Материал: Малый бизнес в России: сущность, роль в экономике страны, преимущества и недостатки.

Внимание! Если размещение файла нарушает Ваши авторские права, то обязательно сообщите нам

Рис.1. Анализ сегмента малых предприятий [6]

Выделим факторы, препятствующие развитию малого бизнеса в России.

Во-первых, направленность государственной поддержки преимущественно на крупный бизнес. Развитие сетевой торговли с регистрацией в офшорных зонах, собственниками которых являются государственные служащие. Законодательная дискриминация мелкой розницы в пользу крупных розничных сетей подтверждает указанный фактор.

В городах растет количество крупных сетевых магазинов, малый бизнес поставлен в условия жесткой конкуренции.

Во-вторых, коррупция на всех уровнях. Системная коррупция угрожает национальной безопасности России. Бегство капиталов (в 2010г. более 38 млрд. долл.), отсутствие инвестиций, в первую очередь в несырьевой сектор, стимулируют превращение России в сырьевой придаток не только Запада, но уже и Китая. Борьба с коррупцией - одна из основных задач правительства на ближайшие годы, на что указал В.В. Путин: «Есть исторический соблазн победить коррупцию путем репрессий - борьба с коррупцией, безусловно, предполагает применение репрессивных мер. Тем не менее, проблема здесь принципиально глубже». Чтобы решить проблему взяточничества, необходимо сделать борьбу с этим явлением общенациональным делом.

В-третьих, эмиграция. Каждый год Россию покидают от 100тыс. до 150тыс. чел. С 2001 по 2011г. Россию покинуло около 30тыс. финансистов, предпринимателей и бизнесменов. Многие из них объясняют свой отъезд невозможностью легально вести дела, а сотрудничать с коррумпированными чиновниками или рисковать своей свободой многие не хотят. Бизнесмены также говорят об ухудшении экономической ситуации - экономический рост в России в последнее время снизился с 8 до 3% в год.

В-четвертых, высокие процентные ставки на финансирование бизнеса, трудности с получением банковских кредитов, отсутствие лояльных программ start-up для предпринимателей, только начинающих свою деятельность, недостаточность начального капитала и собственных оборотных средств.[1]

Для сравнения степени развития малого бизнеса за 10 лет в России (в частности, докризисного, кризисного и посткризисного этапов) использовалась методика на основе расчета индекса развития малого предпринимательства . Расчет его производится для «методической поддержки обеспечения принятия управленческих решений в малом бизнесе, в том числе в отдельных его секторах».

Результаты расчета индекса развития малого предпринимательства в России приведены в табл. 1.

 

Таблица 1

Показатели развития малого бизнеса в России 2001-2012гг.

Показатель

2001

2002

2003

2005

2006

2007

2008

2009

2010

2011

2012

Число малых предприятий, тыс.

843

882

893

953

979

1033

1137

1348

1602

1266

1644

1836

Инвестиции в основной капитал, млн. руб.

44

51

67

99

121

171

259

472

346

775

432

139

Среднесписочная численность работников, тыс. чел.

6484

7220

7459

7815

8045

8583

9239

10437

10248

13732

10422

6312

Оборот малых предприятий, млн. руб.

853

1161

1686

2230

9613

12099

15469

18728

16873

26350

22613

16800

Индекс развития малого предпринимательства

-

8

9

15

7

14

17

28

-2

-10

-24


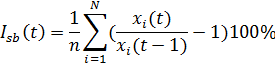
Индекс развития малого предпринимательства рассчитывается по формуле:


где N-количество показателей в группе;

-номер показателя в группе;

-значение показателя в момент времени t.

Представленные значения индекса позволяют выделить в развитии малого бизнеса России несколько этапов:

активация(2002-2004гг.);

спад(2005г.);

активация(2006-2008гг.);

пик(20008г.);

кризис(2009г.);

активация(2010г.);

спад(2011-2012гг.).

Если говорить о прогнозе, наблюдается общая тенденция спада развития малого предпринимательства. Значительное падение индекса наблюдается в 2008-2009гг. (посткризисный период).

На этапе выхода экономики из кризиса наибольшее влияние на положительную динамику индекса развития малого предпринимательства оказал оборот малых предприятий. Это говорит о том, что малые предприятия оказывают положительное влияние на экономический рост. [1]

Прогнозирование экономической ситуации, как на уровне отдельного предприятия, так и в целом на региональном и национальном уровне является важнейшей задачей в системе управления. Прогноз развития национальной экономики, ежегодно публикуемый Минэкономразвития России, является не только базовым документом, отражающим перспективы развития российской экономики, но и документом, позволяющим внешним пользователям определить основные тренды в социально-экономической политике государства. legascom.ru

В сентябре 2012 года был опубликован Минэкономразвитием РФ Прогноз социально-экономического развития страны на 2013 год и планируемый период 2014 - 2015 гг.

