Материал: Місцезростання та анатомо-морфологічна характеристика отруйних рослин

Внимание! Если размещение файла нарушает Ваши авторские права, то обязательно сообщите нам

Хімічна класифікація отруйних рослин враховує хімічну природу токсичних речовин. Виділяють рослини, що містять алкалоїди , глікоалкалоїди, серцеві глікозиди, сапоніни, токсичні органічні кислоти (синильну, щавлеву), дубильні рочовини, лактони , смоли і бальзами, терпеноїди, ефірні олії, фенольні речовини, які можуть викликати запалення ШКТ (госипол, гіперицин та ін.), токсальбуміни - речовини білкового характеру, що викликають утворення антитіл і роблять організм стійким (імунним) до токсичних і летальних кількостей цих речовин (напр. рицин насіння рицини, робін кори робінії звичайної). Окрему групу становлять рослини, які лише при певних умовах утворюють токсини (синильну кислоту, нижчі окисли азоту) або накопичують радіонукліди й важкі метали. Серед важливих хімічних чинників отруєння - летальний метаболізм. Наприклад у шлунку глікозид вікивіцин спочатку гідролізується до глюкози і дивіцину, який розщеплюється до синильної кислоти, що посилює інтоксикацію.

Класифікація отруйні рослини ,а патологічними змінами в організмі лише частково відображає специфічну дію отруйних рослин, оскільки в більшості випадків патологоанатомічна картина має характер загального токсикозу.

Класифікація отруйних рослин за клінічною картиною отруєння корисна при встановленні діагнозу отруєння і вказує на ефективні прийоми лікування. Вона тісно пов’язана з ботанічною й хімічною: отруєння рослинами, спорідненими за систематичним положенням чи хімічним складом, схожі за клінічною картиною. Наприклад отруєння, що визначаються клінічною картиною набряку легень, частіше спричиняють рослини родини капустяних; отруєння з картиною задушних явищ - рослини родини злакових, а картину ураження серця - види, що містять серцеві глікозиди. Клінічна картина отруєнь атропіновими алкалоїдами відмінна від тієї, що спостерігається при отруєннях рослинами, які містять морфін. Проте слід враховувати, що клінічна картина при отруєннях рослинами відображає дію не чистих речовин, а суми БАР з різним кількісним співвідношенням у різних рослин. Вони не завжди діють в однаковому напрямі, а часто окремі з них навіть викликають протилежний вплив. Крім того, характер та інтенсивність дії кожної з речовин і їх комплексу залежать від внутрішніх та зовнішніх умов. Тож клінічна картина отруєння рослинами одного і того ж виду не у всіх випадках однакова.

Класифікація за характером дії на організм виділяє отруйні рослини , що уражають: ЦНС (види родів чемериця, аконіт, блекота, беладона, болиголов, цикута, дурман, коноплі, тютюн, чина, чистотіл, чилібуха тощо); серцево-судинну систему (чемерник, конвалія, види наперстянок, папороть чоловіча, жовтозілля, чемериця, олеандр, секуринега, великоголовник сафлоровидний та ін.); дихальні шляхи (переступень білий, чилібуха отруйна, зиновать віникова, пізньоцвіт, коноплі та ін.); ШКТ (види родів пізньоцвіт, тимелея, рицина, хрін, крушина, молочай, паслін, термопсис, дріоптерис, лобода та ін.); печінку (хрін звичайний, редька чорна, види родів геліотроп, жовтозілля та ін.); сечовивідні шляхи (холодок лікарський, золотушник звичайний, кислиця звичайна, любисток лікарський, яловець звичайний, переступень білий, часник та ін.); шкіру та слизові оболонки (види родів борщівник, рута, кропива, звіробій, ясенець, хрін, перець стручковий, цикламен, пастернак, лаконос, ластовень, клопогін, чистотіл, гірчиця, молочай, піретрум, сумах, проліска, переступень, тамус, кротон та ін.). Багато видів викликають водночас токсичне ураження кількох органів чи систем організму.

