Материал: Масловская А.А. Биохимия гормонов

Внимание! Если размещение файла нарушает Ваши авторские права, то обязательно сообщите нам

Биологические эффекты этих двух вторых посредников реализуются по-разному. ДАГ активирует Са2+-зависимую протеинкиназу С, которая катализирует фосфорилирование внутриклеточных ферментов, изменяя их активность. ИФ3 связывается со специфическим рецептором на ЭПР, способствуя выходу из него Са2+ в цитоплазму. Далее Са2+ связывается с

кальмодулином и активирует Са2+-кальмодулин-зависимую протеинкиназу, которая катализирует фосфорилирование ферментов, изменяя их активность (рис. 5).

Рис. 5. Система вторых посредников – диацилглицерола и инозитолтрифосфата

ЖК – жирная кислота, И – инозитол, Ф – фосфат неорганический

11

Механизм действия стероидных гормонов и тироксина

Рецепторы к этим гормонам находятся внутри клетки, в цитоплазме. Гормон легко и быстро проникает через мембрану внутрь клетки, взаимодействует с рецептором с образованием гормон-рецепторного комплекса. Этот комплекс переносится в ядро, где связывается с ядерным хроматином в определенном участке ДНК. С этого участка ДНК начинается синтез специфических мРНК, которые затем выходят в цитоплазму и служат матрицей для синтеза ферментов или других белков, необходимых клетке и обеспечивающих ответ клетки на действие гормона (рис. 6).

Рис. 6. Механизм действия стероидных гормонов и тироксина

12

Таким образом, под действием пептидных гормонов и адреналина в клетке изменяется активность ферментов; стероидные гормоны и тироксин приводят к изменению количества ферментов.

ГОРМОНЫ ЩИТОВИДНОЙ ЖЕЛЕЗЫ

Вщитовидной железе синтезируются тиреоидные гормоны –

тироксин (Т4) и трииодтиронин (Т3). Для синтеза этих гормонов необходим иод, который активно захватывается из крови клетками фолликулов щитовидной железы. Тироксин и трииодтиронин являются производными аминокислоты тирозина. Тироксин содержит

всвоей молекуле 4 атома иода, в состав трииодтиронина входит 3 атома иода.

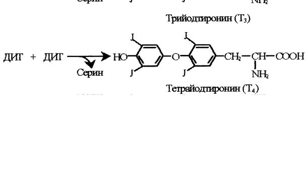
Вклетках эпителия фолликулов щитовидной железы находится белок тиреоглобулин. Это гликопротеин, содержащий много остатков аминокислоты тирозина (около 3 % от массы белка). Синтез тиреоидных гормонов идет из тирозина и атомов иода именно в составе молекулы тиреоглобулина и включает 2 стадии. На апикальных мембранах клеток фолликулов сначала происходит иодирование тирозина с образованием моноиодтирозина (МИТ) и дииодтирозина (ДИТ). Следующим этапом является конденсация МИТ и ДИТ с образованием Т3 и Т4 (рис. 7).

Рис. 7. Схема синтеза тиреоидных гормонов

13

Такая иодированная молекула тиреоглобулина секретируется в просвет фолликула, в коллоид. Когда в щитовидную железу приходит сигнал в виде ТТГ (тиреотропного гормона), клетки фолликула захватывают капельки коллоида вместе с тиреоглобулином, ферменты лизосом протеазы гидролизуют белок до аминокислот, и готовые Т3 и Т4 поступают в кровь.

В крови тиреоидные гормоны связываются с белкомпереносчиком и в таком виде транспортируются в ткани-мишени. Концентрация Т4 в крови в 10 раз больше, чем Т3, поэтому Т4 называют главной формой тиреоидных гормонов в крови. Но Т3 в 10 раз активнее, чем Т4.

Ткани-мишени для тиреоидных гормонов – это все ткани, кроме селезёнки и семенников.

В тканях-мишенях тиреоидные гормоны освобождаются от белка и поступают в клетку. В клетках 90 % Т4 теряет 1 атом иода и превращается в Т3. Таким образом, главной внутриклеточной формой гормона является Т3.

Действие тиреоидных гормонов на организм зависит от концентрации этих гормонов в крови: в физиологических дозах они оказывают анаболическое действие, в больших дозах – катаболическое.

Действие физиологических (нормальных) концентраций Т4

Главное действие физиологических концентраций тиреоидных гормонов направлено на синтез белка и на энергетический обмен.

Действие Т4 на синтез белка. Через рецепторы цитоплазмы гормон действует на хроматин ядра, в результате чего увеличивается синтез нуклеиновых кислот (ДНК, мРНК) и белка. Наработка новых молекул белка ускоряет рост, деление и дифференцировку клеток, что особенно важно для растущего организма.

Тиреоидные гормоны абсолютно необходимы для структурного, биохимического и функционального созревания мозга. Считают, что в ЦНС клетки продолжают делиться в течение 1-1,5 лет после рождения. Поэтому если в этот период или еще до рождения возникает дефицит тиреоидных гормонов (гипотиреоз), это приводит к снижению синтеза белка во всем организме и, в частности, в мозговой ткани, нарушается процесс дифференцировки коры больших полушарий и мозжечка, и развивается умственная и

14

физическая отсталость. Гипотиреоз у детей называется кретинизм. Чем раньше возникает дефицит тиреоидных гормонов, тем сильнее это сказывается на задержке развития ЦНС. Поэтому, чрезвычайно важна ранняя диагностика гипотиреоза, чтобы своевременно назначить адекватное лечение и избежать умственной отсталости.

Действие Т4 на энергетический обмен. Тиреоидные гормоны активируют энергетический обмен, т.е. расходование и синтез АТФ. Поскольку одновременно активируются 2 противоположно направленных процесса, между ними сохраняется равновесие. Внешне это проявляется увеличением потребления кислорода тканями и образованием тепла для поддержания нормальной температуры тела.

Молекулярный механизм действия тиреоидных гормонов на энергетический обмен заключается в следующем. Тиреоидные гормоны увеличивают расходование АТФ на энергозависимые процессы, в результате чего образуется АДФ. АДФ является активатором цепи тканевого дыхания (ЦТД), где из АДФ вновь образуется АТФ, которая снова расходуется на энергозависимые процессы.

Из всех энергозависимых процессов наиболее энергоёмким процессом является работа по поддержанию электрохимического градиента концентрации ионов Na+ и K+ по обеим сторонам клеточной мембраны. В процессе жизнедеятельности любая клетка, и нервная клетка в частности, может находиться в состоянии покоя и функционирования. В покое концентрация K+ в клетке больше, чем Na+, снаружи – наоборот. При функционировании клетки K+ выходит из неё, Na+ - входит в клетку.

Чтобы вернуть клетку в состояние покоя, надо выкачать из неё Na+ и ввести K+. Работу по восстановлению исходной концентрации ионов в клетке выполняет фермент Na+,K+-АТФаза. Процесс идет с затратой энергии АТФ, в результате чего образуется АДФ и Фн. Na+,K+-АТФаза содержится в мембране всех клеток и является важнейшим ферментом для нормального функционирования нервной ткани. Важно отметить, что на работу Na+,K+-АТФазы расходуется бóльшая часть энергии клетки (от 20 до 80 %, в среднем 50 % клеточных запасов АТФ).

Тиреоидные гормоны стимулируют Na+,K+-АТФазу, тем самым увеличивая расщепление АТФ и образование АДФ и Фн в цитоплазме. АДФ затем переносится из цитоплазмы в митохондрию,

15