В документе отражены мероприятия по развитию отечественной экономики. В сфере малого предпринимательства можно отметить следующие:

содействие развитию лизинга оборудования малых организаций (гранты на уплату первого взноса, лизинг оборудования, поддержка мобильных платформ);

поддержка малых компаний в сфере инноваций (субсидии инновационным компаниям, инновационные гранты, программы обучения, поддержка компаний, выходящим на биржу);

создание частной инфраструктуры поддержки предпринимательства: гарантийные фонды, микрофинансовые центры, фонды прямых инвестиций;

грантовая поддержка начинающих предпринимателей в увеличенном объеме (уволенные в запас, безработные, поддержка социального предпринимательства);

создание различных структур: промышленных парков, бизнес-инкубаторов, центров коллективного доступа к оборудованию, центров предпринимательства, технопарков, центров прототипирования, центров кластерного развития, центров дизайна.

поддержка экспорта товаров, производимых малыми компаниями (гранты начинающим экспортерам, создание центров поддержки экспорта).

В целом все перечисленные механизмы поддержки малых и средних предприятий давно известны и повторяются. Многие показали свою эффективность. Например, бизнес-инкубаторы оказывают значительную поддержку малого предпринимательства на начальных стадиях, для получения этой поддержки достаточно иметь бизнес идеи, воплощенные в бизнес-плане.

Минэкономразвития планирует в 2012 - 2015 гг. реализовать ряд мероприятий для совершенствования законодательных норм в сфере малого и среднего предпринимательства, а именно: доступность аренды государственного имущества, продажа государственных помещений, упрощенный и дешевый доступ к коммунальной инфраструктуре, упрощение требований по ведению бухгалтерского учета, уменьшение административных барьеров, доступность банковского кредитования, совершенствование трудового законодательства. [7]

Также хотелось бы рассмотреть развитие малого предпринимательства в Республике Башкортостан.

Основным направлением структурной перестройки экономики и проведение эффективной социально-экономической политики в Республике Башкортостан является обеспечение устойчивого развития сферы малого предпринимательства.

За последние годы число субъектов малого предпринимательства в РБ увеличилось почти в 1,7 раза и на конец 2009г. Составило 31 172, оборот организаций вырос до 402 983 млн. руб.(табл.2).

 

Таблица 2

Показатели развития малого предпринимательства в РБ


2005

2006

2007

2008

2009

Число предприятий (на конец года), ед.

19340

20458

23292

25648

31172

Среднесписочная численность работников предприятий, чел.

229736

32618

325802

299090

284513

Оборот организаций, млн. руб.

184190

263047

300122

470527

402983

Рентабельность продукции, %

2,0

2,0

2,9

2,2

2,9


Статистические данные свидетельствуют о том, что в динамике по обороту малых предприятий и количеству субъектов в регионе наблюдается рост показателей. Однако по числу малых предприятий на 100 тыс. человек республика занимает 53 место в России, а по темпу роста оборота - 57 место.

В настоящее время каждый третий представитель экономически активного населения региона занят предпринимательской деятельностью. При этом с 2007г. Доля доходов от предпринимательской деятельности в среднедушевых доходах сократилась с 18,7 до 14,2%. Это свидетельствует о том, что предпринимательство для населения не является привлекательной сферой деятельности и не выполняет своей главной функции - повышение уровня жизни через рост доходов.

«Российский банк развития» выделил на поддержку малого и среднего бизнеса более 18,9 млрд. руб., в республике банками-контрагентами размещена сумма в 917,9 млн. руб., что составляет 4,8%.

В результате в рейтинге Минэкономразвития России по уровню развития предпринимательства республика занимает 31 место (2,7 балла из 10 возможных), по эффективности региональных программ - 42 из 49.

По данным Минэкономразвития РБ, коэффициент корреляции между долей малых предприятий в валовом региональном продукте и долей налоговых поступлений по специальным налоговым режимам в бюджеты всех уровней составляет незначительную величину - 0,013. Таким образом, анализ подтвердил фактическое отсутствие статистически значимой связи между объектами поддержки и результатами деятельности малых предприятий.

