Материал: Мембранные способы переработки молочного сырья

Внимание! Если размещение файла нарушает Ваши авторские права, то обязательно сообщите нам

В молочной промышленности чаще всего используются цилиндрические и тарельчато-рамочные конфигурации, однако вследствие высоких капитальных и эксплуатационных затрат этих конфигураций, они заменяются спиральными модулями для тех продуктов, которые требуют более низких концентраций (менее 15%) [5].

Электродиализ

Электродиализ - это перенос ионов из одного раствора в другой, который осуществляется через мембрану, под действием электрического поля, которое создается электронами, расположенными по обе части мембран. Электродиализу подвержены только те вещества, которые при растворении диссоциируют на ионы или образуют заряженные комплексы. Электро-нейтральные вещества(лактоза) в процессе не участвуют.

Электродиализ - один из наиболее эффективных способов деминерализации МС. Суть этого процесса - селективная ионитовая мембрана, находясь в контакте с раствором, под влиянием электрического поля пропускает ионы одного заряда и служит барьером для ионов противоположного заряда.

В настоящий момент в молочной промышленности электродиализной обработке подвергают молочную сыворотку с целью ее деминерализации, что снижает количество находящихся в сыворотке минеральных солей. В ней, кроме белков и лактозы, содержится большое количество минеральных солей, что затрудняет ее переработку на продукты питания, особенно для детей. Отделение сыворотки от минеральных солей при помощи электродиализа в 8-10 раз дешевле, чем при использовании для этой цели ионообменных смол.

Биологическая ценность сыворотки обусловлена содержащимися в ней белковыми азотистыми веществами, углеводами, липидами, минеральными солями, витаминами, органическими кислотами, что характеризует ее, как биологически активную жидкость. Сывороточные белки богаты дефицитными незаменимыми аминокислотами, что позволяет отнести их к наиболее биологически ценной части белков молока. Находящийся в сыворотке в количестве 0,1-0,3 % жир более диспергирован, чем в молоке, что положительно влияет на его усвояемость.

В молочной сыворотке разнообразный минеральный состав. В ней содержатся практически все соли и микроэлементы молока, преобладают калий, натрий, кальций, магний, железо, и микроэлементы. Минеральные вещества в сыворотке находятся в состоянии молекулярного раствора или в коллоидном - в виде солей органических и неорганических кислот. Значительна витаминная ценность сыворотки. В ней остаются почти все водорастворимые витамины молока, а в некоторых случаях их оказывается больше, чем в молоке, за счет синтеза молочнокислыми бактериями. В молочную сыворотку переходит примерно до 50% жирорастворимых витаминов молока [12].

Однако, при использовании сыворотки возникают недостатки, такие как повышенная титруемая кислотность, большое количество соли, но решить данную проблему возможно подвергнув молочную сыворотку электродиализу. В странах с развитой молочной промышленностью все более широко применяется электродиализная обработка сыворотки. Использование этого процесса в технологии молока дает возможность получить дополнительный источник углеводсодержащего сырья, при правильной переработке которого значительно повышается эффективность работы молокоперерабатывающих предприятий, организуется безотходное производство молочного сырья, а так же расширяется ассортимент вырабатываемых продуктов. Основные направления переработки и использования деминерализованной молочной сыворотки на основе электродиализа: детское питание, молочно-белковые концентраты, сиропы, напитки, лечебные и диетические продукты, мороженое, сыры и др.

В отличие от НФ электродиализ позволяет проводить деминерализацию молочного сырья до уровня 95 %. При этом большим преимуществом процесса электродиализа является возможность регулирования кислотности молочного сырья, что очень актуально при переработке кислой молочной сыворотки - творожной, казеиновой.

Показатели подсырной сыворотки до деминерализации

Сырье

Массовая доля, %

Кислотность


Сухих веществ

в том числе, %

титруемая

активная



белка

жира

лактозы

Т

рН

Сыворотка подсырная

5,6+0,15

0,68+0,3

0,3+0,02

4,4+0,01

13+0,5

5,8+0,01


Показатели подсырной сыворотки после деминерализации

Сырье

Массовая доля, %

Кислотность


Сухих веществ

в том числе, %

титруемая

активная



белка

жира

лактозы

Т

рН

Сыворотка подсырная

5,5+0,15

0,67+0,3

0,3+0,02

4,4+0,01

12+0,5

6,3+0,01

Применение электродиализа в разработанной технологии позволяет использовать любую сыворотку, в т.ч. и кислую, что открывает широкие возможности по ее применению [6].

