ликвидности баланса необходимо активы и пассивы сопоставить. Баланс считается абсолютно ликвидным, если выполняются следующие соотношения:

А 1

П 1

А 2

П 2

А 3

П 3

 А 4

П 4


Если одно или несколько неравенств не выполняются, то ликвидность баланса не является абсолютной.

 

2.3 Анализ финансовых коэффициентов


Платежеспособность характеризует способность предприятия погашать свои обязательства за счет активов. Различают текущую и общую платежеспособность.

Текущая платежеспособность - это способность предприятия погашать свои платежные обязательства за счет оборотных активов, а общая платежеспособность - за счет оборотных и внеоборотных активов.

Для оценки платежеспособности предприятия используются показатели:

·        коэффициент абсолютной ликвидности;

·        коэффициент быстрой ликвидности;

·        коэффициент текущей ликвидности;

·        коэффициент ликвидности товарно - материальных ценностей;

·        коэффициент общей платежеспособности.

Коэффициент абсолютной ликвидности (Ка. л.) показывает, какая часть краткосрочных обязательств (КО) может быть погашена наиболее ликвидными оборотными активами: денежными средствами (ДС) и краткосрочными финансовыми вложениями (КФВ). Коэффициент абсолютной ликвидности рассчитывается по формуле:

 (2.1)

Рекомендуемое значение Ка. л. ≥ 0,2 - 0,5. Это означает, что 20 - 50% краткосрочных обязательств должно покрываться за счет денежных средств и краткосрочных финансовых вложений [11].

Коэффициент быстрой ликвидности (Кб. л.) показывает, какую часть краткосрочных обязательств предприятие может покрыть за счет денежных средств, краткосрочных финансовых вложений и при условии полного погашения краткосрочной дебиторской задолженности (КДЗ). Коэффициент быстрой ликвидности рассчитывается по формуле:

 (2.2)

Рекомендуемое значение Кб. л. ≥ 0,7 - 1,0. Это означает, что 70 - 100% краткосрочных обязательств должно покрываться за счет денежных средств, краткосрочных финансовых вложений и при условии полного погашения краткосрочной дебиторской задолженности.

Коэффициент текущей ликвидности (Кт. л.) показывает, в какой степени предприятие может покрыть краткосрочные обязательства за счет всех оборотных активов (ОА). При расчете данного коэффициента учитываются денежные средства, краткосрочные финансовые вложения, вся дебиторская задолженность, налог на добавленную стоимость, запасы, прочие оборотные активы, т.е. все оборотные активы. Коэффициент текущей ликвидности рассчитывается по формуле:

 (2.3)

Рекомендуемое значение Кт. л. ≥ 2 (оптимально, если Кт. л. ≥ 2 - 2,5). Это означает, что оборотные активы должны в 2 - 2,5 раза превышать краткосрочные обязательства предприятия. В учебниках и учебных пособиях по финансовому анализу встречается и другое рекомендуемое значение данного показателя - от 1,0 до 3,0.

Нижняя граница данного показателя не может быть меньше единицы. Оборотных активов должно быть, по крайней мере, достаточно, чтобы погасить все краткосрочные обязательства.

В соответствии с Методическими положениями по оценке финансового состояния предприятий (Распоряжение Федерального управления по делам о несостоятельности (банкротстве) от 12 августа 1994 г. № 31-р) и установлению неудовлетворительной структуры баланса структура баланса предприятия признается неудовлетворительной, если коэффициент текущей ликвидности менее двух.

Коэффициент ликвидности товарно - материальных ценностей (Кл. т. м. ц.) показывает, какую часть краткосрочных обязательств предприятие может погасить за счет реализации запасов (З). При расчете данного коэффициента учитываются запасы. Коэффициент ликвидности товарно-материальных ценностей рассчитывается по формуле:

 (2.4)

Значение данного коэффициента будет зависит от отраслевой принадлежности предприятия. Чаще всего Кл. т. м. ц. = 0,5 - 0,7.

Коэффициент общей платежеспособности (Ко. п.) характеризует способность предприятия покрыть все свои обязательства, как краткосрочные (КО), так и долгосрочные за счет всех активов (ИА). Коэффициент общей платежеспособности рассчитывается по формуле:

 (2.5)

Рекомендуемое значение коэффициента общей платежеспособности Ко. п ≥ 2. Это означает, что актив баланса должен в 2 и более раз превышать все обязательства предприятия.

Согласно Методическим положениям по оценке финансового состояния предприятий, если коэффициент текущей ликвидности менее двух, то рассчитывается коэффициент восстановления платежеспособности:

 (2.6)

Если Кв. п. ≥ 1, то предприятие в ближайшее время (6 месяцев) восстановит свою платежеспособность.

Если К т. л. ≥ 2, то предприятие признается платежеспособным и в этом случае рассчитывается коэффициент утраты платежеспособности:

 (2.7)

Если Кт. л. ≥ 1, то предприятие в ближайшие 3 месяца не утратит свою платежеспособность.

Финансовая независимость характеризует зависимость предприятия от внешних источников финансирования и оценивается следующими показателями:

·        коэффициент автономии;

·        коэффициент соотношения заемных и собственных средств;

·        наличие собственного оборотного капитала;

·        коэффициент обеспеченности оборотного капитала собственными средствами;

·        коэффициент маневренности собственных средств предприятия;

·        коэффициент финансовой устойчивости.

Коэффициент автономии (Ка) показывает, сколько собственного капитала (СК) приходится на 1 руб. всех источников средств предприятия (ИС). Коэффициент автономии рассчитывается по формуле:

 (2.8)

Рекомендуемое значение: Ка ≥ 0,5. Это означает, что на 1 руб. всех источников средств как минимум 50 коп. должно быть собственных. Рост коэффициента свидетельствует о возрастании финансовой независимости предприятия [12].

Коэффициент соотношения заемных и собственных средств (Кз/с) показывает, сколько заемных средств (ЗС) предприятие привлекает на 1 руб. собственного капитала (СК). Коэффициент соотношения заемных и собственных средств рассчитывается по формуле:

 (2.9)

Рекомендуемое значение: Кз/с ≤ 1. Это означает, что на 1 руб. собственного капитала предприятие должно привлекать не более 1 руб. заемных средств. Снижение данного коэффициента свидетельствует об уменьшении финансовой зависимости предприятия от внешних источников финансирования.

Собственный оборотный капитал (СОК) - собственные оборотные средства (СОС), или чистые оборотные активы (ЧОА), - показывает, какая сумма оборотных активов сформирована за счет собственного капитала. Внеоборотные и оборотные активы имеют свои источники формирования. Внеоборотные активы (ВА) формируются, как правило, за счет собственного капитала и за счет долгосрочных заемных средств (долгосрочных обязательств-ДО). Оборотные активы формируются как за счет собственного капитала, так и за счет заемных средств: краткосрочных кредитов и займов, кредиторской задолженности и прочих краткосрочных обязательств (КО). Величину собственного оборотного капитала рассчитывают по формуле:

СОК = (СК + ДО) - ВА= (стр.1300 + стр.1400) - стр.1100 (2.10)

Коэффициент обеспеченности оборотного капитала собственными средствами (Ксок) показывает, какая часть оборотного капитала формируется за счет собственного капитала. Коэффициент обеспеченности оборотного капитала собственными средствами рассчитывается по формуле:

 (2.11)

Рекомендуемое значение: Ксок ≥ 0,1 или 10 %. Это значит, что как минимум 10 % оборотных активов должно быть сформировано за счет собственного капитала.

Чем больше значение данного показателя, тем лучше финансовое состояние предприятия (лучше, если Ксок = 0,5), тем больше у предприятия возможности проводить независимую финансовую политику.

В соответствии с Методическими положениями по оценке финансового состояния предприятий структура баланса признается неудовлетворительной, если Ксок ≤ 0,1.

Коэффициент маневренности собственных средств предприятия (Км) показывает, какая часть собственного капитала используется для финансирования текущей деятельности (оборотных активов), а какая - для финансирования долгосрочных активов (внеоборотных активов). Коэффициент маневренности собственных средств предприятия рассчитывается по формуле:

 (2.1)

Рекомендуемое значение: Км ≥ 0,2 - 0,5 или 20 - 50 %. Это означает, что от 20 до 50 % собственного капитала должно быть направлено на финансирование текущей деятельности (оборотных активов). Данный показатель характеризует степень мобильности использования собственных средств предприятия.

Коэффициент финансовой устойчивости (Кф. у.) показывает, какая часть активов финансируется за счет собственного капитала и долгосрочных обязательств, т.е. устойчивых пассивов. Коэффициент финансовой устойчивости рассчитывается по формуле:

 (2.13)

Чем больше значение данного показателя, тем устойчивее финансовое состояние предприятия. В зарубежной практике Кф. у = 0,75 - 0,9.

От 75 % до 90 % активов должно формироваться за счет собственного капитала и долгосрочных обязательств, чтобы обеспечить предприятию устойчивое финансирование хозяйственной деятельности.

Анализ финансовой независимости следует дополнить определением типа финансовой ситуации. Для этого необходимо определить излишек или недостаток источников средств для формирования запасов [1,3,6,].

