Материал: ЛР3 физика

Внимание! Если размещение файла нарушает Ваши авторские права, то обязательно сообщите нам

1. Цель работы.

Цель работы: определение момента инерции маятника Максвелла.

2. Описание лабораторной установки.

Внешний вид лабораторной установки показан на рисунке 1. На вертикальной стойке крепятся два кронштейна. Верхний неподвижный кронштейн снабжен воротком 1 для крепления и регулировки бифилярного подвеса, электромагнитом 2 для фиксирования маятника в верхнем положении и фотодатчиком 3, включающим секундомер. На подвижном кронштейне закреплен фотодатчик 4, выключающий секундомер. Шкала секундомера 5 вынесена на лицевую панель прибора.

Кнопка "Сеть" включает питание установки, кнопка "Сброс" обнуляет показания секундомера. При нажатии на кнопку "Пуск" отключается электромагнит, и маятник приходит в движение.

Массу и момент инерции маятника можно менять при помощи сменных колец 6, надеваемых на диск 7. Длина нити должна быть такой, чтобы нижняя кромка маятника была на 1–2мм ниже оптической оси нижнего фотодатчика. Ось маятника должна быть горизонтальной. Длина нити (высота падения) определяется по шкале, нанесенной на вертикальной стойке.

Рисунок 1, Схема установки маятника Максвелла.

Параметры установки.

Таблица 2.1

Название прибора

Предел измерений

Систематическая погрешность

Цена деления

Секундомер (циф.)

99,999 с

0,001 с

-

Линейка

44 см

0,002 м

1 мм

3. Рабочие формулы.

  1. Общая масса

m = mс+mд+mк

mс – масса стержня; mд – масса диска; mк – масса кольца; m – масса маятника.

  1. Среднее время

tср =

  1. Момент инерции (экспериментальный)

I = m(Rс+Rн)2

tср – среднее время; m – масса маятника; Rс – радиус стержня; Rн – радиус нити;

g - ускорения свободного падения (  9,8 ); tпад – время падения маятника;

h0 – высота маятника; I – момент инерции маятника Максвелла.

3.1. Iс = 0,5*mc*Rc2

3.2. Iд = 0,5*mд*Rд2

3.3. Iк = 0,5*mк*(Rд2+Rк2)

3.5. I = Iс+Iд+Iк

Iс Iд Iк – моменты инерции стержня, диска и сменного кольца.

  1. Теоретическое выражение для момента инерции маятника

Iд = 0,5*mд*Rд2

⇒ I = 0,5(mДRД2+mK(Rд2+Rк2))

Iк = 0,5*mк*(Rд2+Rк2)

1

2

3

4

5

6

7

8

9

10

h=23cм

mк1=390г

t,c

1,532

1,540

1,540

1,543

1,538

1,677

1,545

1,539

1,652

1,541

tср1 = 1,565 c

mк2=254г

1,505

1,478

1,571

1,601

1,497

1,511

1,459

1,589

1,596

1,604

tср2 = 1,541 c

4. Результаты измерений и вычислений.

Результаты измерений времени и вычислений среднего значения. Таблица 4.1

Для задания №1

I1 = 0,0009кг*м2

I2 = 0,0007кг*м2

Для задания №2

I1 = 0,001кг*м2

I2 = 0,0007кг*м2

1)m=0,555кг,

2)m=0,419кг.

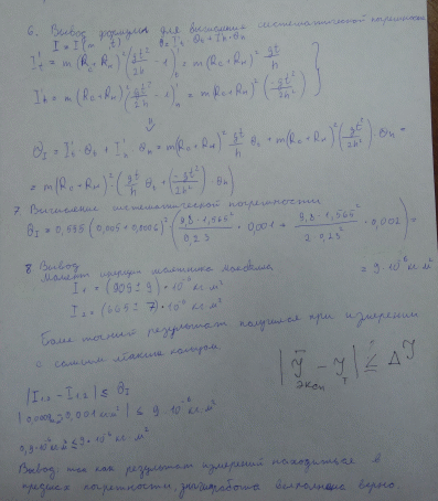
5. Примеры расчетов.

  1. tср = = = 1,565с.

m1 = mс+mд+mк1 = 0,033+0,132+0,39 = 0,555кг.

m2 = mс+mд+mк2 = 0,033+0,132+0,254 = 0,419кг.

  1. I1.0 = m1(Rc+Rн)2 = 0,555(0,005+0,0006)2 = 0,0009кг*м2

I2.0 = m2(Rc+Rн)2 = 0,419(0,005+0,0006)2 = 0,0007кг*м2

Iс = 0,5*mc*Rc2 = 0,5*0,033*0,0052 = 0,0000004кг*м2

Iд = 0,5*mд*Rд2 = 0,5*0,132*0,04252 = 0,0001кг*м2

Iк1 = 0,5*mк1*(Rд2+Rк2) = 0,5*0,39*(0,04252+0,05252) = 0,0009кг*м2

Iк2 = 0,5*mк2*(Rд2+Rк2) = 0,5*0,254*(0,04252+0,05252) = 0,0006кг*м2

I1.1 = Iс+Iд+Iк1 = 0,0000004+0,0001+0,0009 = 0,001кг*м2

I2.1 = Iс+Iд+Iк2 = 0,0000004+0,0001+0,0006 = 0,0007кг*м2

  1. I1.2 = 0,5(mДRД2+mK1(Rд2+Rк2)) = 0,5(0,132*0,04252+0,39*(0,04252+0,05252)) =

= 0,001кг*м2

I2.2 = 0,5(mДRД2+mK2(Rд2+Rк2)) = 0,5(0,132*0,04252+0,254*(0,04252+0,05252)) =

= 0,0007кг*м2