Прошедшая необходимую обработку молочная сыворотка используется для нормализации молока, полученное при этом нормализованное молоко может быть использовано при производстве таких молочных продуктов как молоко питьевое, кисломолочные напитки, творог и творожные изделия. При этом получаемые продукты по своим органолептическим показателям идентичны молочным продуктам, вырабатываемым по классической технологии, а их биологическая ценность значительно выше за счет увеличения содержания сывороточных белков молока [13] .

Следует отметить, что регулирование кислотности молочной сыворотки методом электродиализа позволяет значительно улучшить ее технологические свойства с целью дальнейшей переработки и использовании. Удаление молочной кислоты обеспечивает снижение времени кристаллизации и улучшение процесса сушки, понижение гигроскопичности сухой сыворотки, повышение степени ее растворимости. Использование процесса электродиализа позволяет организовать на молочном предприятии переработку на пищевые цели любого вида молочной сыворотки как сладкой или соленой подсырной, так и кислой - творожной и казеиновой.

Преимущества переработки молочной сыворотки с использованием электродиализа:

·              Стандартизация сырья по минеральному составу;

·              Стандартизация сырья по кислотности (не зависимо от вида сыворотки ее кислотность будет не более 16 °Т);

·              Улучшение органолептических показателей - что расширяет спектр ее использования;

·              Снижение гидроскопичности сыворотки;

·              Повышение степени растворимости;

·              Снижение времени кристаллизации лактозы в сыворотке;

·              Улучшение процесса сушки;

·              Снижение себестоимости продукта за счет уменьшения времени кристаллизации;

·              Повышение рентабельности производства;

Продукты, получаемые с использованием деминерализованной молочной сыворотки:

·              Сгущенные молочные продукты;

·              Цельномолочные продукты;

·              Лактоза, лактулоза;

·              Напитки на основе сыворотки;

·              Заменители женского молока;

·              Продукты детского питания;

·              Смеси для мороженого [5,6].

Диафильтрация

Диафильтрация - это вариант мембранного разделения, при котором происходит очистка одного или нескольких компонентов раствора от примесей другого (других) компонентов. При диафильтрации в раствор вводится растворитель (обычно - чистая вода) с расходом, равным расходу отбираемого пермеата. Тот из компонентов, по отношению к которому мембрана высокоселективна, задерживается мембраной и очищается от компонента, по отношению к которому мембрана низкоселективна, поскольку он переходит вместе с растворителем в пермеат.

Для более полной очистки белкового концентрата, получаемого в результате УФ, от лактозы применяют диафильтрацию. Это частный случай УФ, при котором полученный в результате УФ белковый концентрат разбавляют деминерализованной водой и вновь подвергают УФ до исходной массовой доли сухих веществ. Некоторая часть лактозы и минеральных веществ при этом вымывается из белкового концентрата и проходит вместе с растворителем через мембрану. Сывороточный белковый концентрат, полученный методом УФ, имеет высокую растворимость в воде, хорошие эмульгирующие, пенообразующие и гелеобразующие свойства.

Диафильтрацию проводят с целью более полного удаления лактозы и зольных элементов из сывороточного концентрата. Для этого концентрат разбавляют водой из расчета 9 объемов воды на 1 объем концентрата. В процессе диафильтрации концентрацию сухих веществ доводят до 22-25%. Процесс диафильтрации ведут аналогично процессу УФ. Массовую долю сухих веществ в УФ концентрате, как и в белковом (после диафильтрации), определяют на анализаторе молока АМ-2 (разведение концентрата в 2 раза) или на рефрактометре [9].

Индивиндуальное задание

Определить теоретический и нормативный расход обезжиренного молока с содержанием сухих веществ 8,4% на выработку 1 т нежирного творога с содержанием сухих веществ 20%. Определить степень использования молока и сухих веществ в производстве творога, сухие вещества в сыворотке 6,0%, потери 0,7.