Для характеристики источников формирования запасов и определения типа финансовой ситуации используются четыре показателя:

) запасы (З), строка баланса - 1210

) сумма оборотных средств, сформированная только с учетом собственного капитала (ОАск):

ОАск = СК - ВА = стр.1300 - стр.1100 (2.14)

) сумма оборотных средств, сформированных как с учетом собственного капитала, так и с учетом долгосрочных обязательств - собственный оборотный капитал (СОК):

СОК = (СК + ДО) - ВА = (стр.1300 + стр.1400) - стр.1100 (2.15)

) общая величина основных источников формирования запасов (ВИ):

ВИ = (СК + ДО + ККЗ) - ВА = (стр.1300+стр.1400+стр.1510) - стр.1100, (2.16)

где ККЗ - краткосрочные кредиты и займы.

На основе данных показателей определяется обеспеченность запасов источниками формирования (ИФЗ).

. Излишек (+) или недостаток (-) оборотных средств (сформированных только с учетом собственного капитала) для формирования запасов:

ИФЗск = ОАск - З, (2.17)

где

ИФЗск - источники формирования запасов за счет собственного капитала.

. Излишек (+) или недостаток (-) собственного оборотного капитала для формирования запасов:

ИФЗсок = СОК - З (2.18)

. Излишек (+) или недостаток (-) общей величины источников формирования запасов:

ИФЗви = ВИ - З (2.19)

Определим тип финансовой ситуации. Возможны четыре типа финансовой ситуации.

Таблица 2.1

Сводная таблица показателей по типам финансовых ситуаций

Показатель

Тип финансовой ситуации


абсолютная устойчивость

нормальная устойчивость

неустойчивое состояние

кризисное состояние

ИФЗск≥ 0≤ 0≤ 0≤ 0





ИФЗсок≥ 0≥ 0≤ 0≤ 0





ИФЗви≥ 0≥ 0≥ 0≤ 0





2.4 Анализ финансовых результатов деятельности


Рентабельность характеризует уровень прибыльности деятельности предприятия. Рассчитывается рентабельность на основе показателей прибыли.

Для анализа динамики рентабельности рассчитывают:

·        продукции (работ);

·        продаж;

·        капитала;

·        собственного капитала;

·        рентабельность.

Рентабельность продукции (работ) (Рп) - это отношение прибыли от продаж к затратам на производство и реализацию продукции (работ):

 (2.20)

Рентабельность продукции (работ) показывает, сколько прибыли от продаж приходится на 1 руб. затрат на производство и реализацию продукции (работ).

Рентабельность продаж (Рпр) - это отношение прибыли от продаж к выручке:

 (2.21)

Рентабельность продаж показывает, сколько прибыли от продаж приходится на 1 руб. выручки.

Рентабельность капитала (Рк) - это отношение чистой прибыли к среднегодовой стоимости имущества предприятия (актива баланса). Рентабельность капитала рассчитывается по формуле:

 (2.22)

Рентабельность капитала показывает, сколько прибыли до налогообложения (или чистой прибыли) приходится на 1 руб. капитала или имущества предприятия.

Рентабельность оборотного капитала (Рок) - это отношение чистой прибыли к среднегодовой стоимости оборотного капитала предприятия:

 (2.23)

Рентабельность оборотного капитала показывает, сколько прибыли до налогообложения (или чистой прибыли) приходится на 1 руб. капитала, вложенного в оборотные активы (или в текущую деятельность).

Рентабельность собственного капитала (Рск) - это отношение чистой прибыли к среднегодовой стоимости собственного капитала предприятия:

 (2.24)

Рентабельность собственного капитала показывает, сколько прибыли до налогообложения (или чистой прибыли) предприятие получает на 1 руб. собственного капитала [4,8,11].

Рентабельность (Р) - это отношение чистой прибыли к выручке:

 (2.25)

Является итоговой характеристикой прибыльности, показывает долю прибыли в каждом заработанном рубле.

·        коэффициент оборачиваемости капитала;

·        коэффициент оборачиваемости оборотных средств;

·        коэффициент оборачиваемости материальных оборотных средств;

·        коэффициент оборачиваемости дебиторской задолженности;

·        средний срок оборота дебиторской задолженности;

·        коэффициент оборачиваемости кредиторской задолженности;

·        средний срок оборота кредиторской задолженности;

·        фондоотдача внеоборотных активов;

·        коэффициент оборачиваемости собственного капитала.

Коэффициент оборачиваемости капитала () - это отношение выручки от реализации продукции (В) к средней за период стоимости капитала предприятия () (итог баланса):

 (2.26)

Коэффициент оборачиваемости капитала показывает, сколько оборотов совершает капитал предприятия за анализируемый период, т.е. скорость оборота капитала. Положительно оценивается рост данного показателя, если только он не вызван ростом цен.

Коэффициент оборачиваемости оборотных активов () - это отношение выручки от реализации продукции к средней за период стоимости оборотного капитала предприятия ():

 (2.27)

 (2.28)

ОАн. п. - стоимость оборотных активов на начало периода (если анализируемый период год, то это стр.1200 годового баланса на начало года);

ОАк. п. - стоимость оборотных активов на конец периода (если анализируемый период год, то это стр.1200 годового баланса на конец года).

Коэффициент оборачиваемости оборотных активов показывает, сколько оборотов совершает оборотный капитал за период, т.е. скорость оборота оборотного капитала. Положительно оценивается рост данного показателя, если он сочетается с ростом оборачиваемости запасов.

Коэффициент оборачиваемости материальных оборотных средств () - это отношение выручки от реализации продукции к средней за период стоимости материальных оборотных средств ():

 (2.29)

 (2.30)

МОС н. п. - стоимость материальных оборотных средств на начало периода (стр.1210 баланса - запасы на начало периода);

МОС к. п. - стоимость материальных оборотных средств на конец периода (стр.1210 баланса - запасы на конец периода).

Коэффициент оборачиваемости материальных оборотных средств показывает, сколько оборотов совершают материальные оборотные средства (запасы) за анализируемый период, т.е. скорость оборота материальных оборотных средств.

Положительно оценивается рост показателя. Снижение может свидетельствовать об относительном увеличении запасов сырья и материалов, незавершенного производства или снижении спроса на готовую продукцию.

Коэффициент оборачиваемости дебиторской задолженности () - это отношение выручки от реализации продукции к средней за период величине дебиторской задолженности ():

 (2.31)

 (2.32)

ДЗ н. п. - дебиторская задолженность на начало периода (стр.1230 на начало периода);

ДЗ к. п. - дебиторская задолженность на конец периода (стр.1230 на конец периода).

Коэффициент оборачиваемости дебиторской задолженности показывает, сколько оборотов совершает дебиторская задолженность за анализируемый период, т.е. скорость оборота дебиторской задолженности. Рост данного коэффициента свидетельствует о сокращении продаж в кредит, а снижение - об увеличении коммерческого кредита, предоставляемого покупателям.

Средний срок оборота дебиторской задолженности (Ддз) - средний срок погашения дебиторской задолженности в днях, определяемый по формуле:

 (2.33)

Положительно оценивается снижение данного показателя.

Коэффициент оборачиваемости кредиторской задолженности () - это отношение выручки от реализации продукции к средней за период величине кредиторской задолженности ():

 (2.34)

 (2.35)

КЗ н. п. - кредиторская задолженность на начало периода (стр.1520 на начало периода);

КЗ к. п. - кредиторская задолженность на конец периода (стр.1520 на конец периода).

Коэффициент оборачиваемости кредиторской задолженности показывает, сколько оборотов совершает кредиторская задолженность за анализируемый период, т.е. скорость оборота кредиторской задолженности. Рост данного коэффициента означает увеличение скорости оплаты задолженности предприятия, а снижение - рост покупок в кредит [5,8,16].

Средний срок оборота кредиторской задолженности (Дкз) - средний срок погашения кредиторской задолженности в днях, определяемый по формуле:

 (2.36)

Данный показатель отражает средний срок возврата долгов предприятия (кредиторской задолженности).

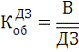
Фондоотдача внеоборотных активов () - это отношение выручки от реализации продукции к средней за период величине внеоборотных активов (). Рассчитывается по форме:

 (2.37)

 (2.38)

ВА н. п. - внеоборотные активы на начало периода (стр.1100 на начало периода);

ВА к. п. - внеоборотные активы на конец периода (стр.1100 на конец периода).

Фондоотдача внеоборотных активов показывает, сколько выручки от реализации приходится на 1 руб. внеоборотных активов и характеризует эффективность внеоборотных активов.

Коэффициент оборачиваемости собственного капитала () - отношение выручки от реализации продукции к средней за период величине собственного капитала предприятия ():

 (2.39)

 (2.40)

СК н. п. - собственный капитал по балансу на начало периода (стр.1300 на начало периода);

СК к. п. - собственный капитал по балансу на конец периода (стр.1300 на конец периода).

Данный показатель отражает скорость оборота собственного капитала. Рост выручки, как правило, должен приводить к повышению данного показателя, так как этот рост в значительной степени обеспечивается кредитами. Следовательно, доля собственного капитала в общей сумме источников должна снижаться.

Глава 3. Анализ финансовой деятельности строительной организации на примере ЗАО "Слав-строй" и пути ее повышения


3.1 Общая характеристика ЗАО "Слав-строй"


ЗАО "Слав-строй" - это крупная инвестиционно-строительная структура, самостоятельно осуществляющая весь цикл строительных работ. Специализируется в различных направлениях капитального строительства:

устройство каркаса зданий из монолитного железобетона;

монтаж зданий и сооружений из сборных железобетонных элементов различных типов серий;

устройство наружных ограждающих конструкций из мелкоштучных элементов;

фасадные работы;

устройство кровель различного вида и конфигураций и много другое - тем самым охватывая полный комплекс строительства - от нулевого цикла до сдачи их в эксплуатацию.