2.2 Адаптований перелік родів і лікарських видів, що найчастіше відносять до отруйних

(***дуже отруйні, **смертельно отруйні, *безумовно отруйні)

***Арум плямистий - Arum maculatum L., ***Бруслина - Euonymus europaea L., ***Зиновать - Cytisus L., ***Наперстянка - Digitalis L., ***Образки болотнi - Calla palustris L., ***Паслін солодко-гіркий - Solanum dulcamara L., ***Переступень - Bryonia L., ***Рододендрон - Rhododendron L., ***Тис негній-дерево (т. ягідний) - Taxus baccata L., **Аконiт (борець) - Aconitum L., **Блекота чорна - Hyoscyamus niger L., **Болиголов плямистий (омег) - Conium maculatum L., **Вовчі ягоди (вовче лико) - Daphne L., **Дурман звичайний - Datura stramonium L., д. індійський - D. innoxia Mill., **Красавка (беладона звичайна) - Atropa belladonna L., **Пізньоцвіт осінній - Colchicum autumnale L., **Рицина звичайна - Ricinus communis L., **Сумах - Rhus L., **Тимелея звичайна - Thymelaea passerina (L.) Coss. Ex Germ., **Туя - Thuja L., **Цикута отруйна (вех отруйний) - Cicuta virosa L., **Яловець звичайний - Juniperus communis L., я. казацький - J. sabina L., *Анемона - Anemone L., *Бірючина звичайна - Ligustrum vulgare L., *Бузина чорна - S. nigrаL., *Гліцинія - Wisteria Nutt., *Дрік - Genista L., *Жимолость - Lonicera L., *Жовтець - Ranunculus L., *Конвалiя звичайна - Convallaria majalis L., *Ломиніс - Clematis L., *Плющ - Hedera L., *Саротамнус віниковий - Sarothamnus scoparius (L.) Koch., Адоніс весняний (горицвіт весняний) - Adonis vernalis L. та ін. види, Алое - Aloё L., Амброзія полинолиста - Ambrosia artemisiifolia L., Амі велика -Ammi majus L. (Ammi glaucifolum L.), Аралія маньчжурська - Aralia mandshurica Rupr. et Maxim., Арека катеху (бетельна пальма) -Areca catechu L., Арніка - Arnica L., Багно звичайне - Ledum palustre L., Барвiнок малий - Vinca minor L., б. великий - Vinca major L., Бобівник трилистий - Menyanthea trifoliuata L., Буркун жовтий (б. лікарський) - Melilotus officinalis (L.) Pall., Васильки справжні (базилік камфорний) - Осіmum basilicum L., Великоголовник сафлоровидний (рапонтикум, маралій корінь) - Rhaponticum carthamoides (Willd.) Iljin., Вороняче око звичайне - Paris quadrifolia L., Гармала звичайна - Peganum harmala L., Гіркокаштан звичайний (каштан кінський) - Aesculus hippocastanum L., Гірчак перцевий - Polygonum hydropiper L., г. почечуйний - P. persicaria L., гірчиця біла -Sinapis alba L., г. сарептська (г. сиза) - Brassica juncea (L.) Czern. (Sinapis juncea L.), г. чорна - B. nigra (L.) Koch. (S. nigra L.)., Гісоп лікарський - Hyssopus officinalis L., Гледичія звичайна (г. триколючкова) - Gleditsіа triacanthos L., Глечики жовті - Nuphar lutea (L.) Smith., Головатень звичайний (г. руський) - Echinops ritro L. (E. ruthenicus M.B.), г. шароголовий - E. sphaerocephalus L., Гранатник звичайний (гранат) - Punica granatum L., Дельфiнiй - Delphinium L., Деревій благородний - Achillea nobilis L., Діоскорея (ямс) -Dioscorea L., Елеутерокок колючий - Eleutherococcus senticosus (Rupr. et Maxim.) Maxim., Ефедра - Ephedra L., Женьшень - Panax ginseng C. A. Mey., Живокіст лікарський - Symphytum officinale L., Жовтозілля - Senecio L., Жовтушник сіруватий (ж. розлогий) -Erysinum diffusum Ehrh. (E. canescens Roth), ж. лакфіолевидний - E. cheiranthoides L., Жостір проносний - Rhamnus cathartica L., Заманиха висока (оплопанакс високий) - Echinopanax elatum Nakai., Звіробій звичайний - Hypericum perforatum L., з. плямистий - H. maculatum Crantz., іпекакуана (блювотний корінь) - Cephaёlis ipecacuanha Willd., Кавове дерево аравійське - Coffea arabica L., Картопля - Solarium tuberosum L., катарантус рожевий (барвінок рожевий) - Catharantus roseus (L.) G. Don., (Vinca rosea L.), Кокаїновий кущ - Erythroxylon coca Lam., Кола блискуча (к. загострена) - Cola acuminata Schott et Endl., Коноплі - Cannabis L., Копитняк європейський - Asarum europaeum L., Крушина вільховидна (к. ламка) - Frangula alnus Mill. (Rhamnus frangula L.), Купина -Polygonatum L., Лавровишня - Laurocerasus officilalis Roem., Латаття біле - Nymphaea alba L., Лимонник китайський - Schisandra chinensis (Turcz.) Baill., Луківка надморська (морська цибуля, ургінея, дримія) - Scilla maritima (Torn.) L. Urginea maritima (L.) Baker. (Drimia maritima), Льонок звичайний - Linaria vulgaris Mill., Мак - Papaver L., Маклея дрібноплода - Macleaya microcarpa (Maxim.) Fedde., Материнка звичайна - Origanum vulgare L. (O. dilatatum Klok.), Мачок жовтий - Glaucium flavum Crantz., Мигдаль звичайний -Amygdalus communis L., Мильнянка лікарська - Saponaria officinalis L., Молочай - Euphorbia L., Обвійник грецький - Periploca graecaL., Олеандр звичайний - Nerium oleander L., Омела біла - Viscum album L., Осока парвська - Carex brevicollis DC., Папороть чоловіча (щитник чоловічий, дрiоптерис чоловiчий) - Dryopteris filix-mas (L.) Schott., Пасифлора інкарнатна (страстоцвіт м’ясо-червоний) - Passiflora incarnata L., Паслін дольчастий - S. laciniatum Ait., п. чорний - S. nigrum L., Пастернак посівний - Pastinaca sativa L., Перець стручковий однорічний - Capsicum annuum L., Перець чорний - Piper nigrum L., Печіночниця звичайна - Hepatica nobilis Garsanet., Пижмо звичайне - Tanacetum vulgare L. (Chrysantemum tanacetum vis.), Півники жовті - Iris flavum L., Півонія незвичайна (мар’їн корінь) - Paeonia onomala L., Підмаренник справжній - Galium verum L., піретрум (маруна) - Pyrethrum L., Плаун баранець (баранець звичайний) - Lycopodium selago (L.) Bernch. ex Schrank et Mert., (Huperzia selago (L.) Bemh. ex Schrank et Mart.), Полин цитварний (п. сантонінський) - Artemisia cina Berg., (A. santonica L.), Примула - Primula L., Псоралея - Psoralea L., Раувольфія зміїна - Rauwolfia serpentina Benth, Рута - Ruta L., Рутвиця мала - Thalictrum minus L., р. смердюча - Th. foetidum L., Секуринега напівчагарникова - Securinega suffruticosa (pall.) Rehd., Скополія - Scopolia L., Смоковниця звичайна (інжир, винна ягода) - Ficus саriса L., Софора (стифнолобіум) - Sophora L., Спориш звичайний (гірчак звичайний) - Polygonum aviculare L., Стефанія гола -Stephania glabra (Boxb) Miers., Cтрастоцвіт м’ясо-червоний (пасифлора інкарнатна) - Passiflora incarnata L., Строфант - Strophantus L., Сферофіза солонцева - Sphaerophysa salsula (Pall.) DC., Термопсис - Thermopsis lanceolata L., Тирлич - Gentiana L., Тютюн -Nicotiana L., Унгернія - Ungernia L., Фізостигма отруйна - Physostigma venenosum Bulf., Хінне дерево - Cinchona succirubra L., Хміль звичайний - Humulus lupulus L., Хрін звичайний - Armoracia rusticana Gaertn., Mey. et Scherb., Циміцифуга (клопогін) - Cimicifuga L., Чемериця Лобеля (ч. біла) - Veratrum lobelianum Bernh., Чемерник - Helleborus L., Чилібуха отруйна (блювотний горіх) - Strychnos nux vomiсa L., Чистотіл звичайний - Chelidonium majus L., Шавлія лікарська - Salvia officinalis L., Якірці сланкі - Tribulus terrestris L., Ясенець - Dictamnus [3]

