Материал: ЛР 2

Внимание! Если размещение файла нарушает Ваши авторские права, то обязательно сообщите нам

МИНИСТЕРСТВО ЗДРАВООХРАНЕНИЯ РОССИЙСКОЙ ФЕДЕРАЦИИ

Федеральное государственное бюджетное образовательное учреждение высшего образования «Санкт-Петербургский государственный химико-фармацевтический университет» Министерства здравоохранения Российской Федерации (ФГБОУ ВО СПХФУ Минздрава России)

Кафедра Процессов и аппаратов химической технологии

Отчет по практической работе №2

на тему

АНАЛИЗ ВРЕМЕННЫХ ХАРАКТЕРИСТИК

ДИНАМИЧЕСКИХ ЗВЕНЬЕВ

по учебной дисциплине

Автоматизация процессов производства ГЛС

Семестр 7

Факультет химической технологии

Форма обучения - очная

по направлению подготовки (специальности): 18.03.01 Производство готовых лекарственных средств

уровень высшего образования – бакалавриат

Выполнил: студентка IV курса 570 группы Проявина Л.В. / /

Проверил: Ганин П.Г. / ______________/

Проверил: Сорокин В.В. / ______________/

Санкт-Петербург,

2020 год

Цель работы:

Изучение временных характеристик звеньев. Освоение методов работы в системе Mathcad.

Индивидуальное задание: Вариант №3.

Таблица 2.1 – Параметры передаточных функций типовых звеньев

Вариант

Параметры

k, kp

T

T1

T2

Tиз

ζ

3

2,2

4,5

1,6

7,0

1,8

0,5

k - статический коэффициент передачи;

T, T1, T2, Tиз – постоянные времени, с;

ζ – коэффициент демпфирования, который находится в пределах 0 ≤ ζ ≤ 1.

Ход работы:

Ввод исходных данных:

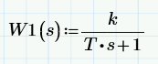
Задание 1. Введем передаточную функцию апериодического звена первого порядка:

Определим корень характеристического уравнения, используя функцию нахождения корней полинома polyroots(x):

Корень отрицательный, следовательно, звено имеет апериодический сходящийся переходной процесс.

Найдём выход звена при импульсном входном сигнале:

Найдем реакцию звена на единичное ступенчатое воздействие. Так как прямое преобразование Лапласа от ступенчатой единичной функции Хевисайда L(1[t])=1/s, то переходная характеристика во временной области имеет вид:

Построим графики весовой и переходной характеристик:

Установившееся значение переходной характеристики равно 2,2, что соответствует коэффициенту k = 2,2.

Начальная ордината весовой функции равна w(0) = k/T.

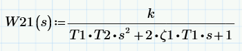
Задание 2. Апериодическое звено второго порядка

Задание 2.1. Расчёт и построение графика весовой и переходной функции колебательного звена второго порядка.

Дано: ζ = 0,5 (чем меньше ζ, тем выше амплитуда колебаний и больше время их затухания). Передаточная функция имеет вид:

Определяем корень характеристического уравнения:

Корни характеристического уравнения комплексные с отрицательной вещественной частью, следовательно, колебательное звено с затухающими переходными процессами.

Весовая функция исходного элемента:

Переходная характеристика элемента:

Графики весовой и переходной характеристик имеют затухающий колебательный характер:

Для определения параметров, входящих в формулу перерегулирования, и времени переходного процесса введем маркеры на график:

hуст – установившееся значение выхода;

hmax – максимальное значение функции h(t);

tr – время регулирования (время переходного процесса) – это время, после которого сигнал выхода отличается от установившегося значения не более, чем на заданную малую величину. Эту величину принимают равной 5%.

Перерегулирование определяется как:

Задание 2.2. Подбор и замена коэффициента Т2 звена второго порядка, для исключения колебательности и получения апериодического переходного процесса. Расчёт и построение графиков весовой и переходной функций апериодического звена второго порядка с заданными значениями.

При ζ1 = 1 – апериодическое звено второго порядка с передаточной функцией:

Определяем корень характеристического уравнения:

Весовая функция полученного элемента:

Переходная характеристика элемента:

Построим график весовой и переходной характеристик:

Задание 2.3. Расчёт и построение графика весовой и переходной функции консервативного звена.

При ζ0 = 0 – консервативное звено с передаточной функцией:

Определяем корень характеристического уравнения:

Весовая функция полученного элемента:

Переходная характеристика элемента:

Графики весовой и переходной функции:

Графики весовой и переходной функций имеют колебательный характер, начальная ордината весовой функции равна w(0) = sinωT и переходной функции h(0) = sinωT.

Определим частоту колебания:

Графики весовой и переходной функции имеют апериодические закономерности.

Задание 3. Расчёт и построение графиков весовой и переходной функций интегрирующего идеального звена.

Определяем корень характеристического уравнения:

Весовая функция полученного элемента:

Переходная характеристика элемента:

Построим график весовой и переходной функций:

Задание 4. Расчёт и построение графиков весовой и переходной функций инерционно-интегрирующего звена.

Передаточная функция и корни характеристического уравнения:

Весовая функция полученного элемента:

Переходная характеристика элемента:

Построим график весовой и переходной функций:

График переходной функции имеет вид параболы, а график весовой функции не зависит от времени.

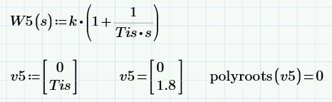
Задание 5. Расчёт и построение графиков весовой и переходной функций пропорционально-интегрального (изодромного) вида звена.

Передаточная функция и корни характеристического уравнения:

Весовая функция полученного элемента:

Переходная характеристика элемента:

Построим график переходной функции:

Получили линейный график вида y = kx + b.

Задание 6. Расчёт и построение графиков весовой и переходной функций инерционно-дифференцирующего звена.

Передаточная функция и корни характеристического уравнения:

Весовая функция полученного элемента:

Переходная характеристика элемента:

Построим график переходной функции:

График имеет вид гиперболы.

Выводы: в ходе выполнения лабораторной работы изучены типовые звенья: апериодическое первого порядка, апериодическое второго порядка (колебательное, консервативное), интегрирующее идеальное, инерционно-интегрирующее, пропорционально-интегральное (изодромное), инерционно-дифференцирующее.

Изучены временные характеристики звеньев, весовая характеристика, переходная характеристика в операторной области, переходная характеристика во временной области.

Чтобы получить данные для построения частотных характеристик, на вход звена надо подать любой входной сигнал, т.н. типовые воздействия – единичный ступенчатый сигнал, единичная импульсная функция, линейный возрастающий сигнал, синусоидальные воздействия и др.

Ступенчатое единичное воздействие (единичный скачок, единичный ступенчатый сигнал) – мгновенное изменение входного сигнала с 0 до 1 в момент t = 0.

Переходная характеристика звена - это реакция системы на единичный ступенчатый сигнал (функцию Хэвисайда) 1[t]. Она характеризует важнейшие показатели качества системы – перерегулирование (overshoot) и время переходного процесса (settling time).