ЗАО "Слав-строй" входит в десятку крупнейших строительных компаний России и занимает более 5, 5 % московского рынка строительства.

В настоящее время структура ЗАО "Слав-строй" представляет собой группу из нескольких компаний: ООО "СитиСтрой-15", ООО "СитиКран", ООО "Монтажстрой", ООО "ГорСтрой-15", ООО "ИнжСтрой-15" (г. Астрахань), ООО "ЭнергоМонтажАвтоматика" (г. Краснодар), ООО "СтандартКонтинент" (г. Ставрополь), ООО "Ритрес", ЧОП "Легион-15".

Успешному продвижению "Слав-строй" на общероссийском рынке способствует прочно закрепившаяся за компанией репутация квалифицированного строителя и надежного партнера. Группа компаний пользуется заслуженным доверием у государственных и финансовых институтов.

С 1997 года компания пережила не один финансовый кризис и не только устояла, но и увеличила свои объемы, успешно сотрудничая с такими организациями как:

. Федеральные министерства и правительства городов:

Министерство регионального развития Российской Федерации;

Министерство обороны Российской Федерации;

Министерство спорта, туризма и молодежной политики Российской Федерации;

Правительство г. Москвы;

Администрация г. Астрахани;

Администрация г. Балашиха.

. Городские департаменты и муниципальные предприятия:

Департамент городского заказа капитального строительства г. Москвы;

Департамент градостроительной политики, развития и реконструкции города Москвы;

Департамент дорожно-коммунального хозяйства и благоустройства г. Москвы;

ГУП "Управление капитального ремонта и строительства Департамента здравоохранения г. Москвы";

УПП "Главмосстрой";

Муниципальное казенное предприятие г. Астрахань "Дирекция по капитальному строительству";

ГУП "Мосгаз";

МУП "УЕЗ" городского округа Балашиха.

. Крупнейшие Российские и зарубежные компании:

ЗАО "Москапстрой";

ЗАО "Штрабаг";

ОАО "Цандер Фесилити Инжиниринг" - АК "Алроса";

ОАО "Главмосстрой";

ГК "Уникор";

ГК "ПИК" (ДСК-2 и ДСК-3);

ЗАО "СУ-155";

ОАО "Автофрамос".

Сегодня это крупная инвестиционно-строительная Группа Компаний "Слав-строй", способная самостоятельно осуществлять весь цикл строительных работ: разработка проектно-сметной документации - согласование - инвестирование - строительство - сдача "под ключ".

Компании, входящие в "Слав-строй", выполняют следующие функции:

проектирование: разработка буклета, разработка стадии "П", рабочее проектирование;

экспертиза: защита и согласование проекта в инстанциях, экспертиза в органах Экспертизы;

оценка стоимости: сводный сметный расчет, локальные сметы, оценка рентабельности проекта

инвестирование: привлечение финансовых средств для проекта, собственное финансирование, соинвестирование,

строительство: подготовка площадки (освоение и снос), строительство Зданий любого назначения и сложности, устройство внутренних инженерных систем, строительство наружных инженерных коммуникаций, монтаж оборудования, благоустройство территории, комплектование актов и исполнительной документации, сдача объекта, гарантийное обслуживание;

комплектация оборудованием: подбор, закупка, доставка оборудования, передача в монтаж;

заселение и эксплуатация: индивидуальная работа с клиентами при заселении объекта, формирование и обучение сотрудников службы эксплуатации, эксплуатация

реализация: реализация жилых и нежилых помещений, юридическое сопровождение оформления собственности.

3.2 Анализ финансового состояния ЗАО "Слав-строй"


Таблица 1 - Анализ структуры активов и пассивов

На начало периода 31.03.12.

Актив

Тыс. руб.

Пассив

Тыс. руб.

Оборотные средства

921 924

Краткосрочные обязательства

47 000

Основные средства

12 558

Долгосрочные обязательства

-

Другие

0

Собственный капитал

2 158

Сумма активов

934 482

Сумма пассивов

49 158






На конец периода 31.03.13.

Актив

Тыс. руб.

Пассив

Тыс. руб.

Оборотные средства

1 755 669

Краткосрочные обязательства

349 161

Основные средства

32 480

Долгосрочные обязательства

600 000

Другие

0

Собственный капитал

5 774

Сумма активов

1 788 149

Сумма пассивов

954 935


На конец периода 31.03.14

Актив

Тыс. руб.

Пассив

Тыс. руб.

Оборотные средства

3 426 487

Краткосрочные обязательства

833 404

Основные средства

35 756

Долгосрочные обязательства

600 000

Другие

0

Собственный капитал

9 978

Сумма активов

3 462 243

Сумма пассивов

1 443 382


Организация финансово устойчива, так как её оборотные средства легко позволяют выплатить краткосрочный заём, если подобное требование будет предъявлено.

Общая сумма её активов свободно покрывает сумму краткосрочных и долгосрочных задолженностей, при этом собственный капитал положительный.

Собственный капитал положительный, и к концу 2014 г. т.к. он увеличился и составляет 9 978 тыс. руб. Также за рассматриваемый период увеличение наблюдается по стоимости оборотных средств на сумму 1 670 818 т. р.

Таблица 2 - Финансовая устойчивость предприятия

На 2013 год.

Показатель

Начало периода тыс. руб.

Конец периода тыс. руб.

Отклонение тыс. руб.

СОС

-11 551

-26 857

-15 306

СДЗС

-11 551

573 143

584 694

ООС

308 512

986 413

677 901

ЗИЗ

4 386

214 098

209 712

На 2014 год.

Показатель

Начало периода тыс. руб.

Конец периода тыс. руб.

Отклонение тыс. руб.

СОС

-26 857

-25 926

931

СДЗС

573 143

574 074

931

ООС

986 413

987 344

931

ЗИЗ

214 098

499 815

285 717


Уменьшение показателя СОС в 2013 году является отрицательной тенденцией, это произошло за счет увеличения основных средств и появление статьи - отложенные налоговые активы. В 2014 году показатель СОС увеличивается, за счет не распределенной прибыли, что является положительным для организации.

Динамика показателей финансовой устойчивости

На основании этих четырёх показателей, характеризующих наличие источников, формирующих запасы и затраты для производственной деятельности, можно определить три показателя обеспеченности запасов источниками их финансирования.

Таблица 3 - Показатели обеспеченности запасов источниками финансирования

На 2013 год.

Показатель

Начало периода тыс. руб.

Конец периода тыс. руб.

 Ф1

-15 937

-240 955

 Ф2

-15 937

359 045

 Ф3

304 126

772 315

На 2014 год.

Показатель

Начало периода тыс. руб.

Конец периода тыс. руб.

 Ф1

-240 955

-525 741

 Ф2

359 045

74 259

 Ф3

772 315

487 529


.        Ф1>0, Ф2>0, Ф3>0 - абсолютная финансовая устойчивость;

2.      Ф1 <0, Ф2>0, ФЗ>0 - нормальная финансовая устойчивость;

.        Ф1<0, Ф2<0, ФЗ>0 - неустойчивое финансовое состояние;

4.      Ф1<0, Ф2<0, Ф3<0 - кризисное финансовое состояние.

Диаграмма 1

Динамика финансовых показателей за 2013 год


Диаграмма 2

Динамика финансовых показателей за 2014 год


По результатам расчета на конец 2014 года все три финансовых показателя финансовой устойчивости разные:

Ф1 отрицательно

Ф2 положительно

Ф3 положительно

Это означает, что у организации нормальная финансовая устойчивость.

Динамика показателей финансовой устойчивости свидетельствует о стабильности работы предприятия в данный отрезок времени и является прямым показателем как ритмичности реализации производственных программ, так и поставок продукции.

Таким образом, при возникшей необходимости, ЗАО "Слав-строй" сможет погасить свои финансовые обязательства.

Таблица 4 - Анализ деловой активности предприятия

На 2013 год.

Показатель

Начало периода тыс. руб.

Конец периода тыс. руб.

Отклонение тыс. руб.

Производительность труда или выработка на одного работника (П)

17 261

34 515

17 254

Оборачиваемость запасов в оборотах (Оз)

-613,45

-13,80

599,66

Оборачиваемость кредиторской задолженности в днях (Ок)

-214

-103

112

Оборачиваемость дебиторской задолженности в оборотах (Одоб.)

6

4

-2

Продолжительность оборота в днях (Оддн)

64

92

27

Оборачиваемость собственного капитала (Окап.)

696

520

-176

На 2014 год.

Показатель

Начало периода тыс. руб.

Конец периода тыс. руб.

Отклонение

Производительность труда или выработка на одного работника (П)

34 515

23 506

-11 008,47

Оборачиваемость запасов в оборотах (Оз)

-13,80

-3,80

10,00

Оборачиваемость кредиторской задолженности в днях (Ок)

-103

-384

-281,65

Оборачиваемость дебиторской задолженности в оборотах (Одоб.)

4

3

-1,00

Продолжительность оборота в днях (Оддн)

92

123

31,39

Оборачиваемость собственного капитала (Окап.)

520

205

-315,10


Диаграмма 3

Динамика коэффициентов оборачиваемости за три периода


Диаграмма 4

Динамика производительности труда за три периода


Производительность труда к концу 2013 года заметно возросла. Это происходит из-за изменения годовой выручки. Оборачиваемость запасов в оборотах к концу 2014 года уменьшилась.

Уменьшение коэффициента является свидетельством уменьшение скорости реализации материальных оборотных средств, т.е. они стали иметь менее ликвидную структуру, что нельзя отнести к положительным факторам в работе строительных предприятий.