.3 Історія деяких отруйних рослин

Плауни і хвощі (Lycopodiopsida і Equisetopsida)

Ці два самостійних відділу (типу) вищих рослин, що колись належали до одного укрупнених типу папоротеподібних, є найдавнішими сухопутними рослинами на Землі.

Сучасне число видів їх дуже невелика, хвощі взагалі представлені єдиним родом (Equisetum). Є досить примітивними представниками вищих, не мають достатньо складних розчленованих пагонів. Хвощі й плауни виробили різну тактику захисних пристосувань від поїдання. Тіло Хвощеподібні в значній мірі просякнуте солями кремнієвої кислоти (хвощі, старовинне полірувальні засоби для дерева і металів), тверді частинки якої викликають механічні пошкодження і подразнюють слизові травного тракту, приводячи до серйозних розладів. Не чіпають окремневшіе пагони хвощів комахи і равлики. Саме за рахунок слабкої доступності тіла хвощів до розкладання мікроорганізмами збереглися найрізноманітніші скам'янілі залишки древніх хвощеобразних.

Плауноподібні виробили досить досконалі пристосування хімічного захисту. В їх хімізмі важливе місце займають речовини, що відносяться до категорії псевдоалкалоідов. Тому вони практично не поїдаються травоїдними тваринами, комахами, равликами і т.п.

Рід Плаун - Lycopodium

Сімейство Плауновие - Lycopodiaceae

Наявність алкалоїдних речовин встановлено у всіх європейських видів плаунів. Отруйні надземні та підземні частини рослин (спори практично нешкідливі і вживаються під назвою «лікоподій» як дитячої присипки).

З плаунів виділені речовини алкалоїдний природи: аннонотінін - С16Н21О3, лікоподіі - C16H25NO, обскурін C18H28N2O (п. однорічний - L. annotinum L.), клаватін-C16H25NO2, клаватоксін - C17H27NO2, компланатін (п. булавовидний - L. clavatum L. і п . сплюснутий - L. complanatum L.; обидва види містять також лікоподіі і обскурін). Зміст отруйних алкалоїдів в «траві» плаунів досягає 0,37-0,40%.

Токсичні речовини плаунів роблять сильний вплив на ЦНС.

Плавун-Баранець (Баранець звичайний) - Lycopodium selago L.

[Huperzia selago (L.) Bernh. ex Schrank et Mart.]

Сімейство Плаунові - Lycopodiaceae

Вічнозелений трав'янистий багаторічник заввишки 10-20 см, зі слабко розвиненими країнами і дрібними, загостреними щільно сидять листям. Галуження дихотомічне; спорангії в пазухах верхівкових або серединних листків, кулясті, жовтуваті, на коротких ніжках; у «живонароджених» форм в пазухах листків виводкові бруньки. Спороношення: квітень-червень.