С целью создания условий для устойчивого развития сферы малого предпринимательства в республике целесообразно разработать и осуществить комплекс дополнительных мер по формированию благоприятных правовых и социально-экономических условий для реализации целостной системы государственной и общественной поддержки, в том числе необходимы: совершенствование региональной правовой базы развития малого бизнеса; формирование атмосферы общественного признания малого предпринимательства; организация обучения и дальнейшей поддержки предпринимателей, способных осуществлять инновационную деятельность в различных сферах экономики и реализующих эти возможности в практической деятельности; эффективное управление муниципальной и региональной собственностью, грамотное проведение приватизации; разработка системы взаимосвязанных комплексных региональных программ по поддержке малого предпринимательства; стимулирование привлечения инвестиций в сферу малого бизнеса; формирование конкурентной среды, способствующей развитию экономической состязательности, в которой конкурентные преимущества обеспечиваются за счет непрерывного обновления технологий и техники, инновационного менеджмента и маркетинга. Это окажет положительное влияние на развитие предпринимательства в республике, что обеспечит стабилизацию экономических процессов, активизацию научно-технической деятельности малых предприятий, обусловит улучшение инвестиционной ситуации в регион, позитивные структурные изменения в малом бизнесе, укрепление социальной базы экономических преобразований.[8]

5. Формирование механизма стратегического управления малым предпринимательством

малый бизнес управление

В соответствии с вышесказанным механизм эффективного стратегического управления МП состоит из следующих последовательных и взаимосвязанных процессов:

стратегический анализ внешней и внутренней среды;

выбор базовой(типовой) стратегии развития МП;

синхронизация со стратегиями более высокого уровня;

формулировка приоритетных отраслей специализации МП;

разработка программ в виде совокупности межведомственных мероприятий и системы критериев и показателей развития МП;

разработка механизма контроля реализации мероприятий на всех уровнях;

перестройка сложившейся системы управления.[9]

Стратегия развития любого предприятия вне зависимости от отраслевой принадлежности производна от целей и мотивации его собственников и руководителей. Некоторые исследователи теории принятия решений отмечают, что специфика отношения к развитию бизнеса малых компаний связана с концентрацией собственности и функций управления у ограниченного круга заинтересованных сторон. В современных условиях внешней среды, характеризующихся высокой турбулентностью и гетерогенностью, вызванными глобализацией и революцией в сфере высоких технологий, достижение индивидуально-детерминированных целей управленцев-собственников малых предприятий невозможно без учета проблемы финансирования. Отсутствие в России гибких механизмов государственно-частного партнерства, инвестиционных фондов, ориентированных на работу с предприятиями реального сектора экономики, дороговизна банковских кредитов и привлечения средств с рынка ценных бумаг оставляют единственным источником развития собственные средства малых предприятий.

Практика использования общих моделей и инструментов стратегического менеджмента без уточнения особенностей малого бизнеса представляется не совсем верной как минимум по причине разных финансовых возможностей. В то же время является сильной позиция исследователей, выделивших в качестве одной из причин большого числа банкротств малых структур «недостаток стратегического планирования» и указывающих на высокую роль стратегического управления в достижении успешности.[10]

Библиографический список


1. Любушкин Н.П. Анализ развития малого бизнеса в современных условиях[Текст]/Н.П. Любушкин, Е.С. Ионова//Экономический анализ: теория и практика. - 2013. - №32(335).

. Сергеев И.В., Веретенникова И.И. Экономика организаций (предприятий): учеб./под ред. И.В. Сергеева. - 3-е изд., перераб. и доп. - М.: ТК Велби, Изд-во Проспект, 2005

3. «Роль малого предпринимательства в экономике». Электронный ресурс: www.bizsmall.ru <http://www.bizsmall.ru>

. Фадеева Е.А. Анализ современного состояния малых предприятий в России [Текст] / Е.А. Фадеева, А.А. Маргарян // Молодой ученый. - 2014. - №4.

. Перечнева И., Анализ инвестиционной активности бизнеса // Эксперт-Урал. - 2012. - № 48.

. Вдовин А.Н. Состояние малых и средних предприятий России[Текст]/А.Н. Вдовин// Экономический анализ: теория и практика. - 2011. - №42(249)

. «Поддержка малого предпринимательства: прогноз на 2013-2015гг». Электронный ресурс: www.legascom.ru/business-news <http://www.legascom.ru/business-news>

. Каримова А. Развитие малого предпринимательства в Республике Башкортостан[Текст]/А. Акрамова//Экономика и управление. - 2012. - №2

. Медков А.Д. Формирование механизма стратегического управления малым предпринимательством[Текст]/А.Д. Медков//Российское предпринимательство. - 2014. - №13(259)

. Мурая Е.Н. Анализ внешней среды в рамках стратегического управления малым предприятием[Текст]/Е.Н. Мурая, А.А. Прокофьев//Экономический анализ: теория и практика. - 2010. - №24(189)