Оборачиваемость кредиторской задолженности к концу 2013 года увеличилась по сравнению с предыдущим периодом, т.к. рост кредиторской задолженности больше роста себестоимости продукции. Это отрицательная тенденция. Положительной тенденцией в 2013 году является небольшое увеличение скорости погашения дебиторской задолженности и уменьшение продолжительности её оборота. Это произошло из-за увеличения выручки организации, при этом дебиторская задолженность не значительно уменьшилась.

К концу 2014 года уменьшилась скорость оборачиваемости собственного капитала, т.к. уменьшилось значение выручки. Коэффициент оборачиваемости собственного капитала характеризует различные аспекты деятельности: с коммерческой точки зрения он определяет либо излишек продаж, либо их недостаток; с финансовой - скорость оборота вложенного собственником капитала; с экономической - активность денежных средств, которыми рискуют собственники предприятия. Низкий коэффициент означает бездействие части собственных средств.

Таблица 5 - Анализ рентабельности предприятия

На 2013 год.

Показатель

Начало периода

Конец периода

Отклонение

Рентабельность продаж (Рп.)

-0,90

-2,59

-1,69

Рентабельность собственного капитала (Ркап.)

0,67

0,63

-0,04

Период окупаемости собственного капитала (Пск.)

1,49

1,59

0,10

Рентабельность активов (Ра)

0,15

0, 20

0,05

Коэффициент производственной себестоимости (Кп. сс.)

-0,99

0,02

Рентабельность (Р)

0,10

0,12

0,02

На 2014 год.

Показатель

Начало периода

Конец периода

Отклонение

Рентабельность продаж (Рп.)

-2,59

-8,08

-5,49

Рентабельность собственного капитала (Ркап.)

0,63

0,42

-0,21

Период окупаемости собственного капитала (Пск.)

1,59

2,37

0,78

Рентабельность активов (Ра)

0, 20

0,12

-0,08

Коэффициент производственной себестоимости (Кп. сс.)

-0,97

-0,93

0,05

Рентабельность (Р)

0,12

0,21

0,09



Диаграмма 4

Динамика коэффициентов рентабельности за три периода


Рентабельность продаж в 2014 уменьшилась в с связи увеличением себестоимости.

Рентабельность собственного капитала в период 2013 г. увеличилась, т.к. увеличилась чистая прибыль от обычных видов деятельности. Соответственно, период окупаемости снизился.

Таблица 6 - Анализ платежеспособности и ликвидности предприятия на 2013 год

На 2013 год

Показатель

Начало периода

Конец периода

Коэффициент текущей ликвидности Ктл > 2

0,99

1,48

Коэффициент обеспеченности собственными средствами КОСС > 0.1

-0,01

-0,02

Коэффициент восстановления платежеспособности  Квп

0,24

0,61

Коэффициент быстрой ликвидности Кбл > 1

0,983

1,304

Коэффициент абсолютной ликвидности Кал > 0.2

0,675

0,144

Коэффициент покрытия запасов Кпз > 1

70,34

4,61

Коэффициент автономии или коэффициент концентрации собственного капитала Ка > 0.6

0,00231

0,00323

Коэффициент финансовой зависимости или коэффициент концентрации заемного капитала Кфз < 0.4

1,00

1,00

Коэффициент соотношения собственных и заемных средств или коэффициент капитализации Кс/з

432,56

308,72


Таблица 7 - Анализ платежеспособности и ликвидности предприятия на 2014 год

На 2014 год

Коэффициент текущей ликвидности  Ктл > 2

1,48

1, 20

Коэффициент обеспеченности собственными средствами КОСС > 0.1

-0,02

-0,01

Коэффициент восстановления платежеспособности  Квп

0,61

0,40

Коэффициент быстрой ликвидности Кбл > 1

1,304

1,026

Коэффициент абсолютной ликвидности Кал > 0.2

0,144

0,680

Коэффициент покрытия запасов Кпз > 1

4,61

3,38

Коэффициент автономии или коэффициент концентрации собственного капитала  Ка > 0.6

0,00323

0,00288

Коэффициент финансовой зависимости или коэффициент концентрации заемного капитала Кфз < 0.4

1,00

1,00

Коэффициент соотношения собственных и заемных средств или коэффициент капитализации Кс/з

308,72

346,00


Диаграмма 5

Динамика коэффициентов ликвидности


Диаграмма 6

Динамика коэффициентов платежеспособности


. Коэффициент текущей ликвидности к концу 2013 года показатель текущей ликвидности практически достигает нормативного критерия, но в 2014 году его значение уменьшается, это связано с увеличением кредиторской задолженности. В дальнейшем был рассчитан коэффициент восстановления платежеспособности.

. Коэффициент обеспеченности собственными средствами в каждом рассматриваемом период расчетное значение превышает нормативный показатель.

. Основным показателем, характеризующим наличие реальной возможности у предприятия восстановить свою платежеспособность в течение определенного периода, является коэффициент восстановления платежеспособности, которой на конец 2013 года увеличился, но к концу 2014 года уменьшился в связи с уменьшением текущей ликвидности.

. Коэффициент утраты платёжеспособности не рассчитывается, т.к. значение текущей ликвидности в каждом периоде меньше 2.

. Коэффициент быстрой ликвидности резко увеличивается к концу 2013 года за счет увеличения оборотных активов, но к концу 2014 года уменьшился и равен - 1,026, что так же больше нормы (стр.290, баланс).

. Коэффициент абсолютной ликвидности к концу 2013 не достигает нормативного значения, а уже к концу 2014 даже превышает его, обуславливается это увеличение денежных средств на 1 768 682 тыс. руб.

. В наиболее общем виде степень ликвидности строительного предприятия может быть выражена общим коэффициентом покрытия, показывающим, сколько рублей текущих активов (оборотных средств) приходится на один рубль текущих обязательств (текущей краткосрочной задолженности).

Логика исчисления данного показателя заключается в том, что предприятие погашает краткосрочные обязательства в основном за счет текущих активов, следовательно, если текущие активы превышают по величине текущие обязательства, предприятие может рассматриваться как успешно функционирующее. Размер превышения и задается коэффициентом покрытия. Рост коэффициента в динамике рассматривается как благоприятная тенденция. В данном случае Кпз на конец 2013-2014 г. резко снижается по сравнению с 2012 годом. Это связано с тем что организация взяла долгосрочный кредит на сумму - 600 000 тыс. руб.

. Коэффициент автономии или коэффициент концентрации собственного капитала. Данный показатель не достигает нормативного значения за период 2012-2014 гг., т.е. организация зависит от внешних кредиторов.

. Коэффициент финансовой зависимости или коэффициент концентрации заёмного капитала аналогично п.8 не достигает нормативного значении к концу 2014 года.

. Коэффициент соотношения собственных и заёмных средств или коэффициент капитализации. Увеличение его в динамике свидетельствует об усилении зависимости предприятия от внешних инвесторов.

Таблица 8 - Исходные данные для анализа ликвидности и платежеспособности строительного предприятия

АКТИВ

Предыдущие годы (тыс. рублей)

Отчетный год (тыс. руб.)

ПАССИВ

Предыдущие годы (тыс. руб.)

Отчетный год (тыс. руб.)

Платежный излишек или недостаток (+; - ) (тыс. руб.)







9=2-6

10=3-7

11=4-8

 

2012

2013

2014

 

2012

2013

2014

 

 

 

А1

649 983

777 545

2 228 024

П1

886 475

833 365

2 019 008

-236 492

-55 820

209 016

А2

267 554

764 027

698 648

П2

47 000

349 161

833 404

220 554

414 866

-134 756

А3

4 386

214 098

499 815

П3

0

0

600 000

4 386

214 098

-100 185

А4

13 709

32 631

35 904

П4

2 158

5 774

9 978

11 551

26 857

25 926

Исходные данные для анализа ликвидности и платежеспособности

Сопоставление итогов:

А1>П1 - соотношение текущих платежей и поступлений сроком до 3-х месяцев.

А2>П2 - сохранение значения текущей ликвидности сроком от 3-х до 6-ти месяцев.

А3>П3, А4<П4 - отражает соотношение платежей и поступлений в недалеком будущем.

Анализ, проводимый по данной схеме, достаточно полно представляет финансовое состояние с точки зрения возможностей своевременного осуществления расчетов.

В данном случае неравенство имеют противоположный знак в выделенных ячейках и на конец 2014 года видно, что только в первом показателе выполняется неравенство. При этом недостаток средств по одной группе активов компенсируется их избытком по другой группе в стоимостной оценке; в реальной же ситуации менее ликвидные активы не могут заместить более ликвидные. L1 = 1,0; L2 = 0,5; L3 = 0,5

Таблица 9 - Расчет ликвидности баланса строительного предприятия

Показатель

Расчет показателей


2012 год (тыс. руб.)

2013 год (тыс. руб.)

2014 год (тыс. руб.)

Текущая ликвидность

917 537

1 541 572

2 926 672

Перспективная ликвидность

933 475

1 182 526

2 852 412

Общая (комплексная) ликвидность

0,8637079

1,256622379

1,03346316


Таблица 10

Анализ ликвидности баланса

Коэффициенты

Расчет

На конец 2012 (тыс. руб.)

На конец 2013 (тыс. руб.)

На конец 2014 (тыс. руб.)