Поширення. Має циркумполярної ареал, виростаючи в СРСР по широті від Нової Землі до Кавказу; темнохвойная тайга і гірські хвойні ліси. Дуже рідкісний вид.Особливий підвид - L. selago subsp. arctica (Tolm.) Love зустрічається в рівнинних і гірських тундрах Півночі; на Далекому Сході виділяються підвиди - L. selago subsp.chinensis (Christ.) Love і L. selago subsp. serrata (Thunb.) Love.

Отруйні органи. Надземна частина («трава»).

Хімічний склад і механізм токсичної дії. Містить токсичні алкалоїди: селагін, клаватін, клаватоксін, лікоподін, нікотин. Мають нейротропним дією. Селагін (1-2%-ний розчин) звужує зіницю, в токсичних дозах викликає блювоту, знижує м'язовий тонус, пригнічує дихання. Лікоподін за токсичністю перевищує клаватін.

Плавун-Баранець Lycopodium selago

Основна дія нікотину направлено на Н-холінреактівниє системи ВНС та ЦНС, де він надає двофазний ефект: нетривалий збудження переходить в виражене гальмування; в малих дозах нікотин збуджує хеморецептори каротидного клубочків, рефлекторно стимулюючи подих і підвищуючи АТ. У токсичних дозах викликає судоми:

нікотин

Картина отруєння: Отруєння настає при поїданні трави (жування дітьми, інші випадкові отруєння) та передозуванні лікарських препаратів (високотоксичних).

Основні симптоми: нудота, блювота (або часті позиви на блювоту), головний біль, запаморочення, відчуття оніміння мови та тяжкості у всьому тілі. У важких випадках - миготлива аритмія серця, непритомність, колапс.

Перша допомога. Промивання шлунка, призначення активованого вугілля, при блювоті ковтання шматочків льоду.

Практичне значення. Лікарський (лікування хронічного алкоголізму і нікотинізм)

Рід Хвощ - Equisetum

Сімейство хвощевие - Equisetaceae

У СРСР виростає близько 15 видів хвощів, дуже схожих по морфології і хімічному складу. Найбільш поширені: хв. лісовий - Е. sylvaticum L., хв. луговий - Е. pratense L., хв. польовий - Е. arvense L., хв. топяной - Е. fluviatile L., хв. болотний - Е. palustre L., хв. зимуючий - Е. hyemale L.

Всі хвощі - багаторічні спорові трав'янисті рослини, в основному мезогігрофіти і гігрофіти. Добре розвинене повзуче підземне кореневище. Стебла високі, прямостоячі, членисті, ребристо-борознистих, тверді (окремневающіе), зелені або бурі, всередині порожнисті. Від добре виражених вузлів, прикритих піхвами з зрощених скорочених лускоподібний листя, відходять бічні гілочки, іноді вдруге розгалужені. Галуження мутовчатое (у деяких видів відсутній). Спороносні колоски частіше розташовуються на верхівці головного втечі або на особливих «генеративних» пагонах (хв. польовий).

Отруйні органи. Вся рослина.

Хімічний склад і механізм токсичної дії. Є вказівки про наявність токсичних алколоїдів (палюстрін - C17H29N3O2; хв. Болотний, хв. Топяной).

Токсична дія викликають також тіаміназоподібні сполуки, ферментативно ращепляются вітамін В1 (тіамін). Є також сапоніни (еквізетонін), флавоноїди.

Крім того, шкодочинність хвощів визначається високим вмістом в їх тканинах солей кремнієвої кислоти (механічні пошкодження слизових, посилення всмоктування токсичних речовин).

Картина отруєння. Є вказівки на токсичний вплив хвощів болотна і болотного і в меншій мірі хвощів польового і зимующего на коней, у яких вони викликають захворювання під назвою «шатуна» (після випасу на заболочених луках). Хвощі надають свою дію після деякого часу (через 40-87 днів). Перші ознаки отруєння: розширення зіниць, зміна поведінки (підвищена агресивність). Одночасно з'являються парези та паралічі м'язів задніх кінцівок. Хода стає невпевненою, хиткою, до настання повного знерухомлення. Виявляються ознаки гострого гастероентеріта, сеча темніє (білок). В деяких випадках - порушення серцевої діяльності.