Вычислим массу обезжиренного молока Моб.м. по формуле 1:

(1)


Найдем выход теоретический Вт по формуле 2:

(2)


Найдем выход нормативный Вн по формуле 3:

(3)


Найдем выход фактический Вф по формуле 4:

(4)


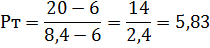
Расчитали теоретический расход Рт по формуле 5:

Рассчитали нормативный расход Рн по формуле 6:

(6)


Рассчитали фактический расход Рф по формуле 7:

(7)


Определили степень использования по формуле 8:

(8)


Заключение

Достижения в технологии фракционирования и модификации компонентов молока путем УФ, электродиализа, обратного осмоса обусловили более широкое применение молочных ингредиентов в различных отраслях промышленности (хлебопекарной, кондитерской, мясной). Применение мембранных процессов в молочной промышленности привело к созданию малоотходного производства, позволяющего повысить эффективность использования сырья на пищевые цели. В результате применения мембранных процессов все сухие вещества молока оказываются полностью переработанными в полноценные продукты питания. Это позволяет увеличить выработку товарной продукции из единицы сырья и снизить ее себестоимость. Продукты УФ нашли применение в производстве молочных напитков, сыров и творога. Внедрение УФ на сыродельных заводах позволяет увеличить выход сыров на 15-20 % за счет использования сывороточных белков концентрата сыворотки, сократить расход сычужного фермента на 75-80%.

Мембранные процессы открывают широкие возможности для производителей молочной продукции:

·        регулировать состав сырья, концентрируя желаемые и удаляя нежелательные компоненты;

·        обеспечивать микробиологическую безопасность и сохранение нативных свойств;

·        максимально увеличить степень переработки сырья;

·        дают возможность экономить энергоресурсы, воду и расходные материалы;

·        оптимизировать и повышать эффективность производства.

Очевидна перспектива использования мембранных методов для переработки молочной сыворотки с целью извлечения отдельных компонентов, в первую очередь белков и лактозы. Комплексное использование различных методов мембранной фильтрации на предприятиях открываетширокие возможности как в производстве новых видов молочных продуктов, так и в совершенствовании традиционных сыров, творога, ферментированных продуктов и напитков.

Таким образом, применение мембранных процессов в молочной промышленности дает возможность по-новому взглянуть на традиционные технологии переработки молочного сырья. Технические характеристики мембранного оборудования способствуют снижению себестоимости готовой продукции и повышению ее качества, а технологически грамотное применение данного оборудования открывает перед переработчиками молока новые возможности в совершенствовании технологических процессов и создании новых видов продукции.

Литература

.Берговин А.М. Мембранная фильтрация в молочной отрасли // Переработка молока. 2009. № 10.

.Двинский Б.М. «Второе пришествие» нанотехнологий в молочную промышленность России // Молочная промышленность. 2010. № 1.

. Евдокимов И.А., Володин Д.Н. Гибридные мембранные технологии молочной сыворотки // материалы Международной научно-практической конференции «Обеспечение качества и хранимоспособности продуктов сыроделия и маслоделия в современных условиях». - Углич: ВНИИМС, 2011.

.Евдокимов И.А., Володин Д.Н., Бессонов А.С., Золоторева М.С., Поверин А.П. Реальные мембранные технологии // Молочная промышленность. 2010. № 1.

.Евдокимов И.А. Технологии переработки молочной сыворотки для получения продуктов функционального питания // Сб. матер. VIспециализир.конгр. -Барнаул, 2008. - С.45-47.

.Евдокимов И.А. Трансформация научных исследований в области деминерализации молочной сыворотки в промышленное производство / И.А.Евдокимов // Науч. практ. конф. «Трансформация научных исследований в производство - основа перехода молочной отрасли на инновационную модель развития». - Адлер, 2008. - С. 34-35

.Крусь Г.Н., Храмцов А.Г., Волотикина З.В., Карпычев С.В. Технология молока и молочных продуктов//Под редакцией Шалыгиной А.М..-М.: КолосС, 2007.-455 с.

. Продукты, получаемые с помощью методов мембранной фильтрации // Молочная промышленность. 2010. № 1.

.Храмцов А.Г. Адаптация доктрины нанобиомембранных технологий на основе кластеров молочной сыворотки// Молочная промышленность. 2010. № 1.

.Шалыгина А. М., Калинина Л.В. Общая технология молока и молочных продуктов.-М.:КолосС, 2007.-199 с

.Шейфель О.А. «БИОХИМИЯ». МОЛОКА И МОЛОЧНЫХ ПРОДУКТОВ КОНСПЕКТ ЛЕКЦИЙ. Для студентов ССУЗов- Кемерово 2010.-126 с

13.<http://gendocs.ru/v5385/лекции_-_биотехнология_продуктов_из_молочного_белково-углеводного_сырья>.


Не нашли материал для своей работы?
Поможем написать уникальную работу Без плагиата!