Текущей ликвидности

А1+А2≥П1+П2

917 537≤933 475

1 541 572≤1 182 526

2 926 672≥≥2 852 412

Перспективной ликвидности

А3≥П3

4 386≥0

214 098≤600 000

499 815≤600 000

Общей (комплексной) ликвидности

Z= (L1*A1+L2*A2+L3*П3) ≥1

0,86≤1

1,25≥1

1,03≥1

Текущая ликвидность - в данном случае неравенство не выполняется, значение активов меньше значения пассивов, что говорит о неплатежеспособности предприятия.

Перспективная ликвидность - это прогноз платежеспособности на основе сравнения будущих поступлений и платежей. На конец 2014 года видно что будущие поступления не покроют долгосрочные обязательства.

Анализ ликвидности организации показал, что условия абсолютной ликвидности {А1≤П1; А2≥П2; А3≥П3; А4≤П4} не выполняются.

В зависимости от степени ликвидности, т.е. скорости превращения в денежные средства, активы организации разделяются на следующие группы.

Таблица 11 - Группировка активов

№ п/п

 Активы

2012 год (тыс. руб.)

2013 год (тыс. руб.)

2014 год (тыс. руб.)

1.

Наиболее ликвидные активы А1

649 983

777 545

2 228 024

2.

Быстро реализуемые активы А2

267 554

764 027

698 648

3.

Медленно реализуемые активы А3

4 386

214 098

499 815

4.

Трудно реализуемые активы А4

13 709

32 631

35 904


Ниже представлена диаграмма с динамикой изменения активов, где видно, что к концу 2014 года наиболее ликвидные активы резко увеличиваются до 2 228 024 тыс. руб. за счет увеличения денежных средств. Что оценивается как положительная тенденция.

Таблица 12 - Группировка пассивов

№ п/п

Пассивы

2012 год (тыс. руб.)

2013 год (тыс. руб.)

2014 год (тыс. руб.)

1.

Наиболее срочные обязательства П1

886 475

833 365

2 019 008

2.

Краткосрочные пассивы П2

47 000

349 161

833 404

3.

Долгосрочные пассивы П3

0

600 000

600 000

4.

Постоянные пассивы или устойчивые П4

2 158

5 774

9 978


В структуре пассивов наблюдается увеличение срочных обязательств в связи с увеличением кредиторской задолженности.

Диаграмма 7

Динамика изменения активов и пассивов


Использование сравнительного аналитического баланса для анализа и оценки финансового состояния организации

Таблица 13

Аналитический баланс

Наименование статей

Коды строк

Абсолютные величины

Относительные величины %



Начало периода

Конец периода

Изменение

Начало периода

Конец периода

Изменение

1

2

3

4

5

6

7

8

I. Внеоборотные активы

 

1.1 Основные средства

120

32 480

35 756

3 276

99,54

99,59

0,05

1.2 Нематер. активы

110

0

0

0

0,00

0,00

0,00

1.3 Прочие внеоборотные средства

130+140+150

129

129

0

0,40

0,36

-0,04

Итого по разделу I (иммобилизованные средства)

190

32 631

35 904

3 273

100,00

100,00

0,00

II. Оборотные активы

 

2.1 Запасы

210+220

499 815

285 717

12, 19

14,59

2,39

2.2 Дебиторская задолженность (платежи после 12 мес.)

230

0

0

0

0,00

0,00

0,00

2.3 Дебиторская задолженность (до 12 мес.)

240

764 027

698 648

-65 379

43,52

20,39

-23,13

2.4 Краткосрочные финансовые вложения

250

607 396

289 193

-318 203

34,60

8,44

-26,16

2.5 Денежные средства

260

170 149

1 938 831

1 768 682

9,69

56,58

46,89

Наиболее ликвидные активы

250+260

777 545

2 228 024

1 450 479

44,29

65,02

20,74

Итого по разделу II (мобильные оборотные средства)

290

1 755 670

3 426 487

1 670 817

100,00

10 890,18

10 790,18

Стоимость имущества

190+290

1 788 301

3 462 391

1 674 090

30 971,61

34 700,25

3 728,64

IV. Капитал и резервы

 

 

 

 

 

 

 

4.1 Уставной капитал

410

8

8

0

0,14

0,08

-0,06

4.2 Добавочный резервный капитал

420+430

0

4

4

0,00

0,04

0,04

4.3 Спец. фонды и целевые финансирования

440+450+ 460

0

0

0

0,00

0,00

0,00

4.4 Нераспределенная прибыль

470

5 765

9 966

4 201

99,84

99,88

0,04

Итого по разделу IV (собственные средства организации)

490+640+650+660

5 774

9 978

4 204

100,00

100,00

0,00

V. Долгосрочные пассивы

590

600 000

600 000

0

100,00

100,00

0,00

VI. Краткосрочные пассивы

 

6.1 Заемные средства

610

349 161

833 404

484 243

29,53

29,22

-0,31

6.2 Кредиторская задолженность

620

833 365

2 019 008

1 185 643

70,47

70,78

0,31

6.3 Прочие пассивы

640+650

0

0

0

0,00

0,00

0,00

Краткосрочные пассивы

610+650

349 161

833 404

484 243

29,53

29,22

-0,31

Итого по разделу VI

690

1 182 526

2 852 412

1 669 886

100,00

100,00

0,00

Всего заемных средств

590+690

1 782 526

3 452 412

1 669 886

150,74

121,03

-29,70

Итог баланса

300, 700

3 576 600

6 924 780

3 348 180

302,45

242,77

-59,68

Величина собственных средств в обороте

490-190

-26 857

-25 926

931

-2,27

-0,91

1,36

Рабочий капитал

290-690

573 144

574 075

931

48,47

20,13

-28,34

Собственные оборотные средства организации

490-190+ 590

573 143

574 074

931

48,47

20,13

-28,34


Увеличение к концу 2014 года наблюдается по статьям основных и оборотных активов в абсолютных величинах на 3 273т. р.

Мобильные оборотные средства (раздел №2) увеличились в основном за счет приобретения запасов в абсолютных величинах на 1 670 817 т. р.

Увеличение кредиторской задолженности на 1 185 643 т. р. привело и к общему увеличению общей стоимости краткосрочных пассивов.

Увеличение валюты баланса в натуральных величинах составляет 3 348 180 тыс. руб.

Структура внеоборотных активов

Стоимость внеоборотных активов за период с 2012 по 2014 ЗАО "Слав-Строй" выросла на 22 195 т. р. Данное увеличение в основном произошло за счет роста Основных средств.

Стоит отметить, что такой высокий темп прироста Основных средств является негативной тенденцией, так как он отвлекает денежные средства из оборота.

Таблица 13

Структура внеоборотных активов

 

31.12.12.

31.12.13.

31.12.14.

Доля % 2012 год

Доля % 2013 год

Доля % 2014 год

Внеоборотные активы

13 709

32 631

35 904

100

100

100

Нематериальные активы

0

0

0

0

0

0

Основные средства

12 558

32 480

35 756

91,60406

99,5372

99,5878

Незавершенное строительство

1 151

129

129

8,395944

0,39533

0,35929

Долгосрочные финансовые вложения

0

0

0

0

0

0

Отложенные налоговые активы

0

22

18

0

0,06742

0,05013

Прочие внеоборотные активы

0

0

0

0

0

0


Диаграмма 7

Динамика внеоборотных активов


Анализ оборотных активов

Данные таблицы 13 показывают, что в целом за анализируемый период с 31.12.12 по 31.12.14 оборотные активы ЗАО "Слав-строй” выросли на 285 717, и на конец рассматриваемого периода составили 497 855 тыс. рублей.

Динамика изменения оборотных активов за анализируемый период была следующей: по результатам за 2013 год прирост составил 833 745т. р., а в 2013 году прирост составил 1 670 818 т. р.

На Диаграмме, показана динамика структуры оборотных активов

Таблица 14

Структура оборотных активов

 

31.12.12.

31.12.13.

31.12.14.

Доля % 2012 год

Доля % 2013 год

Доля % 2014 год

Прирост за 2013 год

Прирост за 2014 год

Запасы

2 426

212 138

497 855

17,82

45,57

81,96

209 712

285 717

НДС по приобретенным ценностям

1 960

1 960

1 960

13,9

8,63

3,54

0

0

Краткосрочная дебиторская задолженность

267 554

764 027

698 648

67,86

44,78

13,51

496 473

-65 379

Краткосрочные финансовые вложения

19 619

607 396

289 193

0,16

0,75

0,3

587 777

-318 203

Денежные средства

630 364

170 149

1 938 831

0,26

0,28

0,68

-460 215

1 768 682

Оборотные активы

921 924

1 755 669

3 426 487

100

100

100

833 745

1 670 818


Диаграмма 8

Динамика оборотных активов


Динамика структуры источников имущества

Данные таблицы показывают, что в целом за анализируемый период с 31.12.12 по 31.12.14 имущество ЗАО "Слав-Строй” выросло за счет нераспределенной прибыли и долгосрочных обязательств и кредиторской задолженности.

Данный изменения в имуществе в 2007, 2011 и 2012 годах был прежде всего обусловлен значительными изменениями внеоборотных активов (92%, 71%, 93% соответственно), при значительной доли внеоборотных активов в структуре имущества (68%, 85%, 73% соответственно). Также значительное влияние оказало изменение запасов (26%, 33%, 59% соответственно), при доле в структуре активов (5%, 6%, 21% соответственно).

Остальные виды имущества хотя и показали определенные изменения, в абсолютном выражении за анализируемый период, имели не значительную долю в структуре имущества, поэтому не оказали существенного влияние на рост имущества. Динамика структуры активов ЗАО "Слав-Строй" продемонстрирована на Диаграмме.