У великої рогатої худоби при поїданні хвощів відзначаються розлади травлення, загальна млявість, швидке схуднення. При неприпинення годування сильно засміченим хвощами сіном можливий летальний результат. У вагітних тварин відбуваються аборти, у лактуючих - зниження надоїв і псування молока (стає водянистим, синюватим).

Практичне значення. Засорітелі сінокосів і пасовищ; польові бур'яни (хвощ польовий та ін); лікарський (хвощ польовий); абразивний шліфувальний матеріал; молоді пагони деяких хвощів (особливо з підроду Hippochate) хороший корм для диких і домашніх тварин; молоді спороносні пагони хвоща польового (« пестушки ») раніше вживалися в їжу в сирому вигляді.

Папороті (Pteridopsida)

Папоротевидні являють собою найбільш давню групу вищих рослин. Однак і в даний час папороті відіграють помітну роль у складанні рослинного покриву, будучи субдомінанта багатьох лісових асоціацій, внаслідок чого велика ймовірність зустрічі з ними (і їх токсичними властивостями) населення. З давніх пір в уявленні багатьох народів папороті зв'язуються з різними забобонами і легендами, що багато в чому обумовлено отруйними властивостями значної частини папоротніковідних.

У флорі СРСР зустрічається до десяти видів отруйних папоротей, що відносяться до трьом провідним пологах, поширених у різних природних зонах (крім аридних областей). Найбільш токсичні представники відомі в роді щитовник - Dryopteris.

Щитовник чоловічий (папороть чоловічий) - Dryopteris filix-mas (L.) Schott. (Рис. 85)

Сімейство Многоножковие - Polypodiaceae

Великий перистолисті папороть заввишки 40-100 см, з товстим одревесневающим кореневищем; листя двічі перисті з загостреними частками першого порядку і закругленими - другого; спорангії в округлих сорусах, що утворюють два чітких ряду уздовж середньої жилки з нижньої сторони листа. Спороношення: кінець червня-вересень.

Щитовник чоловічий Dryopteris filix-mas

Поширення. Лісові області європейської частини СРСР (крім північного сходу); острівні ділянки ареалу - Північний Кавказ і Закавказзя, Кольський півострів, гірські ліси Криму; в хвойних (на багатих грунтах), змішаних і широколистяних лісах; зарості.

Отруйні органи. Кореневище (в надземних частинах - мінімум діючих речовин).

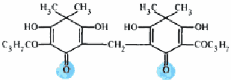
Хімічний склад і механізм токсичної дії. Кореневища містять похідні флороглюцину: філіксовую кислоту (філіцін), флаваспідіновую кислоту, аспідінол, ал'баспідін.

альбаспідін

флаваспідінова кислота R = H

флаваспідін R = OCH3

Екстракти з висушеного кореневища надають антигельмінтну дію, паралізуючи переважно стрічкових глистів.

Картина отруєння. Отруєння настає в результаті передозування препаратів чоловічої папороті і при самолікуванні. Активні речовини папороті є жиророзчинними. Одночасний прийом разом з ними харчових жирів або масляних лікарських препаратів (наприклад, касторової олії) може посилити їх всмоктування і викликати інтоксикацію. Основні симптоми: нудота, блювання, пронос, болі в животі, головні болі і запаморочення, розлад зору. Розвивається сонливість, артеріальний тиск знижений, слідом за втратою свідомості починаються клоніко-тонічні судоми, що змінюються наступним паралічем (захоплює дихальну мускулатуру). У вагітних може бути викидень. При значній інтоксикації можливі ускладнення у вигляді жовтяниці, атрофія зорового нерва.