Таблица 15

Структура источников имущества

 

31.12.12. тыс. руб.

31.12.13 тыс. руб.

31.12.14 тыс. руб.

2012 в %

2014 в %

Уставной капитал

8

8

8

0,000855

0,000447

0,0002311

Нераспределенная прибыль (непокрытый убыток)

4 555

4 556

9 966

0,486837

0,254767

0,2878359

Долгосрочные обязательства

0

600 000

600 000

0

33,55142

17,32907

Краткосрочные займы и кредиты

47 000

349 161

833 404

5,023343

19,52474

24,070194

Кредиторская задолженность

886 475

833 365

2019 008

94,74612

46,60096

58,312553

Валюта баланса

935 632

1 788 300

3 462 390

100

100

100


Диаграмма показывает изменение структуры источников формирования имущества ЗАО "Слав-Строй" с конца 2012 года по конец 2014 года.

Из диаграммы видно, что основную долю источников имущества составляют долгосрочные обязательства и кредиторская задолженность.

Уставной капитал и нераспределенная прибыль составляют очень малую долю в структуре источников имущества, что является очень плохой тенденцией.

Состояние структуры имущества ЗАО "Слав-Строй" является очень плохим, так как основным источником формирования имущества организации являются долгосрочные обязательства и кредиторская задолженность. Это говорит о том, что бизнес реально не принадлежит учредителям

Диаграмма 9

Динамика источников имущества


Выводы

 

Основные аспекты диагностики экономического состояния ЗАО "Слав-Строй":

.        Согласно экспресс-анализу оценки ликвидности баланса организации финансовое состояние организации на протяжении всего рассматриваемого периода не является стабильным, т.к. предприятие имеет краткосрочные и долгосрочные обязательств и оборотные средства при необходимости не позволяют выплатить займы.

2.      Предприятие финансово не устойчиво: не все показатели обеспеченности запасов источниками их финансирования (Ф1-Ф3) имеют положительные значения. Что еще раз подтверждает, организация не сможет выплатить все свои финансовые обязательства.

.        Деловая активность предприятия в целом имеет тенденцию к увеличению расчетных показателей к концу 2013 года и общему снижению значений к концу 2013 года. Основной причиной такой динамики является уменьшение суммы доходов от основного вида деятельности.

.        Анализ рентабельности предприятия показал, что доходность вложений в основное производство к концу 2014 года резко увеличивается, рентабельность собственного капитала уменьшилась, т.к. значительно снизилась прибыль от обычных видов деятельности. Соответственно, период окупаемости собственного капитала увеличился.

.        Анализ платежности и ликвидности предприятия показал, что к концу 2014 года коэффициенты текущей ликвидности, коэффициент обеспеченности собственными средствами возросли.

.        Анализ ликвидности баланса показал, что условия абсолютной ликвидности не выполняется. Этот же вывод подтверждает расчет коэффициента абсолютной ликвидности.

.        Снижение валюты баланса, доходов от основного вида деятельности и рассмотренных раннее показателей говорит о необходимости ввода соответствующих мер. Данному вопросу посвящена следующая глава.

 

3.3 Разработка и внедрение мероприятий по повышению эффективности деятельности организации

 

Обновление основных фондов.

Развитие основных фондов строительных предприятий происходит посредством прироста и обновления основных фондов. Прирост основных фондов - увеличение их в натуральном выражении (накопление). В абсолютной сумме прирост определяется как разница между объемом основных фондов на начало и конец периода или как разница между их поступлением и выбытием за период. В относительном выражении прирост основных фондов определяют как отношение абсолютной величины прироста за период к их стоимости на конец периода. Обновление основных фондов - модернизация и замена функционирующих средств труда новыми, более производительными и совершенными по техническому уровню. Количественно обновление измеряется с помощью коэффициента обновления и коэффициента выбытия основных фондов.

Использование основных фондов предполагает постоянное поддержание их в нормальном для эксплуатации состоянии, что является целью частичного обновления основных фондов, под которым понимается проведение капитального и (или) текущего ремонтов.

Капитальный ремонт - замена отдельных частей зданий, сооружений, узлов оборудования, осуществляемая в целях поддержания основных фондов в рабочем состоянии и часто сочетающаяся с их модернизацией.

Текущий ремонт - исправление или замена мелких частей основных фондов, содержание основных фондов в соответствующих санитарно-гигиенических условиях. Затраты на текущий ремонт включаются в издержки обращения. Особенностью ремонта как формы частичного обновления основных фондов торговых предприятий является восстановление первоначальной потребительской стоимости основных фондов без учета их морального износа. В тех случаях, когда моральный износ наступает быстрее физического, возникает необходимость модернизации основных фондов, т.е. ликвидации частичного физического износа на новой технической основе.

Обновление основных фондов путем модернизации позволяет улучшить технико-экономические показатели оборудования, повысить технический уровень торговых предприятий, производительность устаревшего торгово-технологического оборудования до уровня новой техники, обеспечить экономию живого труда и рост его производительности. Вместе с тем частичное обновление основных фондов на новой технической основе может привести к определенным диспропорциям в их соотношении. Поэтому обновление может производиться также путем технического перевооружения и реконструкции основных фондов. Техническое перевооружение - это процесс переоснащения материально-технической базы предприятия торговли, по завершении которого без привлечения дополнительной рабочей силы повышается технико-экономический уровень предприятия, внедряется принципиально новая технология процессов управления, производства, хранения, обработки товарных потоков и обслуживания населения.

Скорость обновления основных фондов зависит от двух факторов:

·        темпы прироста основных производственных фондов в подотраслях торговли, которые определяются в свою очередь, инвестиционными возможностями торговых предприятий и потребностями в развитии материально-технической базы;

·        масштабы выбытия ветхих зданий и устаревшего оборудования с учетом темпов создания новой строительной техники.

Руководство ЗАО "Слав-Строй" приняло решение увеличить свой технический парк, приобретя новые высокотехнологичные основные фонды производственного назначения. Приобретаются они за счет денежных средств (стр.260) на сумму - 24 800.

)        Экскаватор Hyundai R290LC-7А. (1 шт.) Стоимость экскаватора 2 500 тыс. руб.

2)      Фронтальный погрузчик JCB 408 ZX. (2 шт.) Стоимость 1500 тыс. руб.

)        Башенный кран Liebherr 154EC-H10 (2 шт.) Стоимость 7 000тыс. руб.

)        Грузовой тягач на базе МАN (1шт.) Стоимость 4 000

)        Прочие ОС стоимость 1 340

Итоговая сумма вложений - 24 840 (таблица 3.16)

Таблица 16

Статья

Код строки

На начало 2012г. (тыс. руб.)

На конец 2012г. (тыс. руб.)

Изменение (тыс. руб.)

АКТИВ





Основные средства

1150

35 756

60 596

+24 840

Денежные средства

1250

1 938 831

1 913 991

+24 840


Диверсификация деятельности

Диверсификация производства в строительстве - проникновение в новые сектора строительного и нестроительных рынков с одновременным развитием нескольких связанных или несвязанных друг с другом видов производств или сочетание производства товаров (работ, услуг) в разнородных сферах деятельности. Диверсификация производства определяется как расширение сферы деятельности предприятия, связанной или не связанной с основным производством.

Диверсификация является одним из направлений повышения эффективности деятельности и стабильности строительной организации. Данное направление развития особенно актуально в условиях жесткой конкуренции, когда узкая специализация ещё больше снижает возможность получения подрядов на выполнение работ. Желание диверсифицировать свою деятельность может быть вызвано такими мотивами, как необходимость вложения капитала, снижение рисков, издержек на выпускаемую продукцию, стремление более эффективно использовать систему управления и т.д.

Для того чтобы охватить новый сегмент рынка и найти новые источники прибыли, нашей фирме стоит провести диверсификацию производства. Напомню, что основными видами производственной деятельности ЗАО "Слав-Строй" являются многоэтажное жилищное строительство. Но из-за сильной конкуренции развитие в этом направлении несколько затруднено. Поэтому, чтобы увеличить выручку необходимо диверсифицировать деятельность организации и охватить новый рынок. Таким рынком может стать - рынок строительства малоэтажного жилья по индивидуальному проекту.

Согласно плану диверсификации нашему предприятию придется освоить новый для него вид деятельности - строительство загородных танхаусов. Для этого нам понадобится приобрести ОС (выше проводилось увеличение и замена ОС), необходимые для выполнения этих работ, нанять рабочих специализирующихся на данном виде деятельности, закупить дополнительные материалы на это начинание, нам потребуется 14 496 тыс. руб., которые будут потрачены следующим образом:

496 тыс. руб. - на приобретение требующихся первоначальных материалов: белого цемента, заполнителей и др.

Так же планируется получение аванса от заказчика в размере - 574 197 тыс. руб. (40% от стоимости договора подряда, стоимость договора - 1 435 493).

В результате ожидается рост выручки (+7%), при некотором увеличении себестоимости (+5%) (таблица 3.23).

Таблица 17

Статья

Код строки

На начало 2013 г. (тыс. руб.)

На конец 2013г. (тыс. руб.)

Изменение (тыс. руб.)

АКТИВ





Сырье, материалы и другие аналогичные ценности

1211

31 263

45 759

+14 496

Денежные средства

1250

1 913 991

2 488 188

+574 197

Дебиторская задолженность

1230

203 752

388 408

+184 656

ПАССИВ





Займы и кредиты: поставщики и подрядчики

1521

280 692

295 188

+14 496

Нераспределенная прибыль

1470

9 996

16 892

+6926

Займы и кредиты

1510

600 000

217 385

-382 615


Как видно из таблицы 3.20 организация полученный аванс распределили следующим образом - погасила часть долгосрочной задолженности, увеличили нераспределенную прибыль. Дебиторская задолженность увеличивается за счет получения до конца года 12,8% от суммы договора подряда на строительство ЖК "Рублевское предместье"

Стимулирование спроса, позиционирование продукции ЗАО "Слав-Строй".

Позиционирование строительной продукции - это процесс обеспечения данной продукции и строительной организации наибольших покупательных предпочтений. Позиционирование позволяет сформировать в сознании потребителей особенности данной продукции, отличающие ее от конкурентов.

Возможные тактические приемы рыночного позиционирования сводятся к следующему:

·        позиционирование на основе рыночных преимуществ товара (более комфортное жилье, престижные районы застройки);

·        позиционирование путем расширения круга потенциальных покупателей (предоставление жилья в рассрочку);

·        позиционирование за счет повышения престижности товара (использование прогрессивных архитектурных решений);

·        позиционирование, базирующееся на основе сильных и слабых сторон конкурентов.

Факторами, определяющими позиции на рынке, являются: цена качество, имидж товара и фирмы, эстетичность и другие, характеризующие товар и фирму. Иначе говоря, рыночная позиция на рынке характеризуется следующими составляющими:

)        Ресурсы, которыми располагает организация.

2)      Отношения фирмы с другими участниками рыночного сегмента

)        Знание фирмы о рыночном сегменте и конкурентах.

)        Учет времени занятия позиции на рынке.

Строительная организация, осуществляющая успешное позиционирование своей продукции на рынке, обычно руководствуется следующими правилами:

)        постоянный поиск отличительных свойств своего товара и стремление к созданию марочного товара. Необходима постоянная узнаваемость фирмы и её товара среди множества аналогичных;

2)      сочетание научно-технических достижений с экономической выгодой для фирмы и её клиентов. Особенность инвестиционного товара требует от строителей способности сегодня заглянуть в завтрашний день, чтобы удовлетворить "завтрашние" потребности клиентов;

)        не пытаться удержаться в рыночной нише любой ценой. Своевременный уход с неперспективного для фирмы рынка зачастую экономит большие средства.

)        Своевременно готовить новую рыночную нишу как плацдарм для "отступления";

)        Искать компромиссы с ведущими конкурентами на рынке.

Одним из способов проведения позиционирования товара является рекламная компания. Рекламная кампания - это разносторонняя, планомерная, систематическая и обычно долговременная рекламная деятельность, направленная на достижение поставленных целей - оказание необходимого рекламного воздействия на определенную целевую аудиторию. Планирование рекламной кампании - процесс достаточно сложный и длительный. В планировании рекламной кампании принимают участие два основных субъекта - рекламодатель и рекламное агентство.

Для проведения рекламной кампании руководство ЗАО "Слав-Строй" обращается в рекламное агентство "МегаПро", чтобы оно разработало и провело рекламу на местном телевидение. Главной идеей рекламной кампании станет - возможность приобрести квартиру в рассрочку. Это предложение позволит большему числу желающих приобрести долгожданное жилье.

Срок проведения рекламной кампании - 6 месяцев. Стоимость мероприятия 1 900 тыс. руб. в месяц. Итого затраты составят 11 400 тыс. руб.

Согласно проведенному анализу, эффективность рекламы позволит увеличить спрос на продукцию ЗАО "Слав-Строй" на 8% (таблица 3.22).

Таблица 18

Статья

Код строки

На начало 2013г. (тыс. руб.)

На конец 2013г. (тыс. руб.)

Изменение (тыс. руб.)

АКТИВ





Денежные средства

1250

2 488 188

2 499 588

-11 400

ПАССИВ





Нераспределенная прибыль

1470

16 892

5 492

-11 400

ОПУ





Выручка

2110

2 045 052

2 351 810

306 758


Изменение экономических показателей после проведения мероприятий.

Анализ деловой активности и рентабельности строительной организации (таблица 19).

Таблица 19

Показатель

Начало периода (тыс. руб.)

Конец периода (тыс. руб.)

Отклонение (тыс. руб.)

Производительность труда или выработка на одного работника (П)

23 506

65 878

42 371

Оборачиваемость дебиторской задолженности в оборотах (Одоб.)

3

2

-1

Оборачиваемость кредиторской задолженности в днях (Ок)

-384

-273

111

Рентабельность продаж (Рп.)

-8,08

-4,85

3,23

Рентабельность собственного капитала (Ркап.)

0,42

0,64

0,21


Диаграмма 10

Динамика рентабельности до и после проведения мероприятий


На диаграмме 3.10 показано изменение рентальности организации до и после проведения мероприятий. Это обусловлено резким ростом себестоимости продукции и недостаточным ростом прибыли.

Диаграмма 11


На диаграмме 3.11 представлена динамика изменения производительности труда или выработки на одного работника, как мы видим после проведения мероприятий она выросла более чем в два раза. Это объясняется увеличение выручки на 3 686 314 тыс. руб., а численность изменилась лишь на 48 чел.

Диаграмма 12


Снижение оборота дебиторской задолженности произошло из-за увеличения дебиторской задолженности при освоении новых площадок. (строительство только началось).

Таблица 20

АКТИВ

До проведения мероприятия (тыс. руб.

После проведения мероприятия (тыс. руб.)

ПАССИВ

До проведения мероприятия (тыс. руб.)

После проведения мероприятия (тыс. руб.)

Платежный излишек или недостаток (+; - ) (тыс. руб.)

 

2013

2014

 

2013

2014

 

 

А1

2 228 024

2 961 876

П1

2 019 008

4 141 425

209 016

-1 179 549

А2

698 648

3 473 616

П2

833 404

3 189 294

-134 756

284 322

А3

499 815

1 079 376

П3

600 000

217 385

-100 185

861 991

А4

35 904

60 597

П4

9 978

27 361

25 926

33 236


Анализируя таблицу 20 видно, что после проведения мероприятий наиболее ликвидные активы (ден. с-ва, кр. фин. влож.) не покрывают краткосрочные кредиты.

Анализируя быстро реализуемые активы видно, что дебиторская задолженность покрывает краткосрочные займы.

Медленно реализуемые активы так же покрывают долгосрочные обязательства.

Трудно реализуемые активы превышают собственные средства, т.к. были увеличены ОС, для освоения объемов нового вида деятедбности.

Заключение


Результаты в любой сфере бизнеса зависят от наличия и эффективности использования финансовых ресурсов, обеспечивающих жизнедеятельность предприятия. Поэтому забота о финансах является отправным моментом и конечным результатом деятельности любого субъекта хозяйствования.

В условиях рыночной экономики эти вопросы имеют первостепенное значение.

Устойчивое финансовое состояние, в свою очередь, положительно влияет на объем основной деятельности, обеспечение нужд производства необходимыми ресурсами. Поэтому финансовая деятельность, как составная часть хозяйственной деятельности, должна быть направлена на обеспечение планомерного поступления и расходования денежных ресурсов, выполнения расчетной дисциплины, достижение рациональных пропорций собственного и заемного капитала и наиболее эффективное его использование.

В дипломном проекте была проведена оценка финансового состояния ЗАО "Слав-Строй" и предложены мероприятия по улучшению финансовых показателей.

Основные технико-экономические показатели ЗАО "Слав-Строй" в 2012 году свидетельствуют об эффективной работе предприятия по сравнению с предыдущими годами. Основной положительной тенденцией является то, что в 2012 году темп роста выручки превышает темп роста себестоимости. Также об эффективности работы свидетельствует увеличение чистой прибыли, то связано с сокращением затрат.

Анализ финансового состояния ЗАО "Слав-Строй" установил положительную динамику роста финансовой устойчивости предприятия в течение всего анализируемого периода. И в предшествующие годы, и в отчетном году всех источников формирования запасов достаточно для финансирования запасов.

Анализ актива баланса показал, что темп роста оборотных активов превышает темп роста внеоборотных активов, что является положительной тенденцией в деятельности предприятия.

Анализ пассива баланса показал увеличение собственного и заемного капитала в абсолютном значении. В процентом отношении доля собственного капитала в структуре пассивов сократилась.

В 2012 году наблюдается рост всех показателей оборачиваемости, что свидетельствует о повышении деловой активности предприятия. Это связано с высоким темпом роста выручки.

Также в дипломном проекте было проведено прогнозирование вероятности банкротства ЗАО "Слав-Строй" на основе моделей зарубежных и отечественных ученых. Данные прогнозирования выявили малую вероятность банкротства предприятия.

Анализ финансового состояния выявил существующие на предприятии проблемы, связанные с недостаточной ликвидностью баланса в течение всего анализируемого периода, снижением показателей платежеспособности в 2011 году и низкими показателями рентабельности.

Для улучшения данных показателей были предложены следующие мероприятия:

·        Оптимизация дебиторской задолженности.

В результате данного мероприятия дебиторская задолженность организации была сокращена. В результате чего выросла сумма наиболее ликвидных активов, что свидетельствует об улучшении показателей ликвидности баланса и платежеспособности предприятия.

·        Снижение издержек предприятия.

В результате проведенного мероприятия произошло увеличение выручки предприятия. При этом доля себестоимости в структуре выручки сократилась с 96% до 92%. В результате увеличения нераспределенной прибыли произошло увеличение собственного капитала, что оказало положительное влияние на рентабельность предприятия.

Таким образом, можно сделать вывод об улучшении показателей всех видов рентабельности, снижении себестоимости выпускаемой продукции, увеличении чистой прибыли, что говорит об эффективности проведенных мероприятий.

Библиографический список


1. Анализ и диагностика финансово-хозяйственной деятельности строительного предприятия: учебник / под ред.В. В. Бузырева. - М.: КНОРУС, 2010. - 336 с.

. Бариленко В.И. Анализ хозяйственной деятельности. - М.: Омега-Л, 2009. - 414 с.

. Бердникова Т.Б. Анализ и диагностика финансово-хозяйственной деятельности предприятия. - М.: ИНФРА-М, 2007. - 215 с.

. Волкова О.Н., Ковалев В.В. Анализ хозяйственной деятельности предприятия: учебник. - М.: Проспект, 2010. - 424 с.

. Глазов М.М. Анализ и диагностика финансово-хозяйственной деятельности предприятия. - СПб.: ООО "Андреевский издательский дом", 2006. - 448 с.

. Губина О.В., Губин В.Е. Анализ финансово-хозяйственной деятельности. Практикум: учебное пособие. - М.: ФОРУМ-ИНФРА-М, 2012. - 192 с.

. Ершова С.А. Анализ и диагностика финансово-хозяйственной деятельности предприятия. - СПб.: СПбГАСУ, 2007. - 155 с.

. Ионова А.Ф., Селезнева Н.Н. Финансовый анализ: учебник. - М.: Проспект, 2006. - 624 с.

. Канке А.А., Кошевая И.П. Анализ финансово-хозяйственной деятельности предприятия: учебное пособие. - М.: ФОРУМ-ИНФРА-М, 2007. - 288 с.

. Мельник М.В., Герасимова Е.Б. Анализ финансово-хозяйственной деятельности предприятия: учебное пособие. - М.: ФОРУМ-ИНФРА-М, 2008. - 192 с.

. Методические указания к разработке и защите дипломного проекта для студентов специальности 080502 "Экономика и управление на предприятии (в строительстве)" / Авт. - сост.: А.А. Карпенко, Е.С. Ерина, В.В. Полити, О.И. Салтыкова - М.: МГСУ, 2012. - 40 с.

. Методические положения по оценке финансового состояния предприятий и установлению неудовлетворительной структуры баланса / распоряжение Федерального управления по делам о несостоятельности (банкротстве) от 12 августа 1994 г. N 31-р)

. Савицкая Г.В. Анализ хозяйственной деятельности предприятия. - М.: ИНФРА-М, 2009. - 536 с.

. Савицкая Г.В. Анализ хозяйственной деятельности предприятий АПК. - Мн.: Новое знание, 2006. - 652 с.

. Симионов Р.Ю. Экономический анализ деятельности строительного предприятия. - Ростов н/Д.: Феникс, 2006. - 173 с.

. Шеремет А.Д. Комплексный анализ хозяйственной деятельности. - М.: ИНФРА-М, 2006. - 415 с.

Приложения

 

Приложение 1

Бухгалтерский баланс

на 31декабря 2014г.


Коды

Форма по ОКУД

0710001

Дата (число, месяц, год)

31

12

2013

Организация ЗАО "Слав-Строй" по ОКПО

11410563

Идентификационный номер налогоплательщика ИНН

7715100315/77150100

Вид экономической деятельности Строительство по ОКВЭД

45.21.1

Организационно-правовая форма/форма собственности

67

16

частнаяпо ОКОПФ/ОКФС



Единица измерения: тыс. руб. (млн. руб.) по ОКЕИ

384

Местонахождение (адрес) 109144 г. Москва ул. Южнопортовая д.7


Пояснения

Наименование показателя

Код

На 31 декабря 2014 г.

На 31 декабря 2013 г.

На 31 декабря 2012 г.


АКТИВ I. ВНЕОБОРОТНЫЕ АКТИВЫ Нематериальные активы

1110

40




Результаты исследований и разработок

1120





Нематериальные поисковые активы

1130





Материальные поисковые активы

1140





Основные средства

1150

18090

15759


Доходные вложения в материальные ценности

 1160





Финансовые вложения

1170





Отложенные налоговые активы

1180





Прочие внеоборотные активы

1190





Итого по разделу I

1100

15842

18090

15759


II. ОБОРОТНЫЕ АКТИВЫ Запасы

 1210

 21305

 15430

 16091


Налог на добавленную стоимость по приобретенным ценностям

 1220





Дебиторская задолженность

1230

37203

18534

27029


Финансовые вложения (за исключением денежных эквивалентов)

 1240





Денежные средства и денежные эквиваленты

 1250

 46319

 18718

 33434


Прочие оборотные активы

1260





Итого по разделу II

1200

104827

52682

76554


БАЛАНС

1600

120669

70772

92313


Пояснения

Наименование показателя

Код

На 31 декабря 2014 г.

На 31 декабря 2013 г.

На 31 декабря 2012 г.


ПАССИВ III. КАПИТАЛ И РЕЗЕРВЫ Уставный капитал (складочный капитал, уставный фонд, вклады товарищей)

1310

1265

1265

1265


Собственные акции, выкупленные у акционеров

 1320





Переоценка внеоборотных активов

1340





Добавочный капитал (без переоценки)

1350

100

100

100


Резервный капитал

1360





Нераспределенная прибыль (непокрытый убыток)

 1370

 46160

 40891

 38441


Итого по разделу III

1300

47525

42256

39806


IV. ДОЛГОСРОЧНЫЕ ОБЯЗАТЕЛЬСТВА Заемные средства

1410

1472

317

932


Отложенные налоговые обязательства

1420





Оценочные обязательства

1430





Прочие обязательства

1450





Итого по разделу IV

1400

1472

317

932

V. КРАТКОСРОЧНЫЕ ОБЯЗАТЕЛЬСТВА Заемные средства

1510





Кредиторская задолженность

1520

71672

28199

51575


Доходы будущих периодов

1530





Оценочные обязательства

1540





Прочие обязательства

1550





Итого по разделу V

1500

71672

28199

51575


БАЛАНС

1700

120669

70772

92313



Приложение 2

Отчет о прибылях и убытках

за период с 1 января по 31 декабря 2014 г.


Коды

Форма по ОКУД

0710002

Дата (число, месяц, год)

31

12

2011

Организация ЗАО "Слав-Строй " по ОКПО

11410563

Идентификационный номер налогоплательщика ИНН

7715100315/77150100

Вид экономической деятельности Строительство по ОКВЭД

45.21.1

Организационно-правовая форма/форма собственности

67

16

Частная по ОКОПФ/ОКФС



Единица измерения: тыс. руб. (млн. руб.) по ОКЕИ

384

Местонахождение (адрес) 109144 г. Москва ул. Южнопортовая д.7


Пояснения

Наименование показателя

Код

За отчетный период 2014 г.

За отчетный период 2013 г.


Выручка

2110

375044

289932


Себестоимость продаж

2120

 (359740)

 (281461)


Валовая прибыль (убыток)

2100

15304

8471


Коммерческие расходы

2210

 ()

 ()


Управленческие расходы

2220

 (5261)

 (5014)


 Прибыль (убыток) от продаж

2200

10043

3457


Доходы от участия в других организациях

2310




Проценты к получению

2320




Проценты к уплате

2330

 ()

 ()


Прочие доходы

2340

162083

200101


Прочие расходы

2350

 (165540)

 (200495)


 Прибыль (убыток) до налогообложения

2300

6586

3063


Текущий налог на прибыль

2410

 (1317)

 (613)


в т. ч. постоянные налоговые обязательства (активы)

2421




Изменение отложенных налоговых обязательств

2430




Изменение отложенных налоговых активов

2450




Прочее

2460




 Чистая прибыль (убыток)

2400

5269

2450

 

Приложение 3

Отчет о прибылях и убытках

за период с 1 января по 31 декабря 2013 г.


Коды

Форма по ОКУД

0710002

Дата (число, месяц, год)

31

12

2012

Организация ЗАО "Слав-Строй " по ОКПО

11410563

Идентификационный номер налогоплательщика ИНН

7715100315/77150100

Вид экономической деятельности Строительство по ОКВЭД

45.21.1

Организационно-правовая форма/форма собственности

67

16

частнаяпо ОКОПФ/ОКФС



Единица измерения: тыс. руб. (млн. руб.) по ОКЕИ

384

Местонахождение (адрес) 109144 г. Москва ул. Южнопортовая д.7


Пояснения

Наименование показателя

Код

За отчетный период 2013 г.

За отчетный период 2012 г.


Выручка

2110

289932

340870


Себестоимость продаж

2120

 (281461)

 (314061)


Валовая прибыль (убыток)

2100

8471

26809


Коммерческие расходы

2210

 ()

 ()


Управленческие расходы

2220

 (5014)

 (21995)


 Прибыль (убыток) от продаж

2200

3457

4814


Доходы от участия в других организациях

2310




Проценты к получению

2320




Проценты к уплате

2330

 ()

 ()


Прочие доходы

2340

200101



Прочие расходы

2350

 (200495)

 (3513)


 Прибыль (убыток) до налогообложения

2300

3063

1301


Текущий налог на прибыль

2410

 (613)

 (312)


в т. ч. постоянные налоговые обязательства (активы)

2421




Изменение отложенных налоговых обязательств

2430




Изменение отложенных налоговых активов

2450




Прочее

2460




 Чистая прибыль (убыток)

2400

2450

989